Gegeben ist ein rechtwinkliges Dreieck
mit
und
. Löse das Dreieck.

1

Wir wenden die Funktion
auf beiden Seiten der Gleichung an und erhalten

2

3

Wir bestimmen
und lösen

Gegeben ist ein rechtwinkliges Dreieck
mit
und
. Löse das Dreieck.

1

Wir wenden die Funktion
auf beiden Seiten der Gleichung an und erhalten

2

3

Wir bestimmen
und lösen

Gegeben ist ein rechtwinkliges Dreieck
mit
und
. Löse das Dreieck.

1

2

Wir bestimmen
und lösen

3

Wir bestimmen
und lösen

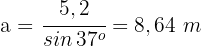
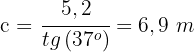
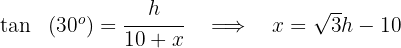
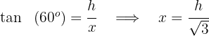
Gegeben ist ein rechtwinkliges Dreieck
mit
und
. Löse das Dreieck

1 2 Wir bestimmen 3 Wir bestimmen 

und lösen

und lösen
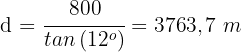
Ein Luftschiff fliegt in einer Höhe von
und bewegt sich in einem Winkel von
von einem Dorf weg. Wie weit entfernt vom Dorf befindet sich das Luftschiff?
1

1

Wir bestimmen die Distanz
und lösen

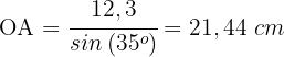
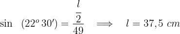
Ermittle den Radius eines Kreises, bei dem eine Sehne mit einer Länge von
einen entsprechenden Bogen von
hat.
1 Wir stellen die uns bekannten Daten grafisch dar

2Es ensteht ein gleichschenkliges Dreieck, dessen Seiten dem Radius des Kreises entsprechen.
ist der Mittelpunkt des Segments
. Das Dreieck
ist dann rechtwinklig und
halbiert den Winkel 
3Wir berechnen den Sinus des Winkels 

Wir ermitteln die Distanz
und lösen

Der gesuchte Radius ist also
.
Berechne die Fläche eines dreieckigen Grundstücks, dessen Seiten
und
lang sind und einen Winkel von
bilden.
1 Wir stellen die uns bekannten Daten grafisch dar

2Wir berechnen die Höhe
des Dreiecks. Hierzu berechnen wir den Sinus von 

3Wir ermitteln
und lösen

Die gesuchte Fläche ist

Berechne die Höhe eines Baums, wenn folgende Daten gegeben sind: Von einem Punkt am Boden aus sieht man, dass sich seine Krone um einen Winkel von
neigt und wenn wir uns
nähern, beträgt der Winkel
.
1 Wir stellen die uns bekannten Daten grafisch dar

2Wir berechnen den Tangens von
und bestimmen 

3Wir berechnen den Tangens von
und bestimmen 

Wir setzen die beiden Werte für
gleich und lösen nach
auf

Die Länge der Seite eines regelmäßigen Achtecks beträgt
. Bestimme sowohl den Radius des Inkreises als auch den Radius des Umkreises.
1 Wir stellen die uns bekannten Daten grafisch dar

2 Der Winkel
ist gleich
, weshalb der Winkel
gleich
ist. Wir berechnen den Radius des Inkreises wie folgt

3 Wir berechnen den Radius des Umkreises wie folgt

Berechne die Länge der Seite und des Apothemas eines regelmäßigen Achtecks, das einen Umkreis mit einem Radius von
cm hat.
1Wir stellen die uns bekannten Daten grafisch dar

2 Der Winkel
ist gleich
. Wenn wir also eine Winkelhalbierende einzeichnen, erhalten wir zwei gleiche, rechtwinklige Dreiecke. Wir berechnen die Seite wie folgt:

3 Wir berechnen das Apothema

Drei Dörfer A, B und C sind durch Straßen verbunden. Die Entfernung von A nach C beträgt
km und von Dorf B nach C
km. Der Winkel, den diese Straßen bilden, beträgt
. Wie weit liegen A und B voneinander entfernt?
1 Wir stellen die uns bekannten Daten grafisch dar und konstruieren ein rechtwinkliges Dreieck
, so dass
auf dem Abschnitt
liegt

2 Wir berechnen die Höhe

3 Wir berechnen die Distanz 

4 Wir berechnen die Distanz
mit dem Satz von Pythagoras

Mit KI zusammenfassen:
