Ermittle das Volumen des Kegelstumpfes, der durch Rotation um
und die durch
begrenzte Fläche entsteht.
Ein Kegelstumpf wird durch einen Umfang in Abhängigkeit von einem Parameter bestimmt. In diesem Fall ist der Radius eines solchen Kreises durch
gegeben und der Parameter
liegt zwischen
. Der Flächeninhalt eines Kreises ist
mal dem Radius zum Quadrat. Angesichts der Grenzen der Aussage und der Tatsache, dass wir das Volumen eines Stumpfes ermitteln möchten, müssen wir das Integral der Fläche eines Kreises mit dem Radius
ermitteln, d. h.


Berechne das Volumen eines Dreiecks mit den Eckpunkten
bei einer Drehung von
um die x-Achse.
Zunächst müssen wir die Geraden bestimmen, die das Dreieck bilden. Die erste von ihnen ist durch den Punkt
gegeben. Die beiden folgenden sind gegeben durch: Gleichung der Geraden, die durch 
verläuft. Gleichung der Geraden, die durch
verläuft. Da wir dieses Dreieck drehen werden, wird das Volumen durch die Fläche eines Kreises bestimmt. Und wir müssen bedenken, dass diese Radien von den oben berechneten Geraden abhängen. Zuerst geht
von
nach
mit der Geraden
und dann von
nach
mit der Geraden
. Abschließend sei daran erinnert, dass die Fläche eines Kreises
mal dem Radius zum Quadrat entspricht. Somit ist das Volumen:



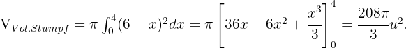
Berechne das Volumen des Kegelstumpfes, der durch das Trapez gebildet wird, das durch die Abszissenachse, die Gerade
und die Koordinaten
und
begrenzt wird, wenn es sich um die x-Achse dreht.
Wir haben einen Kegelstumpf, der durch Drehung des durch
und
begrenzten Trapezes entsteht,
. Das Volumen dieses Trapezes erhält man durch das Integral des Flächeninhalts eines Kreises mit dem Radius
. Zur Erinnerung: Der Flächeninhalt eines Kreises ist
mal dem Radius zum Quadrat. 


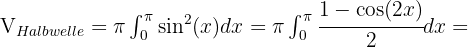
Berechne das Volumen, das von einer Halbwelle der Sinuskurve
bei einer Drehung um die x-Achse erzeugt wird.
Wir möchten die Funktion
um die x-Achse drehen. Das Volumen dieser Figur ergibt sich aus der Addition der Volumen der Kreise mit dem Radius
zwischen den Punkten
und
. Der Flächeninhalt eines Kreises ist
mal dem Radius zum Quadrat. Somit 


Berechne das Volumen, das durch die Drehung des durch die Graphen von
begrenzten Raums um die x-Achse entsteht.
Um den Bereich zu finden, der durch die Graphen der Funktionen
begrenzt wird, müssen wir zunächst die Schnittpunkte dieser Graphen finden, die die Integrationsgrenzen bestimmen.
Die Fläche des Bereichs ist die Fläche einer Scheibe, die durch Subtraktion der Flächen zweier Kreise bestimmt wird, von denen der erste den Radius
und der zweite Kreis den Radius
hat. Der Flächeninhalt eines Kreises ist
mal dem Radius
zum Quadrat. Somit



Berechne das Volumen des Rotationskörpers, der durch die Drehung um die x-Achse, den Bereich, der durch die Funktion
bestimmt wird, die Abszissenachse und die Geraden
und
entsteht.
Man beachte, dass dieses Volumen durch das Integral ermittelt wird. Zunächst sind die Integrationsgrenzen
und
. Zweitens: Die Funktion, die wir integrieren wollen, ist die Fläche eines Kreises mit dem Radius
. Der Flächeninhalt eines Kreises ist
mal dem Radius zum Quadrat. Somit

Berechne das Volumen des Körpers, der durch die Drehung des durch die Graphen von
begrenzten Raums um die x-Achse entsteht.
Zunächst bestimmen wir die Schnittpunkte dieser beiden Graphen, die
sind. Nun zeichnen wir den Bereich, den wir drehen möchten
Die Parabel liegt oberhalb der Geraden im Integrationsintervall.
Man beachte, dass die Fläche dieser Region die Fläche einer Scheibe ist, die man erhält, wenn man die Fläche
Man beachte, dass die Fläche dieser Region die Fläche einer Scheibe ist, die man erhält, wenn man die Fläche zweier Kreise jeweils mit den Radien
und
subtrahiert.
Der Flächeninhalt eines Kreises ist
mal dem Radius zum Quadrat, also


Berechne das Volumen des Kreises
bei einer Drehung um die x-Achse.
Zuerst schreiben wir die Gleichung des Kreises um und erhalten dann seinen Radius und seinen Mittelpunkt
.
Der Mittelpunkt des Kreises ist
und der Radius
.
Schnittpunkte mit der x-Achse:


Mit diesen Informationen können wir das Volumen des Bereichs berechnen, das wie folgt lautet:


Berechne das Volumen der Figur, die durch die Drehung der Ellipse

um die x-Achse entsteht.
Aus der Gleichung der Ellipse ergibt sich die Funktion, die den Bereich bestimmt, für den wir das Volumen ermitteln müssen: 

Da es sich bei der Ellipse um eine symmetrische Kurve handelt, ist das gesuchte Volumen 2 mal so groß wie das Volumen,
das durch den Bogen
zwischen
und
entsteht.


Mit KI zusammenfassen:
