„Die Mathematik ist das Instrument, welches die Vermittlung bewirkt zwischen Theorie und Praxis, zwischen Denken und Beobachten.“
– David Hilbert (1862-1943), deutscher Mathematiker
Mathematik zu lernen ist wie Klavier- oder Gitarrenunterricht: es ist nichts zum ausdenken, statt nur auswendig zu lernen, ist es besser, den Stoff zu verstehen und durch logisches Denken Dinge zu erschließen.
Dazu gehört zu verstehen, wie man eine Gleichung auflöst, eine Differentialgleichung aufstellt, wie man den euklidischen Algorithmus verwendet, wie man eine Tabelle der Variation einer linearen Funktion erstellt, usw.
Natürlich erfordern Mathematikkurse das Wissen über das kleine 1x1 und bestimmte Formeln, besonders der Geometrie oder Wahrscheinlichkeit (das berühmte Gesetz der großen Zahlen und die binomischen Formeln sind kein angeborenes Wissen).
Aber um eine Funktion zu analysieren - die Grenzpunkte von Funktionen zu bestimmen, eine logarithmische oder exponentielle Funktion zu untersuchen -, eine integrale Berechnung durchzuführen, etc. ist es besser, die mathematische Sprache zu verstehen.
Das verhält sich wie beim Englisch- oder Französischkurs: Man lernt Vokabeln und Grammatik, aber man muss auch verstehen, wie man einen Satz zusammensetzt.
Bereits in der Unter- und Mittelstufe behandelt man ein Thema, das nicht bei allen Schüler beliebt ist: die linearen Funktionen.
Da diese Funktionen in den Lehrplänen der Schule und im Programm für den Hochschulabschluss enthalten sind, ist es wichtig, sie genau zu verstehen.
Wenn Dir unser Artikel nicht ausreicht, dann wirst Du sicher in den Reihen unserer Nachhilfelehrer auf Superprof mit Privatunterricht zu Hause (z.B. Mathe Nachhilfe Köln) oder mit Nachhilfe Mathe online per Webcam fündig!
Lineare Funktion - Erklärung und Formel
Eine lineare Funktion ist eine Funktion, die mit einem beliebigen Wert x aus ℝ - der realen Zahlenskala - die Formel ax + b bildet, wobei a und b relative Zahlen erhalten.
Man stellt diese Funktion durch die folgende Gleichung dar: f : x --> ax + b, oder f(x) = ax + b.
Die Zahl b sollte nicht 0 sein, warum?
Denn wenn b = 0 ist, hat man f(x) = ax und dann spricht man in diesem Fall von einer homogenen linearen Funktion.

Und wenn a gleich Null ist, dann sagt man, dass die Funktion f(x) = b konstant ist (und affin): Tatsächlich haben alle Punkte der gleichen Gerade die gleiche Ordinate (b), und die Kurve ist parallel zur horizontalen Achse eines Koordinatensystems.
Dies sind zwei Besonderheiten der linearen Funktion.
Die Variable b stellt auf einem grafischen Koordinatensystem die Ordinate am Ursprung dar: Es ist der Punkt auf dem Koordinatensystem, an dem die Kurve die Achse der Ordinaten (y) in ihrem Abstand vom Ursprung (0) schneidet.
Die Variable a wird als „Leitkoeffizient“ bezeichnet: Es ist der Grad der Steigung der Kurve, der aus der x-Achse im Diagramm berechnet werden kann.
Je höher die Variable a, desto steiler ist die Steigung der Kurve, ob negativ oder positiv.
Eine lineare Funktion ist daher eine Reihe von Werten, die die Gleichung y = ax + b über das gegebene Intervall lösen und deren grafische Darstellung in Form einer schrägen, zunehmenden oder abnehmenden Gerade erfolgt.
Daher ergibt sich, dass f die Funktion ist, die bei der Variable x der Formel ax + b : x entspricht, woraus sich f(x) = ax + b ergibt.
Wenn zum Beispiel f(x) = 3x ist, erhält man eine Gerade die steigend ist und die y-Achse am Punkt 0 überschreitet, wenn f(x) = -x, dann fällt diese Gerade.
Eine weitere Besonderheit: Wenn f(x) = -5, dann ist die Gerade konstant und kreuzt die y-Achse im Punkt -5.
Um das Bild eines realen x zu berechnen, genügt es daher, x mit dem Koeffizienten a zu multiplizieren, dann die Konstante b hinzuzufügen, und dann kann man die Funktion auf einem Koordinatensystem einzeichnen.
Auch in der Geometrie müsste ihr mathematische Formeln zeichnen können, es ist also besser, man hat es gleich zu Anfang verstanden.
Grafische Darstellung einer linearen Funktion
Ich erinnere mich gut daran, dass ich meine gute akademische Leistung in der Schule nicht der Mathematik zu verdanken habe. Besonders die Kurvendiskussion sorgte für Kopfschmerzen: es dauerte eine ganze Weile, bis ich alles begriff und mir einen Überblick verschafft hatte.
Um zu lernen, wie man eine mathematische Funktionsgleichung in ein Koordinatensystem zeichnet, bedarf es eines guten Lehrers, der euch mit Geduld alles wichtige erklärt.

An sich ist es jedoch einfach, könnte man sagen. Es sei denn, man versteht es nicht…
Wie oft saß ich mit meinen Freunden zusammen, die mir alle erklären wollten, die Aufgaben seien einfach. Aber wenn man die Grundlagen nicht verstanden hat, dann wird es immer schwerer. Umso wichtiger, dass man sich eine gute Basis schafft.
Um eine lineare Funktion zu zeichnen, nehmen wir ein Beispiel:
Die Funktion f sei definiert durch f(x) = 2x - 3.
Dabei steht f(x) in der Formel ax + b, mit a = 2 und b = -3 : es ist also eine lineare Funktion.
Jetzt möchte man die Geradengleichung y = 2x - 3 zeichnen. Da es sich um eine Gerade handelt, muss man nur zwei Punkte finden, um sie zu zeichnen.
Also sucht man nach drei beliebigen und leicht lesbaren Werten von x auf der Geraden suchen, um f(x) zeichnen zu können.
- Für x = 0, f(x) = -3, gennant Punkt A
- Für x = 2, f(x) = 1, gennant Punkt B
Man erhält die Punkte A und B mit den Koordinaten A (0; -3) und B (2; 1).
Zur Sicherheit, um Fehler zu vermeiden, eignet es sich, einen dritten Punkt zu suchen und zu überprüfen, d.h. x = -2, f(x) = -7. Indem man nun jeden Punkt in das Koordinatensystem zeichnet und miteinander verbindet, kann man also diese lineare Funktion y = 2x -3 zeichnen.
Andere Methode :
Ausgehend von der y-Achse bei -3 geht man 4 Einheiten auf der y-Achse nach oben und 2 Einheiten nach rechts auf der x-Aches, oder man geht 6 Einheiten auf der y-Achse nach oben und 3 Einheiten auf der x-Achse nach rechts.
Wenn x um eine Einheit steigt, erhöht sich y um zwei Einheiten, also a = 2.
Dabei erhält man folgende Koordinaten: A (0; -3), B (2; 1), C (3; 3), was ausreicht, um die Gerade d1 zu zeichnen, wobei jeder Punkt auf der Gerade auf die Gleichung y = 2x - 3 zutrifft.
Entdeckt, was es mit der Algebra auf sich hat!
Wie bestimmt man eine lineare Funktion?
Die Bestimmung einer Funktion f ist einfach, wenn man die Werte von a und b kennt. In unserem Beispiel f(x) = 2x - 3.
Wir wissen, dass f(2) = 1, dass f(-2) = -7 und dass f(1) = -1.

Um unsere Funktion zu bestimmen, können zwei Methoden verwendet werden: man kann sie berechnen oder auf dem Koordinatensystem ablesen.
Ablesen einer Funktion aus der grafischen Darstellung
Dies ist die einfachste Methode, aber leider wird nicht in jeder Aufgabe ein Koordinatensystem angeboten.
Um f(x) = 2x - 3 grafisch zu bestimmen, genügt es zu sehen, an welchen Stellen die Gerade die x- und y-Achse schneidet. In unserem Fall finden wir unsere Punkte A (0; -3), B (2; 1) und C (3; 3).
Man kann daraus schließen, dass die Gerade eine Gleichung vom Typ y = 2x - 3 ist.
Komplizierter wird es bei einer Logarithmusfunktion…
Bestimmen einer Funktion durch Berechnung
Wenn man kein Koordinatensystem zur Verfügung hat oder der Lehrer explizit nach der Berechnung fragt, was macht man dann?
Es gibt eine Zauberformel, hier ist sie.
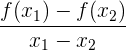
Wenn f eine lineare Funktion ist, dann gibt der sogenannte Differentialquotient an, wie stark sich der Funktionswert einer Funktion f(x) ändert, wenn sich x von einem Punkt x1auf einen Punkt x2 ändert. Dabei ist dieser Quotient die Steigung der Tangente an der Stelle x.
Und diesen Differentialquotienten kann man mit den Variablen x1 und x2 folgendermaßen berechnen:

Jetzt hat man x1 = 0 und x2= 2, mit f(x1) = -3 und f(x2) = 1.
Durch das Ersetzen der Variablen erhält man a = (-3 - 1) / (0 - 2) = -4 / - 2, d.h. a = 2.
Dank einiger Tipps zum Kopfrechnen kann man das auch ohne Taschenrechner berechnen.
Wie interpretiert man die Vorzeichen einer linearen Funktion?
Jetzt wo wir gelernt haben, wie man eine lineare Funktion berechnet und zeichnet, fehlt noch das Wissen, wie man die Vorzeichen von f interpretiert.
Jeder, der an einer Schule Matheunterricht hatte, der wird das kennen: die Vorzeichen.
Wir erinnern uns, dass, wenn a positiv ist, die Funktion f steigt und umgekehrt.

Wenn x1<x2, dann ax1<ax2 also ax1 + b < ax2 + b und f(x1) < f(x2). In diesem Fall ist -2 weit unter 0 und -7 unter -3.
Unsere Funktion f(x) = 2x - 3 nimmt daher zu. Die Werte von f(x) gehen daher von negativ zu positiv, indem sie den Punkt 0 auf der y-Achse - 3 überqueren.
Die Gleichung ax + b = 0 (mit a ≠ 0) ist besonders, da x = ((- b) / a) ist. Die Funktionsgleichung y = ax + b schneidet die y-Achse an der Koordinate ((-b)/a ; 0).
Aus b = - 3 und a = 2 kann man schließen, dass das Vorzeichen von f an der Koordinate (2/3 ; 0) positiv wird.
Um die Variation von f(x) zu untersuchen, ist es notwendig, die Herleitung in der Mathematik zu kennen: f ist auf ℝ ableitbar und für alle x ∈ ℝ, f'(x) = 2x - 3 = 2. f' (x) ist daher positiv.
Die Vorzeichen von f werden daher sein: negativ von - ∞ bis Punkt 2/3, und positiv von Wert 2/3 bis +∞.
Bei Unsicherheiten ist Mathe Nachhilfe eine gute Option, um sich mit den Definitionen der Mathematik auseinanderzusetzen.