Überblick über das Integral des Sinus
Wir erinnern uns daran, dass die Ableitung der Funktion  
   ist.  Dies sagt uns direkt, dass die Ableitung von
 ist.  Dies sagt uns direkt, dass die Ableitung von  
     ist. Nun wird das unbestimmte Integral als die Umkehrung der Integration betrachtet, daher folgt, dass das Integral von
 ist. Nun wird das unbestimmte Integral als die Umkehrung der Integration betrachtet, daher folgt, dass das Integral von  
  sein muss.Wir müssen jedoch bedenken, dass die Ableitung einer beliebigen Konstanten 0ist, sodass auch die Ableitung von
 sein muss.Wir müssen jedoch bedenken, dass die Ableitung einer beliebigen Konstanten 0ist, sodass auch die Ableitung von  
  ist. Somit ist die Stammfunktion oder das Integral von
 ist. Somit ist die Stammfunktion oder das Integral von  tatsächlich
 tatsächlich  . In anderen Worten
. In anderen Worten

Außerdem müsssen wir die Kettenregel beachten, aus der folgt, dass die Ableitung von  
   ist. Daraus folgt auch, dass
 ist. Daraus folgt auch, dass

Aufgaben zur Integration der Sinusfunktion
Für diese Übungen gehen wir davon aus, dass du die grundlegenden Eigenschaften von Integralen kennst und weißt, wie man Integrale durch Substitution, partielle Integration usw. löst. Falls du dich nicht mehr an diese Methoden erinnerst, schau dir doch unsere Artikel an, in denen wir sie erklären.

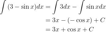
Wir integrieren direkt


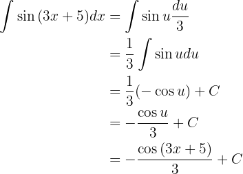
Wir integrieren mit der Methode der Substitution.
Wir nehmen

Wir setzen in das Integral ein und erhalten


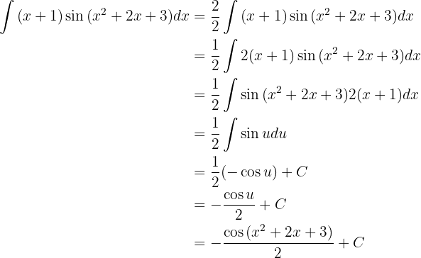
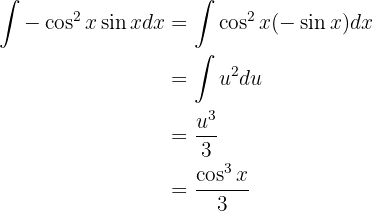
Wir integrieren diese Funktion mit der Substitution.
Wir nehmen

Wir multiplizieren und dividieren unser Integral mit und durch  um seinen Wert nicht zu verändern, substituieren und lösen
 um seinen Wert nicht zu verändern, substituieren und lösen


Wir integrieren diese Funktion partiell.
Dabei beachten wir

Wir überlegen uns, welcher Teil der Funktion  sein wird und welcher
 sein wird und welcher  sein wird. In diesem Fall gehen wir wie folgt vor
 sein wird. In diesem Fall gehen wir wie folgt vor

und

Wir setzen diese Werte in eine Formel der partiellen Integration ein und erhalten

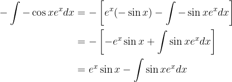
Wir wenden erneut die partielle Integration an

in diesem Fall sind  und
 und 

und


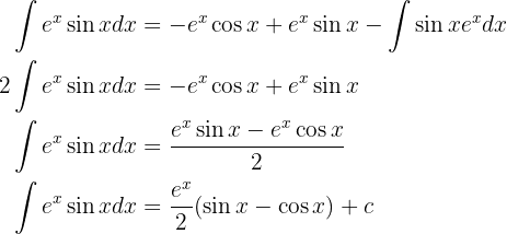
Wenn wir all dies in das erste Integral einsetzen, erhalten wir das Integral, das wir berechnen möchten, auf der linken und rechten Seite, jedoch mit negativem Vorzeichen. Daher müssen wir nur noch das Integral, das wir ermitteln möchten, bestimmen


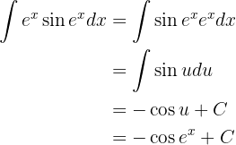
Wir integrieren durch Substitution.
Wir nehmen

und
setzen diese Werte in eine Formel der partiellen Integration ein. Wir erhalten


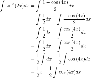
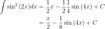
Um diese Funktion zu integrieren, müssen wir sie zunächst vereinfachen. Dazu halten wir uns die folgende trigonometrische Identität vor Augen


Um das Integral
 zu lösen,
 zu lösen,
substituieren wir. Wir nehmen

Und somit

Wir setzen in das vorherige Integral ein und erhalten


Zunächst schreiben wir unser Integral in einer angenehmeren Form auf

Nun müssen wir nur noch integrieren

Wir integrieren durch Substitution. Wir nehmen

Und somit

Wir setzen in das ursprüngliche Integral ein









 Loading...
Loading...