Der Kosinus des Winkels
ist das Verhältnis zwischen der dem Winkel angrenzenden Kathete und der Hypotenuse und wird mit
angegeben.

Das heißt, 
Der Kosinus eines Winkels in einem Einheitskreis ist gleich der Abszisse.

Um dies zu überprüfen, betrachten wir den Winkel
wie in der folgenden Abbildung. Wir sehen, dass
innerhalb eines Dreiecks liegt, dessen Seiten
und
sind, wobei
, da es sich um den Radius eines Einheitskreises handelt.
Per Definition ist der Kosinus
wie folgt gegeben

Das heißt,
.
Vorzeichen des Kosinus
Wie wir zuvor gesehen haben, ist der Kosinus eines Winkels
gleich der
-Achse oder der Abszisse eines Einheitsdreiecks. Das Vorzeichen des Kosinus entspricht also dem Vorzeichen der
-Achse. Im ersten und vierten Quadranten ist die
-Achse positiv, daher ist der Kosinus positiv, im zweiten und dritten Quadranten ist sie negativ, daher ist der Kosinus negativ.

Kosinuswerte einiger Winkel
![]() | ![]() | ![]() | ![]() | ![]() | ![]() | ![]() | ![]() |
|---|---|---|---|---|---|---|---|
![]() | ![]() | ![]() | ![]() | ![]() | ![]() | ![]() | ![]() |
Verhältnis zwischen Sinus und Kosinus
Der Kosinus eines Winkels steht mit dem Sinus desselben Winkels wie folgt in Beziehung:

Beispiel
Angenommen,
und
. Berechne den Sinus von
. Wir haben
Da
(4. Quadrant), ist der Kosinus positiv, der Sinus jedoch (y-Achse) es negativ, also müssen wir für den Sinus bei der vorherigen Berechnung das Minuszeichen nehmen. Das Ergebnis lautet

Weitere Kosinusidentitäten
Für die folgenden Identitäten ist die Verwendung von Radianten sehr nützlich, und in vielen Fällen werden Grad und Radianten synonym verwendet.
1 Kosinus des Komplementärwinkels.
.
Beispiel:
2 Kosinus des Supplementwinkels
Beispiel:
3 Kosinus von Winkeln, die sich um 180° unterscheiden
Beispiel:
4 Kosinus des Gegenwinkels
Beispiel:
5 Kosinus des negativen Winkels
Beispiel:
6 Kosinus eines Winkels größer als 360º
sei eine ganze Zahl, also
Beispiel:
Wir nehmen an, dass
. Wenn wir also den Kosinus von
berechnen möchten, gehen wir wie folgt vor
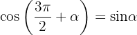
7 Kosinus von Winkeln, die sich um 90° unterscheiden
Beispiel:
8 Kosinus von Winkeln, die zusammen 270° ergeben
Beispiel:
9 Kosinus von Winkeln, die sich um 270º unterscheiden
Beispiel:
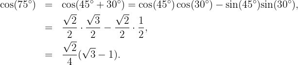
10 Kosinus einer Summe
Beispiel:
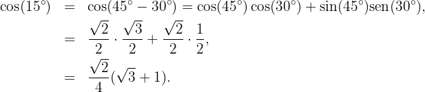
11 Kosinus einer Differenz
Beispiel:
12 Kosinus eines Doppelwinkels

Beispiel:

13 Kosinus des Halbwinkels

Beispiel:

14 Umwandlung einer Summe von Kosinuswerten in ein Produkt

Beispiel:

15 Umwandlung einer Kosinusdifferenz in ein Produkt

Beispiel:

16 Umwandlung eines Kosinusprodukts in Summen


Mit KI zusammenfassen:























