Kapitel
Dies sind Gleichungen, in denen die Unbekannten als Teil der Argumente eines oder mehrerer trigonometrischer Verhältnisse erscheinen. Da diese periodisch sind, gibt es normalerweise unendlich viele Lösungen, wenn die Lösung nicht auf ein bestimmtes Intervall beschränkt ist. Die allgemeine Lösung einer trigonometrischen Gleichung enthält eine ganze Zahl
. Das heißt,
.
Um eine trigonometrische Gleichung zu lösen, werden wir die notwendigen Umformungen vornehmen, um mit einer einzelnen trigonometrischen Funktion zu arbeiten, indem wir die grundlegenden trigonometrischen Beziehungen verwenden.
Grundlegende trigonometrische Gleichungen
Ermittle die allgemeine Lösung der folgenden trigonometrischen Gleichungen:
1
Lösung: Aus der Grafik der Sinusfunktion im Intervall
(Abbildung 1) geht hervor, dass die Funktion 0 wird bei den Werten
Da die Funktion
die Periode
hat, erhalten wir
Somit lautet die allgemeine Lösung der Gleichung, vereinfacht geschrieben, 

Abbildung 1. Nullstellen der Funktion
im Intervall 
2
Lösung: Aus der Grafik der Kosinusfunktion im Intervall
(Abbildung 2) geht hervor, dass die Funktion 0 wird bei den Werten
Da die Funktion die Periode
die Periode
hat, erhalten wir
Somit lautet die allgemeine Lösung der Gleichung, vereinfacht geschrieben, 

Abbildung 2. Nullstellen der Funktion
im Intervall 
3
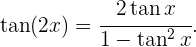
Lösung: Die Tangensfunktion kann auch wie folgt geschrieben werden:
Deshalb gilt
Dies haben wir schon einmal berechnet und die Lösung lautet
Die Lösung der Gleichung
ist 
4
Lösung: Wir wissen, dass für alle
gilt, dass
Außerdem gilt für alle
, dass
Das heißt, die Funktion
ist die Umkehrfunktion der Funktion
im Intervall
Damit erhalten wir
Aus der Periodizität ergibt sich, dass die Lösung der Gleichung wie folgt lautet:
5
Lösung:
Genau wie bei der vorhergehenden Gleichung, ist die Funktion
die Umkehrfunktion der Funktion
im Intervall
Damit erhalten wir
Somit ist die Lösung der Gleichung
.
6
Lösung: Ähnlich wie bei den Funktionen
und
ist die Funktion
die Umkehrfunktion der Funktion
im offenen Intervall
. Somit erhalten wir
Die Lösung der Gleichung ist
da die Funktion
die Periode
hat.
7
Lösung: Unter Verwendung der Funktion
erhalten wir
Somit lautet die allgemeine Gleichung 
8
Lösung: Unter Verwedndung der Funktion
erhalten wir
Somit lautet die allgemeine Gleichung 
9
Lösung: Unter Verwedndung der Funktion
erhalten wir
Somit lautet die allgemeine Gleichung 
Hinweis: Die Lösungen trigonometrischer Gleichungen werden häufiger in Bogenmaß als in Grad angegeben, können aber mit der folgenden Formel in Grad umgerechnet werden:
Die Lösung der ersten Gleichung in Grad lautet zum Beispiel
Das heißt: 
Beispiele für das Lösen trigonometrischer Gleichungen
Im Folgenden werden wir verschiedene trigonometrische Gleichungen mit höherem Schwierigkeitsgrad und deren Lösung betrachten.
1
Lösung: Die gängigsten Winkel der grundlegenden trigonometrischen Funktionen besagen, dass im Intervall
,
Und somit
Das heißt 
Somit ist die allgemeine Lösung der trigonometrischen Gleichung
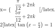
Lösung: Die gängigsten Winkel der grundlegenden trigonometrischen Funktionen besagen, dass 
Es gilt also 
Somit lautet die Lösung
,
da
die Periode
hat.
3
Lösung: Unter Verwendung der trigonometrischen Beziehungen
erhalten wir
Und
Somit ist 
Die erste Gleichung wurde bereits oben gelöst. Die Lösung lautet
. Die Gleichung
hat keine Lösung, da
jedoch ist
nicht in der Definitionsmenge der Funktion
enthalten und es existiert somit auch keine Lösung. Schließlich lautet die Lösung der Gleichung
4
Lösung: Wir faktorisieren und erhalten
Somit gilt:
und 
im Intervall 
Schließlich ist die Lösung 
5
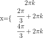
Lösung: Um diese Aufgabe zu lösen, wenden wir Folgendes an
Somit erhalten wir
Und wenn:
Deshalb gilt
Die erste Gleichung haben wir bereits gelöst. Ihre Lösung ist
Nun lösen wir die zweite Gleichung

Schließlich lautet die allgemeine Lösung der Gleichung
6
Lösung:
Unter Verwendung von 
erhalten wir
Nach der gleichen Argumentation wie in der ersten Übung ergibt sich dann
und 
Die Lösung der Gleichung lautet
Mit KI zusammenfassen:








