Ein regelmäßiges Dodekaeder ist ein regelmäßiges Polyeder, das aus
gleichen regelmäßigen Fünfecken besteht iguales. Ein regelmäßiges Dodekaeder enthält die folgenden Elemente:
- Anzahl der Seiten:

- Anzahl der Eckpunkte:

- Anzahl der Kanten:


Fläche und Volumen eines regelmäßigen Dodekaeders
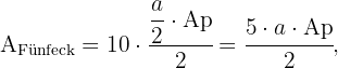
Da ein Dodekaeder aus que un dodecaedro consta de
regelmäßigen Fünfecken besteht, ist sein Flächeninhalt
Mal die Fläche eines dieser Fünfecke. Wir denken daran, dass die Fläche eines regelmäßigen Fünfecks durch die folgende Formel gegeben ist
welche ganz einfach abgeleitet werden kann, indem wir das Fünfeck in
gleiche rechtwinklige Dreiecke teilen und den Flächeninhalt jedes dieser berechnen, wobei
die Länge einer Kante des Fünfecks ist und
das Apothema.

Wenn also
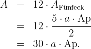
die Fläche eines regelmäßigen Dodekaeders angibt, gilt
Somit lautet die Formel zur Berechnung der Fläche eines regelmäßigen Dodekaeders
wobei
die Länge einer der Seiten des Fünfecks und
das Apothema ist.
Andererseits, wenn
die Länge einer der Seiten eines der Fünfecke ist, aus denen das Dodekaeder besteht, lautet die Formel zur Berechnung des Volumens eines Dodekaeders 
Mit KI zusammenfassen:
