Tabelle der Normalverteilung
Die Tabelle der Normalverteilung wird verwendet, um definierte Werte für die Variable z zu finden.
| z | .00 | .01 | .02 | .03 | .04 | .05 | .06 | .07 | .08 | .09 |
|---|---|---|---|---|---|---|---|---|---|---|
| -3.4 | .0003 | .0003 | .0003 | .0003 | .0003 | .0003 | .0003 | .0003 | .0003 | .0002 |
| -3.3 | .0005 | .0005 | .0005 | .0004 | .0004 | .0004 | .0004 | .0004 | .0004 | .0003 |
| -3.2 | .0007 | .0007 | .0006 | .0006 | .0006 | .0005 | .0005 | .0005 | .0004 | .0004 |
| -3.1 | .0010 | .0009 | .0009 | .0009 | .0008 | .0008 | .0008 | .0007 | .0007 | .0006 |
| -3.0 | .0013 | .0013 | .0012 | .0012 | .0011 | .0011 | .0010 | .0010 | .0009 | .0009 |
| -2.9 | .0019 | .0018 | .0018 | .0017 | .0016 | .0016 | .0015 | .0015 | .0014 | .0014 |
| -2.8 | .0026 | .0025 | .0024 | .0023 | .0022 | .0021 | .0021 | .0020 | .0019 | .0018 |
| -2.7 | .0035 | .0034 | .0033 | .0032 | .0031 | .0030 | .0029 | .0028 | .0027 | .0026 |
| -2.6 | .0047 | .0045 | .0044 | .0043 | .0041 | .0040 | .0039 | .0038 | .0037 | .0036 |
| -2.5 | .0062 | .0060 | .0059 | .0057 | .0055 | .0054 | .0052 | .0051 | .0049 | .0048 |
| -2.4 | .0082 | .0080 | .0078 | .0075 | .0073 | .0071 | .0069 | .0068 | .0066 | .0064 |
| -2.3 | .0107 | .0104 | .0102 | .0099 | .0097 | .0094 | .0091 | .0089 | .0087 | .0084 |
| -2.2 | .0139 | .0136 | .0132 | .0129 | .0125 | .0122 | .0119 | .0116 | .0113 | .0110 |
| -2.1 | .0179 | .0174 | .0170 | .0166 | .0162 | .0158 | .0154 | .0150 | .0146 | .0143 |
| -2.0 | .0228 | .0222 | .0217 | .0212 | .0207 | .0202 | .0197 | .0192 | .0188 | .0183 |
| -1.9 | .0287 | .0281 | .0274 | .0268 | .0262 | .0256 | .0250 | .0244 | .0239 | .0233 |
| -1.8 | .0359 | .0351 | .0344 | .0336 | .0329 | .0322 | .0314 | .0307 | .0301 | .0294 |
| -1.7 | .0446 | .0436 | .0427 | .0418 | .0409 | .0401 | .0392 | .0384 | .0375 | .0367 |
| -1.6 | .0548 | .0537 | .0526 | .0516 | .0505 | .0495 | .0485 | .0475 | .0465 | .0455 |
| -1.5 | .0668 | .0655 | .0643 | .0630 | .0618 | .0606 | .0594 | .0582 | .0571 | .0559 |
| -1.4 | .0808 | .0793 | .0778 | .0764 | .0749 | .0735 | .0721 | .0708 | .0694 | .0681 |
| -1.3 | .0968 | .0951 | .0934 | .0918 | .0901 | .0885 | .0869 | .0853 | .0838 | .0823 |
| -1.2 | .1151 | .1131 | .1112 | .1093 | .1075 | .1056 | .1038 | .1020 | .1003 | .0985 |
| -1.1 | .1357 | .1335 | .1314 | .1292 | .1271 | .1251 | .1230 | .1210 | .1190 | .1170 |
| -1.0 | .1587 | .1562 | .1539 | .1515 | .1492 | .1469 | .1446 | .1423 | .1401 | .1379 |
| -0.9 | .1841 | .1814 | .1788 | .1762 | .1736 | .1711 | .1685 | .1660 | .1635 | .1611 |
| -0.8 | .2119 | .2090 | .2061 | .2033 | .2005 | .1977 | .1949 | .1922 | .1894 | .1867 |
| -0.7 | .2420 | .2389 | .2358 | .2327 | .2296 | .2266 | .2236 | .2206 | .2177 | .2148 |
| -0.6 | .2743 | .2709 | .2676 | .2643 | .2611 | .2578 | .2546 | .2514 | .2483 | .2451 |
| -0.5 | .3085 | .3050 | .3015 | .2981 | .2946 | .2912 | .2877 | .2843 | .2810 | .2776 |
| -0.4 | .3446 | .3409 | .3372 | .3336 | .3300 | .3264 | .3228 | .3192 | .3156 | .3121 |
| -0.3 | .3821 | .3783 | .3745 | .3707 | .3669 | .3632 | .3594 | .3557 | .3520 | .3483 |
| -0.2 | .4207 | .4168 | .4129 | .4090 | .4052 | .4013 | .3974 | .3936 | .3897 | .3859 |
| -0.1 | .4602 | .4562 | .4522 | .4483 | .4443 | .4404 | .4364 | .4325 | .4286 | .4247 |
| 0.0 | .5000 | .4960 | .4920 | .4880 | .4840 | .4801 | .4761 | .4721 | .4681 | .4641 |
| z | .00 | .01 | .02 | .03 | .04 | .05 | .06 | .07 | .08 | .09 |
|---|---|---|---|---|---|---|---|---|---|---|
| 0.0 | .5000 | .5040 | .5080 | .5120 | .5160 | .5199 | .5239 | .5279 | .5319 | .5359 |
| 0.1 | .5398 | .5438 | .5478 | .5517 | .5557 | .5596 | .5636 | .5675 | .5714 | .5753 |
| 0.2 | .5793 | .5832 | .5871 | .5910 | .5948 | .5987 | .6026 | .6064 | .6103 | .6141 |
| 0.3 | .6179 | .6217 | .6255 | .6293 | .6331 | .6368 | .6406 | .6443 | .6480 | .6517 |
| 0.4 | .6554 | .6591 | .6628 | .6664 | .6700 | .6736 | .6772 | .6808 | .6844 | .6879 |
| 0.5 | .6915 | .6950 | .6985 | .7019 | .7054 | .7088 | .7123 | .7157 | .7190 | .7224 |
| 0.6 | .7257 | .7291 | .7324 | .7357 | .7389 | .7422 | .7454 | .7486 | .7517 | .7549 |
| 0.7 | .7580 | .7611 | .7642 | .7673 | .7704 | .7734 | .7764 | .7794 | .7823 | .7852 |
| 0.8 | .7881 | .7910 | .7939 | .7967 | .7995 | .8023 | .8051 | .8078 | .8106 | .8133 |
| 0.9 | .8159 | .8186 | .8212 | .8238 | .8264 | .8289 | .8315 | .8340 | .8365 | .8389 |
| 1.0 | .8413 | .8438 | .8461 | .8485 | .8508 | .8531 | .8554 | .8577 | .8599 | .8621 |
| 1.1 | .8643 | .8665 | .8686 | .8708 | .8729 | .8749 | .8770 | .8790 | .8810 | .8830 |
| 1.2 | .8849 | .8869 | .8888 | .8907 | .8925 | .8944 | .8962 | .8980 | .8997 | .9015 |
| 1.3 | .9032 | .9049 | .9066 | .9082 | .9099 | .9115 | .9131 | .9147 | .9162 | .9177 |
| 1.4 | .9192 | .9207 | .9222 | .9236 | .9251 | .9265 | .9279 | .9292 | .9306 | .9319 |
| 1.5 | .9332 | .9345 | .9357 | .9370 | .9382 | .9394 | .9406 | .9418 | .9429 | .9441 |
| 1.6 | .9452 | .9463 | .9474 | .9484 | .9495 | .9505 | .9515 | .9525 | .9535 | .9545 |
| 1.7 | .9554 | .9564 | .9573 | .9582 | .9591 | .9599 | .9608 | .9616 | .9625 | .9633 |
| 1.8 | .9641 | .9649 | .9656 | .9664 | .9671 | .9678 | .9686 | .9693 | .9699 | .9706 |
| 1.9 | .9713 | .9719 | .9726 | .9732 | .9738 | .9744 | .9750 | .9756 | .9761 | .9767 |
| 2.0 | .9772 | .9778 | .9783 | .9788 | .9793 | .9798 | .9803 | .9808 | .9812 | .9817 |
| 2.1 | .9821 | .9826 | .9830 | .9834 | .9838 | .9842 | .9846 | .9850 | .9854 | .9857 |
| 2.2 | .9861 | .9864 | .9868 | .9871 | .9875 | .9878 | .9881 | .9884 | .9887 | .9890 |
| 2.3 | .9893 | .9896 | .9898 | .9901 | .9904 | .9906 | .9909 | .9911 | .9913 | .9916 |
| 2.4 | .9918 | .9920 | .9922 | .9925 | .9927 | .9929 | .9931 | .9932 | .9934 | .9936 |
| 2.5 | .9938 | .9940 | .9941 | .9943 | .9945 | .9946 | .9948 | .9949 | .9951 | .9952 |
| 2.6 | .9953 | .9955 | .9956 | .9957 | .9959 | .9960 | .9961 | .9962 | .9963 | .9964 |
| 2.7 | .9965 | .9966 | .9967 | .9968 | .9969 | .9970 | .9971 | .9972 | .9973 | .9974 |
| 2.8 | .9974 | .9975 | .9976 | .9977 | .9977 | .9978 | .9979 | .9979 | .9980 | .9981 |
| 2.9 | .9981 | .9982 | .9982 | .9983 | .9984 | .9984 | .9985 | .9985 | .9986 | .9986 |
| 3.0 | .9987 | .9987 | .9987 | .9988 | .9988 | .9989 | .9989 | .9989 | .9990 | .9990 |
| 3.1 | .9990 | .9991 | .9991 | .9991 | .9992 | .9992 | .9992 | .9992 | .9993 | .9993 |
| 3.2 | .9993 | .9993 | .9993 | .9994 | .9994 | .9994 | .9994 | .9994 | .9994 | .9995 |
| 3.3 | .9995 | .9995 | .9995 | .9995 | .9995 | .9995 | .9995 | .9996 | .9996 | .9996 |
| 3.4 | .9997 | .9997 | .9997 | .9997 | .9997 | .9997 | .9997 | .9997 | .9997 | .9998 |
Zufallsvariablen der Normalverteilung
Wenn
eine Zufallsvariable einer Normalverteilung
ist, bestimme:
.
In diesem Fall arbeiten wir mit einer Standardnormalverteilung, für deren Lösung wir die folgende Formel verwenden werden:


Nun müssen wir in unserer Normalverteilungstabelle den Wert suchen, bei dem
ist. Wir benötigen allerdings den Wert, bei dem
und rechnen also
. So erhalten wir
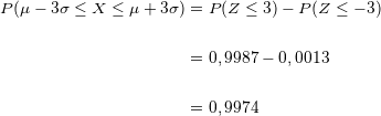
. Da die Normalverteilung außerdem symmetrisch ist, gilt:
.

Die Wahrscheinlichkeit liegt somit bei
der Werte für
.
Normalverteilung, Mittelwert und Standardabweichung:
Gegeben ist eine Normalverteilung mit dem Mittelwert
und der Standardabweichung
. Berechne den Wert für a, sodass: 
Wir wenden die Formel
an und setzen den Wert des Mittelwerts (
) und die Standardabweichung (
) ein.

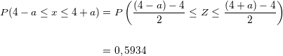
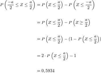
Wir vereinfachen und erhalten:

Hieraus ergibt sich

Nun suchen wir in der Normalverteilungstabelle den Wert
und sehen, dass er
entspricht. Somit:

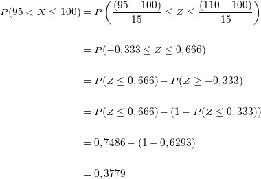
Die Normalverteilung in Anwendung auf die Umgebungstemperatur
Es wird geschätzt, dass die Höchsttemperatur in einer Stadt im Juni einer Normalverteilung folgt, mit einem Mittelwert von
und einer Standardabweichung von
.
Berechne die Anzahl der Tage des Monats, an denen Temperaturen zwischen
und
zu erwarten sind.
Wir wenden die Formel
an und setzen den Wert des Mittelwerts (
) und die Standardabweichung (
) ein.

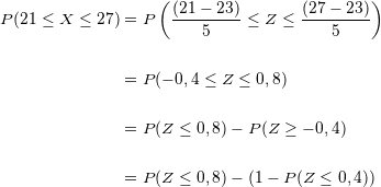
Wir suchen die entsprechenden Werte in der Normalverteilungstabelle:

Deshalb gilt

Das bedeutet, dass im Juni nur an
Tagen Temperaturen zwischen
Grad und
Grad erreicht werden.
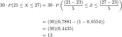
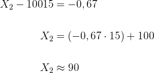
Die Normalverteilung in Anwendung auf das Gewicht von Schüler*innen
Der Mittelwert des Gewichts von
Schüler*innen einer Schule liegt bei
und die Standardabweichung bei
.
Es gilt die Annahme, dass das Gewicht normal verteilt ist. Ermittle, wieviele Schüler*innen folgendes Gewicht haben:
1 Zwischen
und
.
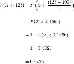
2 Mehr als
.
3 Weniger als
.
4
.
5
oder weniger.
1
Wir setzen ein:

Wir suchen die Werte in der Normalverteilungstabelle:

Wenn wir also die Wahrscheinlichkeit 
Von den
Schüler*innen wiegen
zwischen
und
kg.
2
Wir setzen ein und vereinfachen:

Wir multiplizieren die Wahrscheinlichkeit mit
und erhalten
.
Es wiegt also kein*e Schüler*in mehr als
kg.
3
Wir setzen ein und vereinfachen:

Wir multiplizieren die Wahrscheinlichkeit mit
und erhalten
Schüler*innen, die weniger als
kg wiegen.
4
Bei einer stetigen Verteilung ist die Wahrscheinlichkeit, dass die Variable einen exakten Wert hat, immer null (
). Somit gilt
.
5
Angesichts der oben genannten Ergebnisse:
Es gibt null Schüler*innen, die genau
kg wiegen und
Schüler*innen, die weniger als
kg wiegen. Somit gibt es
Schüler*innen, die
kg oder weniger wiegen.
\displaystyle 500 \cdot P(X < 64) = 500 \cdot P(X \leq 64) = 11[/latex].
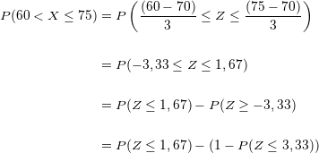
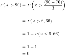
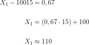
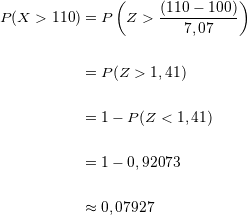
Die Normalverteilung in Anwendung auf Prüfungsergebnisse
Es wird angenommen, dass die Ergebnisse einer Prüfung einer Normalverteilung mit einem Mittelwert von
und einer Standardabweichung von
folgen.
1 Wie hoch ist die Wahrscheinlichkeit, dass eine Person, die an der Prüfung teilnimmt, eine höhere Punktzahl als
erreicht?
2 Berechne den Anteil der Studierenden, deren Punktzahl mindestens fünf Punkte über der Grenze zwischen "bestanden" und "nicht bestanden" liegt (die
der Studierenden mit den niedrigsten Punktzahlen werden als "nicht bestanden" eingestuft)
3 Wenn bekannt ist, dass die Punktzahl eines/r Studierenden höher als
, wie hoch ist dann die Wahrscheinlickeit, dass mehr als
Punkte erreicht wurden?
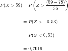
1
Wir setzen die Werte in die Formel ein:

Die Wahrscheinlichkeit, dass eine Person eine Punktzahl von mehr als
in der Prüfung erreicht, liegt bei
.
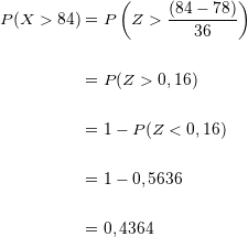
2
Wir setzen die Werte in die Formel ein:

Wir suchen die Wahrscheinlickeit
in der Tabelle der Normalverteilung. Diese ist
, was bedeutet, dass

Wir bestimmen
:

Wir berechnen für
:

Der Prozentsatz der Studierenden, die bestehen und deren Punktzahl
Punkte oberhalb der Grenze zum Nichtbestehen liegen, beträgt
.
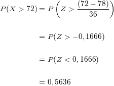
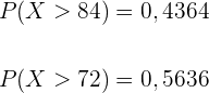
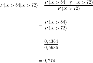
3
Wir setzen ein:

Aus der ersten Fragestellung dieser Aufgabe wissen wir, dass die Wahrscheinlichkeit, dass eine Person in der Prüfung mehr als
Punkte erreicht,
beträgt.

Nun wenden wir die Formel der bedingten Wahrscheinlichkeit an:

Wir setzen ein:

Die Wahrscheinlichkeit, dass eine Person, die mehr als
Punkte erreicht, auch mehr als
Punkte erreicht, liegt bei
.
Die Normalverteilung für die Klassifizierung von Gruppen
Nach einem Test zur Allgemeinbildung wird festgestellt, dass die erzielten Ergebnisse einer Verteilung von
folgen.
Die Teilnehmer*innen sollen in drei Gruppen eingeteilt werden (geringe Allgemeinbildung, akzeptable Allgemeinbildung, ausgezeichnete Allgemeinbildung), sodass
der Bevölkerung in der 1. Gruppe sind,
in der 2. Gruppe und
in der 3. Gruppe.
Welche Punkte sollten den Übergang von einer Gruppe zur anderen markieren?

Wir suchen in unserer Tabelle den Parameter entsprechend der Wahrscheinlichkeit
, der
ist:

Wenn also
, gilt

Wir suchen nun in unserer Tabelle den Parameter entsprechend der Wahrscheinlichkeit
, der
ist. Diese bedeutet, dass

Wenn also
ist, gilt

Geringe Allgemeinbildung bis
Punkte.
Akzeptable Allgemeinbildung zwischen
und
.
Ausgezeichnete Allgemeinbildung ab
Punkten.
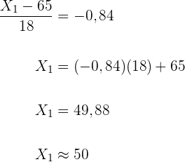
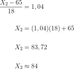
Berechnung des Intelligenzquotienten mittels der Normalverteilung
Verschiedene Intelligenztests ergeben eine Punktzahl, die einer Normalverteilung mit einem Mittelwert von
und einer Standardabweichung von
folgt.
1 Bestimme den Prozentsatz der Bevölkerung, der einen IQ zwischen
und
erhalten würde.
2 Welches auf
zentrierte Intervall enthält
der Bevölkerung?
3 Es wird von einer Bevölkerung mit
Personen ausgegangen. Wie viele Personen haben voraussichtlich einen IQ von mehr als
?
Verschiedene Intelligenztests ergeben eine Punktzahl, die einer Normalverteilung mit einem Mittelwert von
und einer Standardabweichung von
folgt.
1
Wir setzen die Werte in die Formel ein:

Der Prozentsatz der Bevölkerung, der einen IQ zwischen
und
hat, beträgt
.
2
Da wir
der Mitte der Bevölkerung nehmen möchten, nutzen wir das Intevall zwischen
und
.
Wir suchen in unserer Tabelle den Paramter entsprechend der Wahrscheinlichkeit
und 

Wir setzen ein und bestimmen

und

Somit ist das Intervall:
.
Das zentrierte Intervall, das
der Bevölkerung umfasst, liegt zwischen
und
Punkten.
3
Wir setzen die Werte in die Formel ein, berechnen den Parameter und suchen die Wahrscheinlichkeit in der Tabelle

Diese Wahrscheinlichkeit multiplizieren wir mit den
Personen. Wir erhalten:

Von den
Personen haben voraussichtlich
Personen einen IQ höher als
.
Verwendung der Normalverteilung zur Wahrscheinlichkeitsberechnung
In einer Stadt besitzt 1 von 3 Haushalten ein Telefon.
Es werden
Haushalte nach dem Zufallsprinzip ausgewählt. Berechne die Wahrscheinlichkeit, dass mindestens
von ihnen ein Telefon haben.

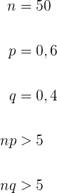
n: Anzahl der zur Auswahl stehenden Haushalte.
p: Wahrscheinlichkeit, einen Haushalt auszuwählen, der ein Telefon besitzt.
q: Komplement der Wahrscheinlichkeit.
Um diese Art von Aufgabe zu lösen, wenden wir den Satz von Moivre-Laplace an:
Wenn
eine binomialverteilte Zufallsvariable der Parameter
und
ist,
, dann kann
einer Normalverteilung mit dem Mittelwert
und der Standardabweichung
(wobei
) angenähert werden. Es müssen die beiden folgenden Bedingungen erfüllt sein:
Bedingung 1.
.
Bedingung 2.
.
Dann würde die binomialverteilte Variable
mit der Binomialverteilung
angenähert werden.
Da
, ist Bedingung 1 erfüllt.

Somit ist Bedingung 2 erfüllt.
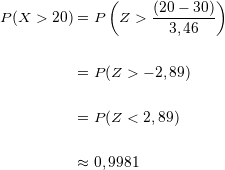
Wir wenden die Formel
an.
Wir setzen ein:

Nun wenden wir die Formel der Normalverteilung an

Wir setzen ein, berechnen und suchen den Wert der Wahrscheinlichkeit in unserer Normalverteilungstabelle:

Bei einer Zufallsauswahl von
besteht eine Wahrscheinlichkeit von
, dass mindestens
Haushalte, die ein Telefon besitzen, ausgewählt wurden.
Wahrscheinlichkeit eines Ergeignisses mit Zufallsvariable
Bei einem Multiple-Choice-Test mit
Fragen gibt es auf jede Frage eine richtige und eine falsche Antwort.
Der Test ist bestanden, wenn mehr als
Fragen richtig beantwortet werden.
Berechne unter der Annahme einer zufälligen Beantwortung die Wahrscheinlichkeit, den Test zu bestehen.
Wir wenden den Satz von Moivre-Laplace an:
Wir überprüfen die
Bedingungen:
Erste Bedingung:

Zweite Bedingung: 
Da beide Bedingungen erfüllt sind, wenden wir die Formel an
.
Wir setzen ein:

Nun wenden wir
an

Bei der zufälligen Beantwortung eines Multiple-Choice-Tests besteht eine Wahrscheinlichkeit von
, den Test zu bestehen.
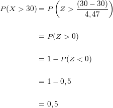
Normalverteilung für die Wahrscheinlichkeit
Eine Studie hat gezeigt, dass in einem bestimmten Stadtteil
der Haushalte mindestens zwei Fernseher besitzen. Nach dem Zufallsprinzip werden
Haushalte in genanntem Stadtteil ausgewählt.
Aufgabe:
1 Wie hoch ist die Wahrscheinlichkeit, dass mindestens
dieser Haushalte mindestens zwei Fernseher besitzen?
2 Wie hoch ist die Wahrscheinlichkeit, dass zwischen
und
Haushalte mindestens zwei Fernseher besitzen?
1
Wir wenden den Satz von Moivre-Laplace an und überprüfen die
Bedingungen:

Da beide Bedingungen erfüllt sind, wenden wir die Formel
an.
Wir setzen ein:

Wir wenden an:
.
Und setzen ein:

2
Wir wenden die Formel
an und setzen den Wert des Mittelwerts
ein

Die Wahrscheinlichkeit, dass zwischen
und
Haushalten mindestens
Fernseher besitzen, liegt bei
.
Mit KI zusammenfassen:








