Von einem zusammengesetzten Dreisatz (oder auch Kettensatz) spricht man, sobald drei oder mehr Größen miteinander in Verbindung gesetzt werden, um eine weitere Variable zu berechnen. Die Aufgaben können dabei sowohl aus proportionalen als auch aus antiproportionalen Zuordnungen bestehen.
Ein zusammengesetzter Dreisatzbesteht aus mehreren einfachen Dreisätzen, die successive hintereinander angewandt werden.
Zusammengesätzte Dreisätze können in drei Arten unterteilt werden: Dreisätze rein proportionaler Zuordnungen, Dreisätze rein antiproportionaler Zuordnungen oder gemischte Dreisätze mit proportionalen und antiproportionalen Zuordnungen.
Wie wird ein zusammengesetzter Dreisatz aufgestellt?

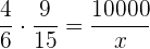
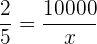
Rechenbeispiel: mehrfacher Dreisatz
Neun Wasserhähne, die
Stunden pro Tag laufen, verbrauchen eine Wassermenge von
€. Wie hoch sind die Kosten, die für
offene Wasserhähne in
Stunden anfällt?
Jemehr Wasserhähne, desto mehr Kosten 
Je mehr Stunden, desto mehr Kosten 
Wasserhähne 
Stunden 
€
Wasserhähne 
Stunden 
€

€
Dreisatz mit antiproportionalen Zuordnungen

Rechenbeispiel: mehrfacher Dreisatz mit antiproportionalen Zuordnungen
Bauarbeiter, die
Studen täglich arbeiten, bauen eine Mauer innerhalb von
Tagen.
Wie lange benötigen
Bauarbeiter, die
Stunden täglich arbeiten für eine ähnliche Mauer?
Je weniger Bauarbeiter, desto mehr Tage
Je mehr Stunden, desto weniger Tage
Bauarbeiter 
Stunden 
Tage
Bauarbeiter 
Stunden 
Tage
Tage
Zusammengesetzter Dreisatz mit gemischten Zuordnungen (proportional und antiproportional)

Rechenbeispiel:
Wenn
Bauarbeiter innerhalb von
Tagen und einer täglichen Arbeitszeit von
Stunden eine
m hohe Mauer bauen,
wie lange würden
Bauarbeiter mit einer täglichen Arbeitszeit von
Stunden benötigen, um die übrigen
m der Mauer zu bauen?
Je mehr Bauarbeiter, desto weniger Tage
Je mehr Stunden, desto weniger Tage
Je mehr Meter, desto mehr Tage 
Bauarbeiter 
Tage 
Stunden 
m
Bauarbeiter 
Tage 
Stunden 
m

Mit KI zusammenfassen:









Ich habe den Kettensatz mit seinerzeit in der Handelsakademie gelernt . Er wurde vertikal angeordnet, was sehr übersichtlich war und man konnte es kaum verfehlen, die „richtigen“ Glieder zu verknüpfen. Ich erinnere mich nicht mehr genau daran, aber oft waren es auch 20 „Glieder“ in der vertikalen Anordnung. Ich fand diese Anschreibung viel einfacher.