Die folgenden Sätze sind ein wichtiger Bestandteil der Trigonometrie. Diese Sätze sind der Sinussatz, der Kosinussatz und der Tangenssatz. Sie sind nützlich, um ein Dreieck zu beschreiben, da wir anhand dieser Sätze die Winkel oder Seiten des Dreiecks bestimmen können, ohne sie alle zu kennen.
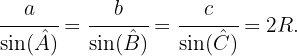
Sinussatz
Wenn wir den Umkreismittelpunkt des Dreiecks bestimmen und einen Kreis mit dem Radius R um das Dreieck zeichnen, sodass dieses umschrieben ist, können wir ein rechtwinkliges Dreieck mit einer Hypotenuse zeichnen, die doppelt so groß ist wie der Radius des Kreises.

Daraus lässt sich Folgendes ableiten:
Jede Seite eines Dreiecks ist direkt proportional zum Sinus des gegenüberliegenden Winkels.
Diese Proportionalität wird in der folgenden Formel ausgedrückt, die den Sinussatz begründet:
Beispiel:
Gegeben ist ein Dreieck mit den Seiten
und den Winkeln
. Berechne die Werte der Seiten 
Wir wissen, dass wir die Seite
und ihren gegenüberliegenden Winkel kennen. Wir verwenden den Sinussatz, um zunächst die Seite
zu berechnen.
Da die Summe der Winkel eines Dreiecks
beträgt, ist der Winkel 
Der Sinussatz besagt, dass die Seite
wie folgt ist
Kosinussatz
Man könnte sagen, dass der Kosinussatz der Satz des Pythagoras für nicht rechtwinklige Dreiecke ist, da dieser Folgendes festlegt
Dies bedeutet, dass
In einem Dreieck ist das Quadrat jeder Seite gleich der Summe der Quadrate der beiden anderen Seiten minus dem doppelten Produkt des Produkts aus beiden Seiten und dem Kosinus des Winkels, den sie bilden.
Beispiel:
Wir sehen uns das Dreieck mit den Seiten
und den Winkeln
an. Berechne den Wert der Seite
.
Wir verwenden die Formel des Kosinussatzes, da diese die uns bekannten Seiten des Dreiecks mit dem gegenüberliegenden Winkel der unbekannten Seite in Beziehung setzt. Somit erhalten wir
Wir setzen die uns bekannten Werte ein und erhalten
Zum Schluss wenden wir die Quadratwurzel an und erhalten
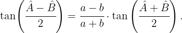
Tangenssatz
Der Satz des Tangens ist eine Formel, die die Längen der Seiten eines Dreiecks mit dem Tangens seiner Winkel in Beziehung setzt. Diese Formel ist eine Folge des Sinussatzes und der Sinusformel eines Halbwinkels. Die Formel lautet wie folgt
Beispiel:
Das folgende Dreieck hat die Seiten
sowie die Winkel
. Wir möchten nun den Wert von
berechnen.
Die Formel für den Tangenssatz setzt den gesuchten Wert mit den Seiten des Dreiecks in Beziehung. Nach Auflösen erhalten wir den gesuchten Wert
Wir müssen also nur den Wert von
ermitteln. Dies machen wir mit dem Kosinussatz. Wir haben also
Dies besagt uns, dass
Da
, gilt
Daraus folgt, dass
Unser Ergebnis ist schließlich

Mit KI zusammenfassen:








