Definition: Inverse Matrix
Das Produkt aus einer Matrix und ihrer Inversen ist die Einheitsmatrix

Die inverse Matrix kann auf zwei Arten berechnet werden: mithilfe des Gauß-Verfahrens oder mithilfe der Berechnung mit Determinanten.
Eigenschaften der inversen Matrix
1 
2 
3 
4 
Berechnung mit Determinanten
Die Berechnung einer inversen matrix mit Determinanten sieht wie folgt aus:
, mit
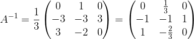
Um den Rechenvorgang besser verstehen zu können, beginnen wir mit einem Beispiel:
1 Berechne die Determinante der Matrix.
Sollte die Determinante Null ergeben, besitzt die Matrix keine Inverse.
2 Ermittle die Adjunkte
Als Adjunkte bezeichnet man die Transponierte der Kofaktormatrix. Mit ihr kann die Inverse der Matrix berechnet werden.
3 Berechne die Transponierte der adjunkten Matrix.
4 Die inverse Matrix besitzt den umgekehrten Wert ihrer Determinante mal der Transponierten ihrer Adjunkten..

Mit KI zusammenfassen:








