Berechne die fehlende Seite des Dreiecks
Ein Dreieck
hat folgende Eigenschaften:
Die Hypotenuse:
.
Eine der Katheten: 
Löse das Dreieck.
Ein Dreieck
hat folgende Eigenschaften:
Die Hypotenuse:
.
Eine der Katheten: 
Löse das Dreieck.
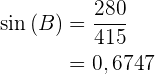
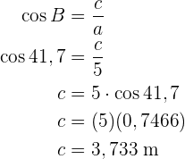
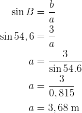
Das bedeutet, dass wir herausfinden müssen, wie lang die fehlende Seite ist und den Wert der Winkel berechnen müssen. Da das Dreieck rechtwinklig ist, ist der Winkel
.

Wir wenden den Sinus an und erhalten

Mit dem Arkussinus erhalten wir den Winkel. Sobald wir zwei Winkel haben, können wir direkt den letzten Winkel berechnen;

Nun haben wir zwei Winkel und berechnen den Letzten:

Beim Winkel
wenden wir den Kosinus an und ermitteln den Wert der Seite
:

So einfach konnten wir die fehlenden Daten ermitteln.
a berechnen, wenn b und c bekannt sind
Gegeben ist ein Dreieck
mit den Katheten

Löse das Dreieck.
Gegeben ist ein Dreieck
mit den Katheten

Löse das Dreieck.
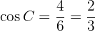
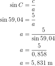
Wir müssen also die fehlenden Seiten und Winkel berechnen. Da das Dreieck rechtwinklig ist, haben wir auch den Winkel
.

Um den Winkel
zu bestimmen, berechnen wir seinen Tangens und wenden dann den Arkustangens an:

Wir wenden den Arkustangens an und erhalten
. So erhalten wir zwei Winkel und können den Dritten,
, direkt berechnen:

Als Letztes müssen wir noch die Seite
berechnen. Hierfür nutzen wir den Sinus und wenden ihn auf den Winkel
an. Danach berechnen wir
.

So einfach konnten wir die fehlenden Daten ermitteln.
Löse das Dreieck, wenn eine Seite und ein Winkel bekannt sind
Gegeben ist ein Dreieck
mit der Hypotenuse und einem Winkel

Löse das Dreieck.
Gegeben ist ein Dreieck
mit der Hypotenuse und einem Winkel

Löse das Dreieck.
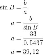
Wir müssen also die fehlenden Seiten und Winkel berechnen. Da das Dreieck rechtwinklig ist, haben wir auch den Winkel
.

Da zwei Winkel bekannt sind, können wir den Dritten,
, direkt berechnen:

Um die Seite
zu erhalten, wenden wir den Sinus auf den Winkel
an und ermitteln
:

Um die Seite
zu erhalten, wenden wir den Kosinus auf den Winkel
an und ermitteln
:

So haben wir die fehlenden Seiten und Winkel ermittelt.
Löse das Dreieck, bei dem eine Seite und ein Winkel gegeben ist
Gegeben ist ein Dreieck
mit einer Kathete und einem Winkel

Löse das Dreieck.
Gegeben ist ein Dreieck
mit einer Kathete und einem Winkel

Löse das Dreieck.
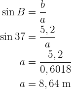
Wir berechnen die fehlenden Seiten und Winkel. Da es sich um ein rechtwinkliges Dreieck handelt, wissen wir bereits im Voraus, dass ein Winkel
ist.

Da zwei von drei Winkeln bekannt sind, können wir den fehlenden Winkel
direkt berechnen.

Um die Seite
zu erhalten, wenden wir den Sinus auf den Winkel
an und bestimmen
:

Um die Seite
zu erhalten, wenden wir den Kotangens auf den Winkel
an und bestimmen
:

Wir haben die fehlenden Seiten und Winkel berechnet.
Löse folgendes rechtwinkliges Dreieck
Gegeben ist ein Dreieck
mit der Hypotenuse und einem Winkel

Löse das Dreieck.
Gegeben ist ein Dreieck
mit der Hypotenuse und einem Winkel

Löse das Dreieck.
Wir ermitteln die fehlenden Seiten. Da es sich um ein rechtwinkliges Dreieck handelt, wissen wir bereits im Voraus, dass ein Winkel
ist.

Da zwei von drei Winkeln bekannt sind, können wir den fehlenden Winkel
direkt berechnen.

Um die Seite
zu erhalten, wenden wir den Sinus auf den Winkel
an und bestimmen
:

Um die Seite
zu ermitteln, wenden wir den Kosinus auf den Winkel
an und bestimmen
:

Wir haben die fehlenden Seiten und Winkel berechnet.
Berechne die fehlenden Daten des folgenden Dreiecks
Gegeben ist ein Dreieck
mit einer Kathete und einem Winkel

Löse das Dreieck.
Gegeben ist ein Dreieck
mit einer Kathete und einem Winkel

Löse das Dreieck.
Wir ermitteln die fehlenden Seiten und Winkel. Da es sich um ein rechtwinkliges Dreieck handelt, wissen wir bereits im Voraus, dass ein Winkel
ist.

Da zwei von drei Winkeln bekannt sind, können wir den fehlenden Winkel
direkt berechnen

Um die Seite
zu berechnen, wenden wir den Tangens auf den Winkel
an und bestimmen
:

Um die Seite
zu ermitteln, wenden wir den Sinus auf den Winkel
an und bestimmen
:

Wir haben die fehlenden Seiten und Winkel berechnet.
Zwei Seiten eines Dreiecks sind gegeben
Gegeben ist ein rechtwinkliges Dreieck
mit der Hypotenuse und einer Kathete

Löse das Dreieck.
Gegeben ist ein Dreieck
mit der Hyptenuse und einer Kathete

Löse das Dreieck.
Wir ermitteln die fehlenden Seiten und Winkel. Da es sich um ein rechtwinkliges Dreieck handelt, wissen wir bereits im Voraus, dass ein Winkel
ist.

Um den Winkel
zu ermitteln, berechnen wir als Erstes des Kosinus des Winkels mithilfe der Kathete und der Hypotenuse. So können wir dann die Umkehrfunktion, den Arkuskosinus, anwenden.

Wir wenden den Arkuskosinus an und erhalten
. Da wir zwei Winkel bereits haben, können wir den Dritten direkt berechnen

Um die Seite
zu ermitteln, wenden wir den Sinus auf den Winkel
und ermitteln
:

Wir haben die fehlenden Seiten und Winkel berechnet.
Löse folgendes Dreieck
Gegeben ist ein Dreieck
mit den zwei Katheten

Löse das Dreieck.
Gegeben ist ein Dreieck
mit den zwei Katheten

Löse das Dreieck.
Wir ermitteln die fehlenden Seiten und Winkel. Da es sich um ein rechtwinkliges Dreieck handelt, wissen wir bereits im Voraus, dass ein Winkel
ist.

Um den Winkel
zu ermitteln, berechnen wir zunächst seinen Tangens und nutzen hierfür die Katheten. Im Anschluss können wir den Arkustangens berechnen

Wir erhalten also
. Und da wir nun zwei Winkel haben, können wir den Dritten direkt berechnen

Um die Seite
zu ermitteln, wenden wir den Sinus auf den Winkel
an und bestimmen
:

Wir haben die fehlenden Seiten und Winkel berechnet.
Ein Baum und sein Schatten
Ein Baum mit einer Höhe von
wirft einen Schatten, der
lang ist.
Berechne den Höhenwinkel der Sonne in diesem Moment.
Ein Baum mit einer Höhe von
wirft einen Schatten, der
lang ist.
Berechne den Höhenwinkel der Sonne in diesem Moment.
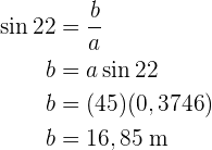
Zwischen dem Boden und dem Baum entsteht ein Winkel von
. Somit haben wir zwei Katheten. Außerdem ist der Höhenwinkel der Winkel, der am Scheitelpunkt entsteht, wo der Schatten aufhört.

Um also den Höhenwinkel
ermitteln zu können, berechnen wir zunächst seinen Tangens mithilfe der Katheten und wenden danach den Arkustangens auf unser Ergebnis an

Wir erhalten somit
.
Berechne den Abstand anhand der vorherigen Dreiecke
Ein Luftschiff fliegt in einer Höhe von
und bewegt sich in einem Winkel von
von einem Dorf weg.
Wie weit ist das Luftschiff vom Dorf entfernt?
Ein Luftschiff fliegt in einer Höhe von
und bewegt sich in einem Winkel von
von einem Dorf weg.
Wie weit ist das Luftschiff vom Dorf entfernt?
Mit den gegebenen Daten können wir den Sachverhalt grafisch darstellen.

Wir möchten herausfinden, wie weit das Luftschiff vom Dorf entfernt ist. Wir müssen also die Kathete
berechnen. Hierzu berechnen wir den Tangens des Winkels mit dem Wert
und nutzen zugleich die Katheten. Nun können wir
bestimmen:

Berechne den Radius des Kreises
Berechne den Radius eines Kreises, wenn eine Sehne
lang ist und der entsprechende Bogen
misst.
Der Mittelpunktswinkel misst genauso viel wie der Bogen, der ihn umspannt. Wir haben also

Um den Radius zu ermitteln (Seite
), wenden wir den Sinus auf den Winkel an, der
beträgt, indem wir die bekannte Kathete und
nutzen, um danach den Radius berechnen zu können:

Berechne die Fläche, wenn ein Winkel und 2 Seiten bekannt sind
Berechne die Fläche eines dreieckigen Grundstücks, dessen Seiten
und
lang sind und einen Winkel von
bilden.
Berechne die Fläche eines dreieckigen Grundstücks, dessen Seiten
und
lang sind und einen Winkel von
bilden.
Wir haben also den Winkel
und können uns folgende Grafik ansehen, die das Dreieck darstellt.

Wir sehen, dass die Höhe unser ursprüngliches Dreieck in zwei rechtwinklige Dreiecke teilt. Wir nehmen das rechte Dreieck, da wir mehr darüber wissen, um die Höhe und schließlich die Fläche zu berechnen. Für die Höhe nutzen wir den Sinus des Winkels
, die zu diesem Dreieck gehörende Kathete und die Höhe, die wir so schließlich berechnen können:

Die Höhe beträgt also
und wir können nun die Fläche berechnen:

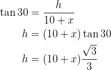
Berechne die Höhe des Baums
Berechne die Höhe des Baums mit folgenden Informationen: Von einem Punkt am Boden aus kann man sehen, dass sich die Krone um einen Winkel von
neigt und wenn wir uns
nähern, beträgt der Winkel
.
Zum besseren Verständnis versuchen wir, das Problem mit der folgenden Zeichnung darzustellen

Um das Problem zu lösen, berechnen wir zunächst den Tangens des Winkels von
und den zugehörigen Katheten. Danach berechnen wir den Tangens des Winkels von
mit den zugehörigen Katheten und bestimmen
für beide:


Wir erhalten ein Gleichungssystem

Wir lösen das System und erhalten
.
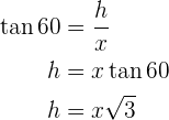
Radius berechnen
Die Länge der Seite eines regelmäßigen Achtecks beträgt
. Bestimme den Radius des Inkreises und den Radius des Umkreises.
Die folgende Grafik zeigt uns das Achteck sowie den Inkreis und den Umkreis.

Gegeben ist die Seite
. Außerdem stellt die Seite
den Radius des Inkreises dar und die Seite
den Radius des Umkreises. Wir wissen auch, dass der Winkel
beträgt und da es sich um ein Achteck handelt, haben wir
.
Radius des Inkreises
Wir berechnen den Tangens des Winkels
. Hierfür nehmen wir den Wert des Winkels sowie der Katheten und können so schließlich die Kathete
berechnen.

Radius des Umkreises
Wir berechnen den Sinus des Winkels
. Hierfür nutzen wir sowohl den Winkel also auch die Kathete und die Hyptenuse, um schließlich die Hypotenuse
ermitteln zu können.

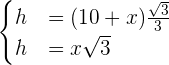
Berechne die Seite und das Apothema des Achtecks
Berechne die Länge der Seite und des Apothema eines regelmäßigen Achtecks, das in einem Kreis mit einem Radius von
liegt.
Mit der folgenden Grafik können wir uns das Problem besser vorstellen.

Der Radius entspricht der Seite
. Nun ist die Seite des Achtecks gegeben durch
sowie
.
Außerdem sehen wir, dass das Apothema
den Winkel
in zwei Teile teilt. Der Winkel beträgt
und da es sich um ein Achteck handelt, gilt
. Die Seiten
,
und
bilden zudem ein rechtwinkliges Dreieck.
Seite des Achtecks
Wir berechnen den Sinus des Winkels
. Hierfür nutzen wir den Wert des Winkels und die Hypotenuse (Radius des Achtecks) sowie die Kathete (die Hälfte der Seite des Achtecks). So können wir schließlich die Kathete
ermitteln.

Die Seite ist also
lang.
Apothema des Achtecks
Wir berechnen den Kosinus des Winkels
. Hierfür nutzen wir den Winkel und die Hypotenuse (den Radius des Achtecks) und die Kathete (das Apothema), um schließlich die Kathete
berechnen zu können.

Entfernung zwischen zwei Dörfern
Drei Dörfer
,
und
sind durch eine Straße miteinander verbunden. Die Entfernung von
nach
beträgt
und von
nach
sind es
. Außerdem beträgt der Winkel, den die Straßen bilden,
.
Wie weit liegen
und
auseinander?
Drei Dörfer
,
und
sind durch eine Straße miteinander verbunden. Die Entfernung von
nach
beträgt
und von
nach
sind es
. Außerdem beträgt der Winkel, den die Straßen bilden,
.
Wie weit liegen
und
auseinander?
Mit der folgenden Grafik können wir uns den Sachverhalt besser vorstellen.

Um dieses Problem zu lösen, zeichnen wir zusätzliche Angaben ein. Wir müssen als Erstes die Katheten des rechtwinkligen Dreiecks (grün eingezeichnet) berechnen und können so dann die Katheten des anderen Dreiecks bestimmen sowie die Hypotenuse (unser gesuchter Wert).
Die Katheten des rechtwinkligen Dreiecks (grün) berechnen
Wir berechnen den Sinus und den Kosinus des Winkels Calcularemos el seno y el coseno del ángulo
. Hierfür nehmen wir den Wert des Winkels und der Katheten sowie der Hypotenuse. So können wir schließlich die Katheten
und
berechnen.


Die Katheten des anderen Dreiecks und die Hypotenuse berechnen
Zur Berechnung der Hypotenuse wenden wir den Satz von Pythagoras an. Die Katheten, die wir hierfür nutzen, sind
und
.

Mit KI zusammenfassen:
