In diesem Artikel findest du eine Reihe von Aufgaben, die mithilfe der Trigonometrie gelöst werden sollen. Unter den Lösungen zu jeder Aufgabe sind alle Rechenschritte im Einzelnen beschrieben.
Bringe die Gradmaße von Bogenmaß in Gradmaß
Die Formel für die Umrechnung eines Winkels im Bogenmaß in Grad lautet wie folgt

Dabei ist
der Winkel im Bogenmaß. In Grad sind die Winkel daher:
Hier ist
Das Gradmaß ist daher
Um die Winkelminuten zu erhalten, multiplizieren wir die Dezimalstellen mit 60:
Um die Winkelsekunden zu erhalten, multiplizieren wir die Dezimalstellen erneut mit 60:
Daher lautet der Winkel in Gradzahlen 
Wie im vorherigen Beispiel, verwenden wir auch hier die Formel 
Auch hier verwenden wir dieselbe Formel: 
Gib die folgenden Winkel im Bogenmaß an:
Die Formel für die Umwandlung von Gradmaß in Bogenmaß ist der vorherigen sehr ähnlich:

Die Winkel sind:
Verwende die Formel
Der Winkel misst im Bogenmaß daher
.
Verwende die Formel
Der Winkel misst im Bogenmaß daher
.
Verwende die Formel
Hier kann nichts vereinfacht werden, da 127 eine Primzahl ist. Der Winkel misst im Bogenmaß daher
.
Gegeben ist
und
270^{\circ} < \alpha < 360^{\circ}[/latex]. Berechne die übrigen trigonometrischen Beziehungen für den Winkel [latex]\alpha[/latex].
Wir wissen, dass der Winkel im vierten Quadranten des Koordinatensystems liegt. Für diesen Quadranten gilt
, aber
. Folglich ist

Daraus erhält man

Da wir
und
schon bestimmt haben, sind die anderen Beziehungen einfacher zu ermitteln.

Man kann sowohl das Ergebnis des Kotangens als auch des Kosekans rationalisieren. Daher wäre ebenso korrekt:

Das Ergebnis erhalten wir, wenn wir die vorherigen Ergebnisse mit
multiplizieren. Somit vermeiden wir, dass Wurzeln im Nenner auftreten.
Gegeben ist
und
180^{\circ} < \alpha < 270^{\circ}[/latex]. Berechne die übrigen trigonometrischen Beziehungen für den Winkel [latex]\alpha[/latex].
Der Winkel
liegt im dritten Quadranten des Koordinatensystems. Daher wissen wird, dass 
Daraus ergibt sich

Da 
Daraus erhält man

Man kann erkennen, dass
auch eine korrekte Antwort wäre, wenn man das vorherige Ergebnis rationalisiert.
Wir wissen auch, dass
. Daraus ergibt sich

Die übrigen beiden Beziehungen können nun einfacher ermittelt werden:

und

Gegeben sind
und
0 < \alpha < \pi /2[/latex]. Berechne die übrigen trigonometrischen Beziehungen für den Winkel [latex]\alpha[/latex].
Der Winkel liegt im Bogenmaß vor. Außerdem liegt er im ersten Quadranten des Koordinatensystems, daher ist
und
.
Die Beziehung von Sekans und
kann über Pythagoras berechnet werden:

Außerdem ist
, da
und
. Folglich:

Ebenso ist

Da
ist, können wir schließen, dass

Die übrigen beiden Beziehungen können nun einfacher ermittelt werden:

und

Berechne den Sinus, Kosinus und Tangens für die folgenden Winkel:
Wir gehen davon aus, dass Sinus und Kosinus der bekanntesten Winkelmaße (
, etc.) bereits bekannt sind:
Um den Sinus des Winkels zu berechnen, machen wir uns die Eigenschaften zur Verschiebung von Sinus- und Kosinusfunktionen zunutze. Wir können erkennen, dass
Ähnlich ist,
Zuletzt ist 
Wie im vorherigen Fall machen wir uns die Eigenschaften zur Verschiebung von Sinus- und Kosinusfunktionen zunutze. Wir können erkennen, dass
Ähnlich ist,
Zuletzt ist 
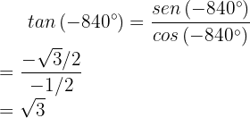
Ermittle die trigonometrischen Beziehungen der folgenden Winkel:
Zuerst müssen wir einen Winkel finden, der zwischen
und
liegt und gleich
ist. Dafür teilen wir 2655 durch 360. Der Rest ist der gesuchte Winkel:
, wobei der Rest 135 ist. Daher ist
Ähnlich ist
Zuletzt ist 
In diesem Fall verhält es sich ähnlich: Wir teilen zuerst 840 durch 360 und verwenden den Rest:
Daher ist
. Folglich:
Ähnlich ist,
Zuletzt ist 
Gegeben sei das rechtwinklige Dreieck ABC, dessen rechter Winkel bei
liegt. Wir wissen, dass
und
misst. Berechne die beiden anderen Winkel und Seitenlängen.
Sieh dir die Skizze des Dreiecks an:

Hier kannst du die noch fehlenden Maße erkennen (die Seiten
,
und der Winkel
). Am einfachsten lässt sich der Winkel
berechnen, da
ist. Daher ist

Da das Dreieck rechtwinklig ist, können wir trigonometrische Funktionen anwenden, um die Längen der übrigen Seiten zu bestimmen. Wir wissen, dass

Daher ist

Da
, ist folglich

Damit haben wir alle fehlenden Maße gefunden.
Gegeben sei das rechtwinklige Dreieck ABC, dessen rechter Winkel bei
liegt. Wir wissen, dass
und
misst. Berechne die beiden anderen Winkel und Seitenlängen.
Sieh dir die Skizze des Dreiecks an:

Hier kannst du die noch fehlenden Angaben sehen (die Seiten
,
und der Winkel
). Wie im vorherigen Beispiel lässt sich der Winkel bei
am einfachsten berechnen, da
. Daher ist

Dieses Mal liegt die Hypotenuse nicht vor. Daher müssen wir den Tangens verwenden:

Daher ist

Da
, ist folglich

Damit haben wir alle fehlenden Maße gefunden.
Gegeben sei das rechtwinklige Dreieck ABC, dessen rechter Winkel bei
liegt. Wir wissen, dass
und
misst. Berechne den spitzen Winkel und die fehlende Seitenlänge.
Sieh dir die Skizze des Dreiecks an:

Gescuht sind die Kathete
und die Winkel
und
. Nach Pythagoras wissen wir, dass
. Daher ist

Folglich ist
. Außerdem ist

Daher ist
. Da die Winkelsumme
ergibt, ist:

Damit haben wir alle fehlenden Maße gefunden.
Gegeben sei das rechtwinklige Dreieck ABC. Wir wissen, dass
,
und
misst. Ermittle die Winkel und die fehlenden Seiten.
Diesmal ist das Dreieck nicht rechtwinklig. Sieh dir das Dreieck auf der Skizze an:

Es fehlen noch die Winkel
,
und die Seite
. Da das Dreieck nicht rechtwinklig ist, können wir des Satz des Pythagoras nicht anwenden. Den Kosinussatz allerdings schon:

Dort sind alle Maße enthalten. Wir haben

Daher ist
. Mithilfe des Sinussatzes können wir nun alle weiteren Winkel berechnen:

Daraus ergibt sich

Daher ist
.
Zuletzt ist

Somit haben wir alle Maße des Dreiecks bestimmt.
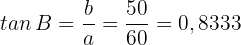
Ein 50 Meter hoher Baum wirft einen 60 Meter langen Schatten. Ermittle den Winkel, in dem die Sonne in diesem Moment steht.
Der Baum (Seite
) und der Schatten (Seite
) bilden das folgende Dreieck:

Wir sehen, dass die Seite
nicht berechnet werden muss. Wir suchen den Winkel
, dessen Tangens wie folgt gegeben ist:

Mithilfe des Arcotangens erhalten wir

Wir haben den gesuchten Winkel gefunden.
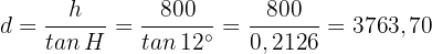
Eine Drohne fliegt in einer Höhe von 800 Metern. Sie filmt ein Dorf mit einem Vertiefungswinkel von 12°. Wie weit muss die Drohne in gerader Linie unter Beibehaltung seiner Höhe fliegen, um genau über dem Dorf zu sein?
Zwischen dem Dorf und der Drohne liegt das folgende Dreieck:

Wir benennen die unbekannte Strecke mit
. Die Höhe, in der die Drohne fliegt, bezeichnen wir mit
. Der Vertiefungswinkel stimmt mit dem Winkel
überein.
Der Tangens von
kann wie folgt berechnet werden:

Daher ist

Die Drohne muss also 3763,70 Meter (bzw. 3,764 km) fliegen.
Ermittle den Radius eines Kreises mit einer Kreissehne von 24,6 Metern und einem Kreisbogen von 70°.
Sieh dir die Skizze an:

Wir können sehen, dass ein rechtwinkliges Dreieck mit den Punkten
entsteht, in dem
der Mittelpunkt des Kreisbogens ist.
Der Radius
ist die Hypotenuse des Dreiecks. Die Länge von
ist die Hälfte der Kreissehne, das heißt,

und der Winkel
misst
(die Hälfte des Kreisbogens). Wir wissen, dass
,
da
die Hypotenuse ist. Folglich ist

Daher misst der Radius 21,44 Meter.
erechne den Flächeninhalt eines Dreiecks mit den beiden Seitenlängen
und
, die einen Winkel von 70° einschließen.
Diese Aufgabe kann über mehrere Wege gelöst werden. Wir können dafür die Heronsche Flächenformel verwenden oder versuchen, die Höhenmaße herauszufinden. Sieh dir zuerst die Skizze des Dreiecks an:

Darin sind
,
und
.
Wenn wir senkrecht zu
die Höhe einzeichnen, bildet sich ein rechtwinkliges Dreieck, in dem
die Kathete ist und
die Hypotenuse. Außerdem ist der Sinus von 

Daher ist

Die Fläche misst also

Berechne die Höhe eine Baumes. Von einem Punkt aus der Umgebung aus kann man seine Krone aus einem Winkel von 30° über der Erde betrachten. Wenn man sich ihm
nähert, betrachtet man seine Krone aus einem Winkel von 60° über der Erde.
Sieh dir die Skizze an zur Aufgabenstellung an:

Diese Aufgabe kann über mehrere Wege gelöst werden. Eine Möglichkeit ist es, die Strecke
des Dreiecks
zu berechnen; anschließend verwenden wir die Strecke, um die Höhe herauszufinden.
Für die Berechnung des Dreiecks wissen wir, dass der Winkel
des Dreiecks 
ist.
Daher können wir nun den Sinussatz verwenden. Zuerst benötigen wir aber den Winkel
:

Nach Sinussatz erhalten wir

Dabei ist

Daher ist

Jetzt können wir die Höhe berechnen. Wir können erkennen, dass das Dreieck
rechtwinklig ist. Folglich ist

Folglich ist

Der Baum ist also 8,66 Meter hoch.
Ein regelmäßiges Achteck hat eine Seitenlänge von 12 Metern. Ermittle die Radien des Inkreises und des Umkreises.
Sie dir das Achteck in der Skizze an:

Zwischen den Punkten
bildet sich ein rechtwinkliges Dreieck, dessen Punkt
der Mittelpunkt zu jeder Seite des Achtecks ist. Sieh dir das rechtwinklige Dreieck im Detail an:

Wir wissen, dass der Winkel
hat. Der Winkel
des rechtwinkligen Dreiecks hat also
. Außerdem ist die Seite
.
Die beiden noch fehlenden Seiten sind gleich dem Radius des In- bzw. Umkreises. Für Seite
erhalten wir

Wir erhalten

Der Radius
des Inkreises misst also 14,49 Meter.
Die Seite
erfüllt

Somit ist
. D.h. der Radius
des Umkreises beträgt 15,68 Meter.
Drei Städte
liegen dreiecksförmig nebeneinander und werden durch geradlinige Wege verbunden. Wenn die Strecke von
nach
12 km beträgt, beträgt die Strecke von
nach
10 km und der Winkel
hat
. Ermittle den Abstand zwischen den Städten
.
Sieh dir das Dreieck in der Skizze an:

Um die Seite
zu berechnen, kann der Kosinussatz angewendet werden:

Führe die Rechnung weiter und du erhältst

Somit haben wir den Anbstand zwischen den Städten
gefunden.
Peter lässt einen Drachen mit einer 40 m langen Schnur steigen. Wenn der Steigungswinkel
beträgt, wie hoch fliegt der Drache über dem Boden?
Die Schnur des Drachen (Seite
) und die Höhe des Drachen über dem Boden (Seite
) bilden ein rechtwinkliges Dreieck:

Der Sinus des Winkels
kann wie folgt ausgedrückt werden:

Wir stellen nach
um und erhalten

Die gesuchte Höhe ist damit gefunden.
Ein Gebäude wirft einen 60 m langen Schatten, wenn die Sonne in einem Winkel von
steht. Wie hoch ist das Gebäude?
Das Gebäude (Seite
) und der Schatten (Seite
) bilden das folgende rechtwinklige Dreieck:

Der Tangens des Winkels
kann wie folgt ausgedrückt werden:

Wir stellen nach
um und erhalten

Die gesuchte Höhe ist damit gefunden.
Beweise die trigonometrische Gleichheit der folgenden Gleichungen:
Schreibe zuerst
und
der Definition nach in Sinus und Kosinus um:
Bilde die Bruchsumme anhand des gemeinsamen Nenners:
Wir sehen, dass
ist, daher ist
Dies sind Definitionen von
und
. Folglich ist 
Hier bietet es sich an, auf der rechten Seite der Gleichung zu beginnen:
Wir faktorisieren
Aus
ergibt sich nach Pythagoras
, daher erhalten wir
Somit ist die Aufgabe bewiesen.
Hier bietet es sich an, auf der rechten Seite der Gleichung zu beginnen, indem man
faktorisiert:
Wir sehen, dass
ist, daher ist
Somit ist die Aufgabe bewiesen.
Beweise die trigonometrische Gleichheit der folgenden Gleichungen:
Hier ist es am Einfachsten, auf der linken Seite der Gleichung zu beginnen und die Beziehungen mit Sinus und Kosinus auszudrücken:
, da
aufgehoben wird. Diese Aufgabe konnte in nur einem Schritt bewiesen werden.
Hier beginnen wir wieder auf der linken Seite und drücken die Beziehungen mit Sinus und Kosinus aus:
Wir bringen die Brüche auf einen gemeinsamen Nenner und summieren sie:
, da
. Somit ist die Aufgabe bewiesen.
Mit KI zusammenfassen:


