Trigonometrische Funktionen von verschiedenen Winkeln
Komplementärwinkel
Zwei Winkel
sind komplementär, wenn ihre Summe gleich
ist. Dies entspricht einem Bogenmaß von
. Für zwei komplementäre Winkel gilt:
Wir drücken die trigonometrischen Funktionen Sinus, Kosinus und Tangens eines Komplementärwinkels in Form ihres Komplements aus:
1 
2 
3 

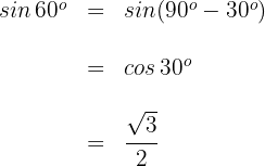
Beispiel: Berechne
1 
Das Komplement des Winkels
ist
. Somit
Wir verwenden die Formel für den Sinus des Komplements eines Winkels
2 
Das Komplement des Winkels
ist
. Somit
Wir verwenden die Formel für den Kosinus des Komplements eines Winkels
3 
Das Komplement des Winkels
ist
. Somit
Wir verwenden die Formel für den Tangens des Komplements eines Winkels
Supplementwinkel
Zwei Winkel
sind supplementär, wenn ihre Summe
ist. Dies entspricht einem Bogenmaß von
. Für zwei Supplementwinkel gilt:
Wir drücken die trigonometrischen Funktionen Sinus, Kosinus und Tangens eines Supplementwinkels in Form seines Supplements aus:
1 
2 
3 

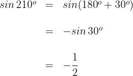
Beispiel: Berechne
1 
Das Supplement des Winkels
ist
. Somit
Wir wenden die Formel für den Sinus des Supplements eines Winkels an
2 
Das Supplement des Winkels
ist
. Somit
Wir verwenden die Formel für den Kosinus des Supplements eines Winkels
3 
Das Supplement des Winkels
ist
. Somit
Wir verwenden die Formel für den Tangens des Supplements eines Winkels
Winkel, die von
abweichen
Wir drücken die trigonometrischen Funktionen Sinus, Kosinus und Tangens für diese Art von Winkeln aus:
1 
2 
3

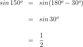
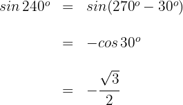
Beispiel: Berechne
1 
Dieser Winkel wird mit
ausgedrückt. Somit
Wir wenden die 1. Formel an und erhalten
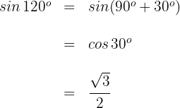
2 
Dieser Winkel wird mit
ausgedrückt. Somit
Wir wenden die 2. Formel an und erhalten
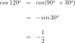
3 
Dieser Winkel wird mit
ausgedrückt. Somit
Wir wenden die 3. Formel an und erhalten
Scheitelwinkel
Wir drücken die trigonometrischen Funktionen Sinus, Kosinus und Tangens für diese Art von Winkeln aus:
1 
2 
3 

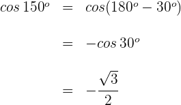
Beispiel: Berechne
1 
Dieser Winkel wird als
ausgedrückt. Somit
Wir wenden die 1. Formel an und erhalten
2 
Dieser Winkel wird als
ausgedrückt. Somit
Wir wenden die 2. Formel an und erhalten
3 
Dieser Winkel wird als
ausgedrückt. Somit
Wir wenden die 3. Formel an und erhalten
Negative Winkel
Wir drücken die trigonometrischen Funktionen Sinus, Kosinus und Tangens für diese Art von Winkeln aus:
1 
2 
3 

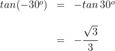
Beispiel: Berechne
1 
Wir wenden die 1. Formel an und erhalten
2 
Wir wenden die 2. Formel an und erhalten
3 
Wir wenden die 3. Formel an und erhalten
Winkel größer als 
Wir drücken die trigonometrischen Funktionen Sinus, Kosinus und Tangens für diese Art von Winkeln aus:
1 
2 
3 

Beispiel: Berechne
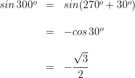
1 
Dieser Winkel wird als
ausgedrückt. Somit
Wir wenden die 1. Formel an und erhalten
2 
Dieser Winkel wird als
ausgedrückt. Somit
Wir wenden die 2. Formel an und erhalten
3 
Dieser Winkel wird als
ausgedrückt. Somit
Wir wenden die 3. Formel an und erhalten
Winkel, die von
abweichen
Wir drücken die trigonometrischen Funktionen Sinus, Kosinus und Tangens für diese Art von Winkeln aus:
1 
2 
3 

Beispiel: Berechne
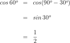
1 
Dieser Winkel wird als
ausgedrückt. Somit
Wir wenden die 1. Formel an und erhalten
2 
Dieser Winkel wird als
ausgedrückt. Somit
Wir wenden die 2. Formel an und erhalten
3 
Dieser Winkel wird als
ausgedrückt. Somit
Wir wenden die 3. Formel an und erhalten
Winkel, die in der Summe
ergeben
Wir drücken die trigonometrischen Funktionen Sinus, Kosinus und Tangens für diese Art von Winkeln aus:
1 
2 
3 

Beispiel: Berechne
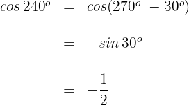
1 
Dieser Winkel wird als
ausgedrückt. Somit
Wir wenden die 1. Formel an und erhalten
2 
Dieser Winkel wird als
ausgedrückt. Somit
Wir wenden die 2. Formel an und erhalten
3 
Dieser Winkel wird als
ausgedrückt. Somit
Wir wenden die 3. Formel an und erhalten
Winkel, die von
abweichen
Wir drücken die trigonometrischen Funktionen Sinus, Kosinus und Tangens für diese Art von Winkeln aus:
1 
2 
3 

Beispiel: Berechne
1 
Dieser Winkel wird als
ausgedrückt. Somit
Wir wenden die 1. Formel an und erhalten
2 
Dieser Winkel wird als
ausgedrückt. Somit
Wir wenden die 2. Formel an und erhalten
3 
Dieser Winkel wird als
ausgedrückt. Somit
Wir wenden die 3. Formel an und erhalten
Aufgaben
Führe folgende Berechnungen durch:

1 Dieser Winkel wird als
ausgedrückt. Wir wenden also die Formel für Winkel an, die von
abweichen.
2 Wir berechnen 

3 Wir berechnen 

4 Wir berechnen 


1 Dieser Winkel wird als
. Wir wenden also die Formel für Scheitelwinkel an
2 Wir berechnen 

3 Wir berechnen 

4 Wir berechnen 


1 Dieser Winkel wird als
ausgedrückt. Wir wenden also die Formel für Winkel an, die größer als
sind
2 Wir berechnen 

Wir wenden die Formel für Supplementwinkel an

3 Wir berechnen 

Wir wenden die Formel für Supplementwinkel an

4 Wir berechnen 

Wir wenden die Formel für Supplementwinkel an


1 Dieser Winkel wird als
ausgedrückt. Wir wenden also die Formel für Winkel an, die größer als
sind
2 Wir berechnen 

Wir wenden die Formel für negative Winkel und die für Supplementwinkel an

3 Wir berechnen 

Wir wenden die Formel für negative Winkel und die für Supplementwinkel an

4 Wir berechnen 

Wir wenden die Formel für negative Winkel und die für Supplementwinkel an


1 Wir wenden die Formel für negative Winkel und danach die Formel für Supplementwinkel an
2 Wir berechnen 

3 Wir berechnen 

4 Wir berechnen 


1 Dieser Winkel wird als
ausgedrückt. Wir wenden also die Formel für Winkel an, die größer als
sind
2 Wir berechnen 

Wir wenden die Formel für Winkel an, die von
abweichen

3 Wir berechnen 

Wir wenden die Formel für Winkel an, die von
abweichen

4 Wir berechnen 

Wir wenden die Formel für Winkel an, die von
abweichen

Mit KI zusammenfassen:








