Kapitel
Übungsaufgaben
Bestimme die Fläche, die durch die Gerade
, die
-Achse sowie die Geraden
und
definiert ist.
1 Wir stellen die Geraden sowie die angegebenen Achsen grafisch dar und zeichnen die gesuchte Fläche ein

2 Die Extremwerte der gesuchten Fläche sind durch die Geraden
und
gegeben. Wir stellen die Gerade also in Funktion der Variable
dar

3 Die gesuchte Fläche ist gegeben durch

4 Wir setzen
in die Funktion von
ein und lösen das bestimmte Integral

Berechne die durch den Graphen
und die
-Achse begrenzte Fläche.
1 Wir bestimmen die Punkte, an denen der Graph die
-Achse schneidet, da diese die Integrationsgrenzen sind; hierfür setzen wir den Graphen gleich null und bestimmen die Werte für 

somit sind
die Punkte, an denen der Graph die
-Achse schneidet. Grafisch dargestellt:

2 Die gesuchte Fläche ist gegeben durch

3 Wir setzen
in die Funktion von
ein und lösen das bestimmte Integral

Da die
-Achse die Symmetrieachse der Parabel ist, ist die Fläche gleich dem Doppelten der Fläche zwischen
und 

Berechne die Fläche des Dreicks mit den Eckpunkten
.
1 Wir stellen die gegebenen Punkte grafisch dar und zeichnen die gesuchte Fläche ein

2 Wir berechnen die Steigungen der Geraden
und
und ermitteln die entsprechenden Gleichungen der Geraden

3 Die gesuchte Fläche wird in zwei Teilen angegeben, einer für jede Gerade

4 Wir setzen die Geraden in Funktion von
ein und lösen das bestimmte Integral

Berechne die durch die Graphen
und
begrenzte Fläche.
1 Wir stellen die Graphen grafisch dar und zeichnen die gesuchte Fläche ein

2 Wir berechnen die Integrationsgrenzen. Hierfür suchen wir die Punkte, an denen sich die Graphen schneiden

somit sind
und
die Integrationsgrenzen.
33 beiden Graphen.

4 Wir lösen das bestimmte Integral

Berechne die Fläche, die durch den Graphen
, die
-Achse und die Geraden
,
begrenzt ist.
1 Wir stellen die gegebenen Graphen grafisch dar und zeichnen die gesuchte Fläche ein

2 Die gesuchte Fläche ist gegeben durch

3 Wir setzen
in Funktion von
ein und lösen das bestimmte Integral

Berechne die Fläche, die durch den Graphen
und die Gerade
gegeben ist.
1 Wir stellen den Graphen und die gegebene Gerade grafisch dar. So können wir die gesuchte Fläche bestimmen.

2 Wir berechnen die Integrationsgrenzen. Hierfür suchen wir die Punkte, an denen sich die Graphen schneiden

somit sind
die Integrationsgrenzen.
3 Die gesuchte Fläche ergibt sich aus dem Integral der Differenz der beiden Graphen

4 Wir lösen das bestimmte Integral und stellen fest, dass die
-Achse die Symmetrieachse der Fläche ist

Berechne die Fläche, die durch die Parabel
und die Gerade, die durch die Punkte
und
verläuft, begrenzt ist.
1 Wir stellen den gegebenen Graphen sowie die Gerade dar und zeichnen die gesuchte Fläche ein

2 Wir berechnen die Steigung der Geraden und ihre entsprechende Gleichung

3 Wir berechnen die Integrationsgrenzen. Hierfür ermitteln wir die Punkte, an denen sich die Graphen schneiden

somit sind
und
die Integrationsgrenzen.
4 Die gesuchte Fläche ist durch das Integral der Differenz der beiden Graphen gegeben

5 Wir lösen das bestimmte Integral

Bestimme die Fläche, die durch die Geraden
und die x-Achse begrenzt ist.
1 Wir stellen die gegebenen Geraden graphisch dar und zeichnen die gesuchte Fläche ein

2 Die gesuchte Fläche ist durch den Bereich unterhalb der
-Achse und den Bereich oberhalb dieser Achse gegeben. Der Bereich unterhalb der Achse hat eine negative Fläche, so dass wir den Absolutwert betrachten

3 Wir lösen das bestimmte Integral

Berechne die Fläche, die durch den Graphen
und die x-Achse begrenzt ist.
1 Wir stellen den gegebenen Graphen graphisch dar und zeichnen die gesuchte Fläche ein

2 Wir berechnen die Integrationsgrenzen. Hierfür ermitteln wir die Punkte, an denen der Graph die x-Achse schneidet.

somit sind
und
die Integrationsgrenzen.
3 Die gesuchte Fläche ist durch folgendes Integral gegeben

4 Wir lösen das bestimmte Integral

Bestimme den Flächeninhalt des Bereichs der Ebene, der durch die Graphen
und die Koordinatenachsen begrenzt ist.
1 Wir stellen die gegebenen Graphen grafisch dar und zeichnen die gesuchte Fläche ein

2 Die Fläche ist durch folgendes Integral gegeben

Aus der grafischen Darstellung ergibt sich, dass wenn wir in Bezug auf die Variable
integrieren, die Berechnung einfacher wird. Hierfür drücken wir den Graphen in Funktion von
aus:

und die gesuchte Fläche ist

3 Wir lösen das bestimmte Integral

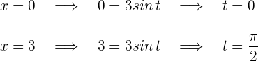
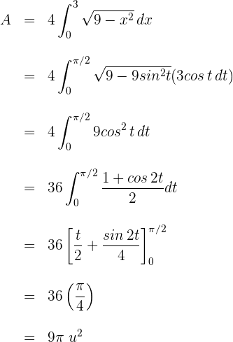
Berechne die Fläche des Bereichs der Ebene, der durch den Kreis
begrenzt ist.
1 Wir stellen den gegebenen Graphen grafisch dar. Wir stellen fest, dass die gesuchte Fläche dem Vierfachen der im 1. Quadranten befindlichen Fläche entspricht

2 Wir drücken den Teil des Kreises, der im 1. Quadranten liegt, in Funktion von
aus

3 Die gesuchte Fläche ist gegeben durch

4 Wir lösen das bestimmte Integral. Hierfür wenden wir die trigonometrische Substitution
an, deren Differential
ist. Die Integrationsgrenzen sind:

Wir ersetzen die Werte von
durch 

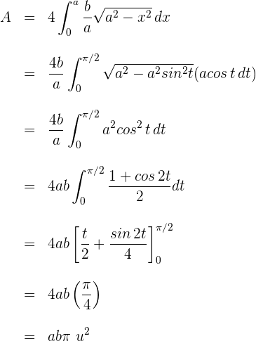
Ermittle die Fläche einer Ellipse mit den Halbachsen
und
.
1 Wir stellen die Ellipse, deren Mittelpunkt im Ursprung liegt, mit den gegebenen Halbachsen dar


Wir stellen fest, dass die gesuchte Fläche dem Vierfachen der im ersten Quadranten befindlichen Fläche entspricht
2 Wir drücken den Teil der Ellipse, der im 1. Quadranten liegt, in Funktion von
aus

3 Die gesuchte Fläche ist gegeben durch

4 Wir lösen das bestimmte Integral. Hiefür wenden wir die trigonometrische Substitution
an, deren Differential
ist. Die Integrationsgrenzen sind:

Wir ersetzen die Werte von
durch 

Berechne die Fläche des Bereichs der Ebene, der durch die Nullstellen des Graphen
und die
-Achse begrenzt ist.
1 Wir stellen den Graphen analytisch und grafisch dar. Anschließend können wir die gesuchte Fläche einzeichnen

somit sind
und
die Nullstellen des Graphen
3 Die gesuchte Fläche ist gegeben durch

4 Wir lösen das bestimmte Integral

Bestimme die Fläche, die durch
begrenzt ist.
1 Wir stellen den Graphen analytisch und grafisch dar. Anschließend zeichnen wir die gesuchte Fläche ein

2 Wir berechnen den Schnittpunkt der Geraden mit der Parabel

somit sind
und
die Koordinaten auf den Achsen, an denen sich die beiden Graphen schneiden
3 Die gesuchte Fläche ist in zwei Teilen gegeben. Im ersten Teil liegt die Gerade oberhalb der Parabel und im zweiten Teil liegt die Parabel oberhalb der Geraden

Somit ist die gesuchte Fläche gegeben durch

4 Wir lösen die bestimmten Integrale

Ermittle die Fläche der Ebene, die durch die Parabel
und die Tangenten des Graphen an den Schnittpunkten mit der
-Achse begrenzt ist.
1 Wir ermitteln den Schnittpunkt mit der
-Achse

und
sind also die Nullstellen und die Schnittpunkte lauten deshalb
.
2 Wir ermitteln die Gleichung der Tangente bei 

Wir bestimmen die Tangentengleichung bei 

Die beiden Geraden schneiden sich bei 
3 Wir stellen den Graphen mit den Tangenten grafisch dar und zeichnen die gesuchte Fläche ein

4 Die gesuchte Fläche ist in zwei Teilen gegeben. Im ersten Teil liegt die Gerade mit positiver Steigung oberhalb der Parabel und im zweiten Teil liegt die Gerade mit negativer Steigung oberhalb der Parabel

Die gesuchte Fläche ist somit gegeben durch

5 Wir lösen die bestimmten Integrale

Mit KI zusammenfassen:








