Fundamentalsatz der Analysis
Der Fundamentalsatz der Analysis (oder auch Hauptsatz der Differential- und Integralrechnung (HDI)) besagt, dass die Ableitung des Integrals  der stetigen Funktion
 der stetigen Funktion  die Funktion
 die Funktion  ist.
 ist.
 
    Der Fundamentalsatz der Analysis besagt, dass die Ableitung und die Integration inverse Operationen sind.
Durch die Integration einer stetigen Funktion und ihre anschließende Ableitung wird die ursprüngliche Funktion wiederhergestellt.
Beispiel:
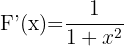
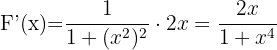
Berechne die Ableitung von
 
    1 Wir stellen fest, dass  , weshalb ihr Differential
, weshalb ihr Differential  ist
 ist
2 Wir wenden den Fundamentalsatz der Analysis an und erhalten
 
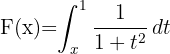
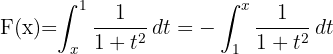
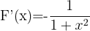
    Beispiel:
Berechne die Ableitung von
 
    1 Zunächst ändern wir die Integrationsgrenzen, was dazu führt, dass sich das Vorzeichen des Integrals ändert.
 
    2 Wir stellen fest, dass  , weshalb ihr Differential
, weshalb ihr Differential  ist
 ist
3 Wir wenden den Fundamentalsatz der Analysis an und erhalten
 
    Beispiel:
Berechne die Ableitung von
 
    1 Wir stellen fest, dass  , weshalb ihr Differential
, weshalb ihr Differential  ist
 ist
2 Wir wenden den Fundamentalsatz der Analysis an und erhalten
 
    Mittelwertsatz der Differentialrechnung für Integrale
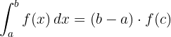
Wenn eine Funktion auf einem geschlossenen Intervall  stetig ist, dann gibt es einen Punkt
 stetig ist, dann gibt es einen Punkt  im Inneren des Intervalls, so dass:
 im Inneren des Intervalls, so dass:
 
    
Beispiel:
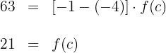
Berechne den Wert von  des Mittelwertsatzes für die Funktion
 des Mittelwertsatzes für die Funktion  auf dem Intervall
 auf dem Intervall  .
.
1 Wir berechnen das Ergebnins des bestimmten Integrals
 
    2 Da die Funktion auf dem Intervall  stetig ist, kann der Mittelwertsatz angewendet werden.
 stetig ist, kann der Mittelwertsatz angewendet werden.
 
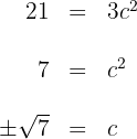
    3 Wir setzen den Wert von  in die vorherige Gleichung ein und bestimmen
 in die vorherige Gleichung ein und bestimmen 

Die positive Lösung ist nicht gültig, da sie nicht Teil des Intervalls ist.








 Loading...
Loading...