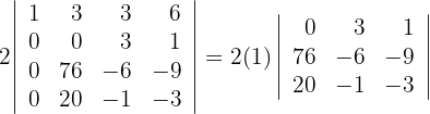
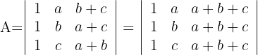
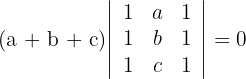
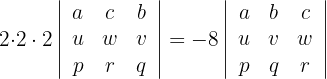
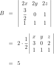
Berechne den Wert der Determinante

1 Die erste Zeile ist ein Vielfaches von 2, das heißt

2 Da sich der Wert der Determinante bei einer Linearkombination nicht verändert, ersetze die Zeilen
durch
und du erhältst

3 Zur Berechnung der ersten Spalte wenden wir die obere Dreiecksformel an und erhalten

4

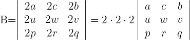
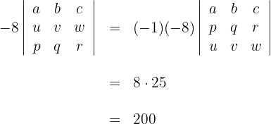
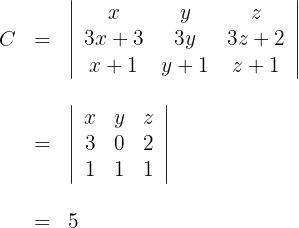
Berechne mithilfe der Rechenregeln für Determinanten:



1 Determinante A
1 Da sich der Wert der Determinante bei einer Linearkombination nicht verändert, ersetze die Zeilen
durch
und du erhältst

2 Da zwei Zeilen genau gleich sind, ist nach der Rechenregel für Determinanten die Lösung gleich Null

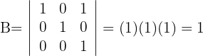
2 Determinante B

1 Hier handelt es scih um eine Matrix mit reduzierter Zeilenstufenform. Anhand der Rechenregel für Determinanten erhält man das Ergebnis, indem man die Elemente der Hauptdiagonalen miteinander multipliziert

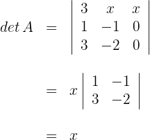
3 Determinante C

1 Da sich der Wert der Determinante bei einer Linearkombination nicht verändert, ersetze die Zeilen
durch
und du erhältst

2 Für die erste Spalte mit zwei Nullen wenden wir die Regel für Matrizen mit reduzierter Struktur an und erhalten

3 Berechne die letzte Determinante und du erhältst

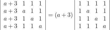
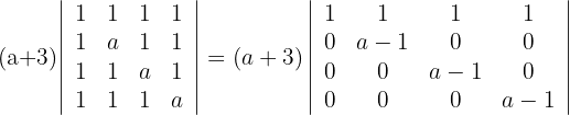
Wende die Rechenregeln für Determinanten an und berechne:



1 Determinante A
1 Da sich der Wert der Determinante bei einer Linearkombination nicht verändert, ersetze die Zeilen
durch
respectivamente y obtenemos

2 Ersetze noch einmal die Zeilen
durch
und du erhältst entsprechend

3 Da zwei Zeilen genau gleich sind, ist nach der Rechenregel für Determinanten die Lösung gleich Null, das heißt 
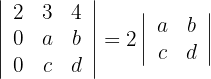
2 Determinante B
1 Da sich der Wert der Determinante bei einer Linearkombination nicht verändert, ersetze die Zeilen columnas
durch
und du erhältst

2 Wende für die Berechnung der ersten Zeile mit drei Nullen die Regel für reduzierte Matrizen an

3 Die erste Zeile ist ein Vielfaches von 2, das heißt

4 Da sich der Wert der Determinante bei einer Linearkombination nicht verändert, ersetze die Spalten
durch
und du erhältst

5 Wende für die Berechnung der ersten Zeile mit zwei Nullen die Regel für reduzierte Matrizen an

6 Berechne die Determinante der
-Matrix

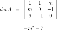
3 Determinante C
1 Da sich der Wert der Determinante bei einer Linearkombination nicht verändert, ersetze die Zeilen
durch
und du erhältst

2 Wende für die Berechnung der ersten Spalte mit drei Nullen die Regel für reduzierte Matrizen an

3 Die zweite Zeile ist ein Vielfaches von 4 und die dritte ein Vielfaches von -3, das heißt

4 Berechne die letzte Determinante

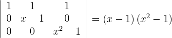
Berechne den Wert der folgenden Dreiecksdeterminanten:


1 Determinante A
1 Da sich der Wert der Determinante bei einer Linearkombination nicht verändert, ersetze die Spalten
durch
und du erhältst

2 Die erste Spalte ist ein Vielfaches von
, das heißt

3 Da sich der Wert der Determinante bei einer Linearkombination nicht verändert, ersetze die Zeilen
durch
und du erhältst

4 Die Determinante einer Dreiecksmatrix ist gleich dem Produkt der Elemente ihrer Diagonalen

2 Determinante B
1 Da sich der Wert der Determinante bei einer Linearkombination nicht verändert, ersetze die Zeilen
durch
und du erhältst

2 Die Determinante einer Dreiecksmatrix ist gleich dem Produkt der Elemente ihrer Diagonalen

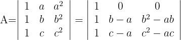
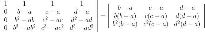
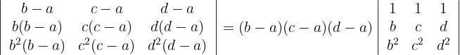
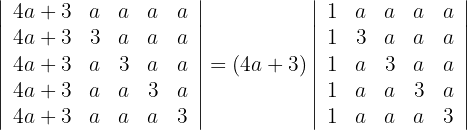
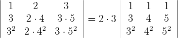
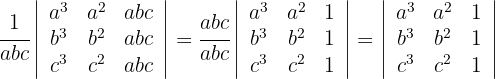
Berechne die Vandermondesche Determinante:


1 Determinante A
1 Da sich der Wert der Determinante bei einer Linearkombination nicht verändert, ersetze die Spalten
durch
und du erhältst

2 Wende für die Berechnung der ersten Zeile mit drei Nullen die Regel für reduzierte Matrizen an

3 Die Elemente der ersten Zeile haben einen gemeinsamen Faktor. Ebenso die der zweiten Zeile. Ziehe diese gemeinsamen Faktoren aus der Determinante und löse die Determinante:

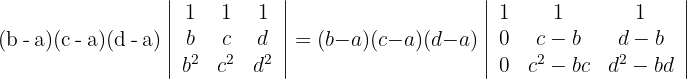
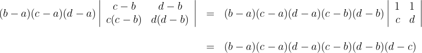
2 Determinante B
1 Da sich der Wert der Determinante bei einer Linearkombination nicht verändert, ersetze die Zeilen
durch
und du erhältst

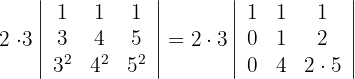
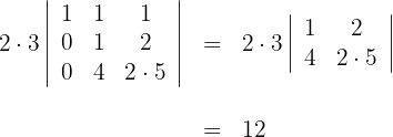
2 Wende für die Berechnung der ersten Spalte mit drei Nullen die Regel für reduzierte Matrizen an

3 Ziehe den gemeinsamen Faktor aus jeder einzelnen der Spalten und löse die Determinante

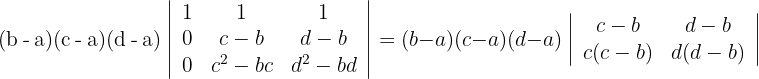
4 Ersetze
durch
und du erhältst

5 Wende für die Berechnung der ersten Spalte mit drei Nullen die Regel für reduzierte Matrizen an

6 Ziehe den gemeinsamen Faktor aus der ersten und zweiten Spaltn und löse die Determinante

Berechne den Wert der folgenden Determinanten:


1 Determinante A
1 Da sich der Wert der Determinante bei einer Linearkombination nicht verändert, ersetze die Spalten
durch
und du erhältst

2 Die erste Spalte ist ein Vielfaches von
, das heißt

3 Da sich der Wert der Determinante bei einer Linearkombination nicht verändert, ersetze die Zeilen
durch
und du erhältst

4 Die determinante einer Dreiecksmatrix ist gleich dem Produkt der Elemente ihrer Diagonalen

2 Determinante B
1 Da sich der Wert der Determinante bei einer Linearkombination nicht verändert, ersetze die Zeilen
durch
und du erhältst

2 Wende für die Berechnung der ersten Spalte mit drei Nullen die Regel für reduzierte Matrizen an

3 Die zweite Spalte ist ein Vielfaches von
und die dritte Spalte ein Vielfaches von
, das heißt

4 Da sich der Wert der Determinante bei einer Linearkombination nicht verändert, ersetze die Zeilen
durch
und du erhältst

5 Wende für die Berechnung der ersten Spalte mit zwei Nullen die Regel für reduzierte Matrizen an

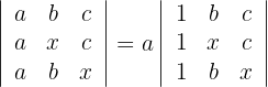
Beweise ohne aufzulösen, dass der Wert der folgenden Determinanten gleich Null ist:


1 Determinante A
1 Da sich der Wert der Determinante bei einer Linearkombination nicht verändert, ersetze die Spalten
durch
und du erhältst

2 Die dritte Spalte enthält einen gemeinsamen Faktor, das heißt

3 Die erste und dritte Spalte sind gleich, das heißt, die Determinante ist gleich Null

2 Determinante B
1 Die dritte Spalte ist gleich die Summe der ersten und zweiten, das heißt, die Determinante ist gleich Null

Gegeben sei die Determinante

Berechne den Wert von

1 Da die Zeilen 2 als gemeinsamen Faktor haben, ist

2 Tausche die Spalten 2 und 3 miteinander aus

3 Tausche die Spalten 2 und 3 miteinander aus

Gegeben sei
. Berechne die folgenden Determinanten:



Determinante B
1 Zeile eins und zwei besitzen einen gemeinsamen Faktor

Determinante C
2 Ersetze die Zeilen
durch 

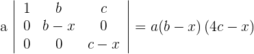
Beweise ohne aufzulösen, dass die folgenden Determinanten Vielfache von 5 bzw. 4 sind


1 Determinante A
1 Ersetze die Spalte
durch 

2 Die Spalte
hat 5 als gemeinsamen Faktor

Die Determinante ist ein Vielfaches von 5
2 Determinante B
1 Ersetze die erste Spalte
durch 

2 Die Spalte
hat 4 als gemeinsamen Faktor

Die Determinante ist ein Vielfaches von 4.
Beweise ohne aufzulösen, dass die folgende Determinante ein Vielfaches von 15 ist:

1 Ersetze die Spalte
durch 

2 Die Spalte
hat 15 als gemeinsamen Faktor

Die Determinante ist ein Vielfaches von 15.
Beweise, das die folgende Determinante durch 21 teilbar ist:

1 Ersetze die Spalte
durch 

2 Die Spalte
hat 21 als gemeinsamen Faktor

Die Determinante ist ein Vielfaches von 21, das heißt, sie ist durch 21 teilbar.
Zu beweisen sei die Gleichheit der folgenden Determinanten, ohne diese aufzulösen:


1 Erste Gleichheit
1 Die Spalten der ersten Determinante enthalten jeweils zwei Summanden, das heißt, man kann die Determinante als Addition aus zwei Determinanten mit jeweils einem der Summanden aus der ersten Spalte schreiben. Alle restlichen Elemente bleiben gleich. Führe dies für die erste Spalte durch:

2 Führe diesen Vorgang nun für alle anderen Spalten durch


3 ist diese gleich Null, das heißt man erhält


4 Die Gleichheit der beiden ursprünglichen Determinanten ist also bewiesen.

2 Zweite Gleichheit
1 Multipliziere die erste Zeile mit
, die zweite mit
und die dritte mit
. Um die Gleichheit beizubehalten, multipliziere mit 

2 In der dritten Spalte liegt ein gemeinsamer Faktor vor

Löse die folgenden Gleichungen ohne die Determinante aufzulösen


1 Erste Gleichung
1 Ersetze die Zeilen
durch 

2 Hier liegt eine Dreiecksmatrix vor, das heißt, die Determinante ist gleich dem Produkt ihrer Diagonalen

3 Da die Determinante gleich Null ist, erhält man 
2 Zweite Gleichung
1 Die erste Spalte enthält einen gemeinsamen Faktor

2 Ersetze die Zeilen
durch 

3Hier liegt eine Dreiecksmatrix vor, das heißt, die Determinante ist gleich dem Produkt ihrer Diagonalen

Da die Determinante gleich Null ist, ist
und 
Finde die inverse Matrix von:

1 Berechne die Determinante

2 Berechne die adjunkte Matrix

3 Berechne die Transponierte

4 Die Inverse setzt sich aus
zusammen

Für welche Werte von
gibt es zur Matrix

keine inverse Matrix?
1 Berechne die Determinante, indem du sie auf Basis der dritten Spalte vereinfachst

2 Eine Matrix besitzt keine Inverse, wenn ihre Determinante gleich Null ist. Das heißt, die Matrix
hat keine Inverse für 
Für welche Werte von
besitzt die Matrix

keine inverse Matrix?
1 Berechne die Determinante

2 Eine Matrix besitzt keine Inverse, wenn ihre Determinante gleich Null ist. Die Determinante
ist für jeden reellen Wert von
negativ. Das heißt, die Matrix
besitzt immer eine Inverse, unabhängig vom reellen Wert von 
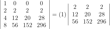
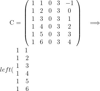
Berechne den Rang der folgenden Matrizen:



1 Rang von 
1 Berechne die Determinanten der Untermatrizen ersten Ranges

2 Berechne die Determinanten der Untermatrizen zweiten Ranges

3Berechne die Determinanten der Untermatrizen dritten Ranges




4 Der Rang der Matrix ist folglich 2.
2 Rang von 
1 Berechne die Determinanten der Untermatrizen ersten Ranges

2 Berechne die Determinanten der Untermatrizen zweiten Ranges

3 Berechne die Determinanten der Untermatrizen dritten Ranges

4 Berechne die Determinanten der Untermatrizen vierten Ranges

5 Der Rang der Matrix ist folglich 4.
3 Rang von 
1 Eliminiere die dritte Spalte, da sie gleich Null ist, die vierte, da sie proportional zur ersten ist und die fünfte, da sie eine Linearkombination der ersten und zweiten ist 

2 Berechne die Determinanten der Untermatrizen ersten Ranges

3 Berechne die Determinanten der Untermatrizen zweiten Ranges

4 Der Rang der Matrix ist folglich 2.
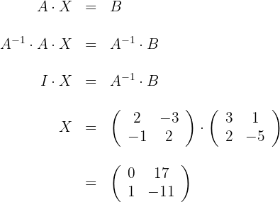
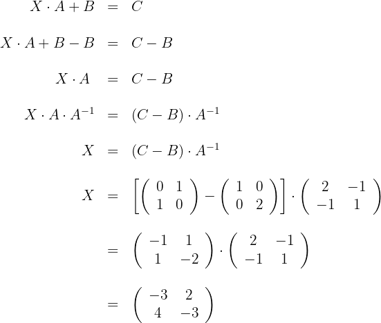
Löse die folgenden Matrixgleichungen







1 Erste Gleichung
1 Die Determinante von
ist ungleich Null, das heißt, sie besitzt eine Inverse

2 Löse die Gleichung

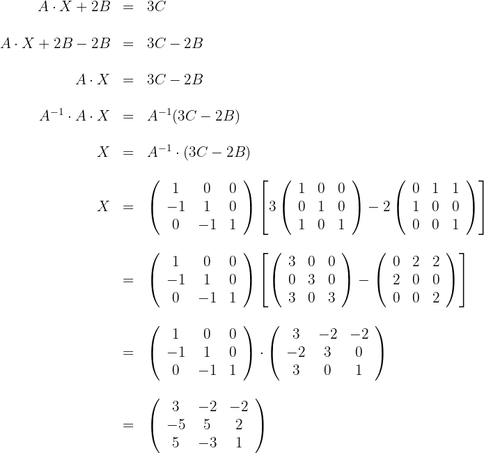
2 Zweite Gleichung
1 Die Determinante von
ist ungleich Null, das heißt, sie besitzt eine Inverse

2 Löse die Gleichung

Löse die folgende Matrixgleichung




1 Die Determinante von
ist ungleich Null, das heißt, sie besitzt eine Inverse

2 Löse die Gleichung

Mit KI zusammenfassen:
