Kapitel
Winkel zwischen zwei Geraden
Der Winkel, der zwischen zwei Geraden entsteht, entspricht dem spitzen Winkel, der sich aus den Richtungsvektoren der Geraden ergibt.
Zwei Geraden sind zueinander senkrecht, wenn die Richtungsvektoren orthogonal sind, das heisst, wenn 
Aufgaben zum Winkel zwischen zwei Geraden
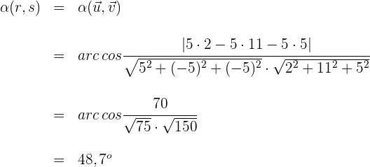
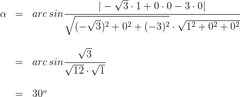
Bestimme den Winkel, den die Geraden bilden:

1 Wir erhalten den Richtungsvektor
der Geraden 

2 Wir erhalten den Richtungsvektor
der Geraden 

3 Wir setzen in die Formel zur Bestimmung des Winkels zwischen zwei Geraden ein und lösen

Der Winkel, den die zwei Geraden bilden ist also 
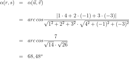
Bestimme den Winkel, den die Geraden bilden:

1 Wir erhalten den Richtungsvektor
der Geraden
. Da
den Bereich darstellt, indem sich zwei zueinander senkrechte Ebenen schneiden, wenden wir die Formel zur Bestimmung des Richtungsvektors an. Hierbei kommen die Koeffizienten der Ebenen zur Anwendung


Der Richtungsvektor ist

2 Wir erhalten den Richtungsvektor
der Geraden 


Der Richtungsvektor ist

3Wir setzen in die Formel zur Bestimmung des Winkels zwischen zwei Geraden ein und lösen

Der Winkel, der durch die zwei Geraden gebildet wird, ist also 
Bestimme den Winkel, den die Geraden bilden:

1 Wir erhalten den Richtungsvektor
der Geraden
.

2 Wir erhalten den Richtungsvektor
der Geraden
. Da
die Überschneidung zweier zueinander senkrechten Ebenen darstellt, wenden wir die Formel zur Bestimmung des Richtungsvektor an. Hierbei kommen die Koeffizienten der zueinander senkrechten Ebenen zur Anwendung.


Der Richtungsvektor ist

3 Wir setzen in die Formel zur Bestimmung des Winkels zwischen zwei Geraden ein und lösen

Der von den zwei Geraden gebildete Winkel ist also 
Winkel zwischen zwei Ebenen
Der von zwei Ebenen gebildete Winkel ist gleich dem spitzen Winkel, der durch die Normalenvektoren
und
der besagten Ebenen entstehen.
Zwei Ebenen sind senkrecht zueinander
, wenn ihre Normalenvektoren orthogonal sind. Das heisst, wenn
Aufgaben zum Winkel zwischen zwei Ebenen
Winkel zwischen Gerade und Ebene
Der Winkel, den eine Gerade
und eine Ebene
bilden, ist der Winkel, der durch
mit seiner orthogonalen Abbildung auf
entsteht.

Der Winkel zwischen einer Geraden und einer Ebene ist der Komplementärwinkel des spitzen Winkels zwischen dem Richtungsvektor
der Geraden und dem Normalenvektor
der Ebene.
Wenn die Gerade
und die Ebene
senkrecht sind, haben der Richtungsvektor der Geraden und der Normalenvektor der Ebene dieselbe Richtung. Ihre Komponenten sind also proportional
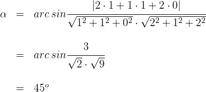
Aufgabe zum Winkel zwischen einer Geraden und einer Ebene
Bestimme den Winkel, den Gerade und Ebene bilden:

1 Wir erhalten den Richtungsvektor
der Geraden 

2 Wir erhalten den Normalenvektor
der Ebene
. Dieser ist durch die Koeffizienten der Gleichung der Ebene gegeben

3 Wir setzen in die Formel zur Bestimmung des Winkels zwischen einer Geraden und einer Ebene ein und lösen

Der Winkel zwischen Gerade und Ebene ist also 
Bestimme den Winkel, den Gerade und Ebene bilden:

1 Wir erhalten den Richtungsvektor
der Geraden
. Da
den Bereich darstellt, an dem sich zwei zueinander senkrechte Ebenen schneiden, wenden wir die Formel zur Bestimmung des Richtungsvektors an. Hierbei kommen die Koeffizienten der Ebenen zur Anwendung.


Der Richtungsvektor ist

2 Wir erhalten den Normalenvektor
der Ebene
. Dieser ist durch die Koeffizienten der Gleichung der Ebene gegeben

3 Wir setzen in die Formel zur Bestimmung des Winkels zwischen einer Geraden und einer Ebene ein und lösen

Der Winkel zwischen Gerade und Ebene ist also 
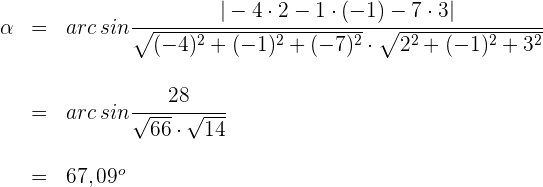
Bestimme den Winkel, den die Gerade und die Ebene bilden:

1 Wir erhalten den Richtungsvektor
der Geraden
. Da
den Bereich darstellt, in dem sich zwei zueinander senkrechte Ebenen schneiden, wenden wir die Formel zur Bestimmung des Richtungsvektors an. Hierbei kommen die Koeffizienten der Ebenen zur Anwendung.


Der Richtungsvektor ist

2 Wir erhalten den Normalenvektor
einer Ebene
. Dieser ist durch die Koeffizienten der Gleichung der Ebene gegeben.

3 Wir setzen in die Formel zur Bestimmung des Winkels zwischen einer Geraden und einer Ebene ein und lösen

Der gesuchte Winkel zwischen Gerade und Ebene ist also 
Mit KI zusammenfassen:








