Eine Wurzel ist ein Ausdruck der Form
, bei dem
und
. Wenn
außerdem eine gerade Zahl ist, kann
nicht negativ sein
.
Die Zahl
ist zum Beispiel eine gerade Zahl. Deshalb ist
; während
.
Und da die Zahl
ungerade ist, ist
und
. Das heißt, die Kubikwurzel ist für jede reelle Zahl definiert.
Bestandteile einer Wurzel

Potenzen und Wurzeln
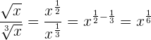
Eine Wurzel kann als Potenz ausgedrückt werden:
Beispiel:
Wir schreiben die Zahl
als Potenz: 
Der Wurzelexponent der Wurzel
wird zum Nenner und der Exponent des Radikanden
wird zum Zähler. Wir berechnen:
Gleiche Wurzeln
Unter Verwendung der Exponentenschreibweise für Brüche und der Eigenschaft von Brüchen, die besagt, dass der Bruch äquivalent ist, wenn Zähler und Nenner mit der gleichen Zahl multipliziert werden, gilt:
Multipliziert oder dividiert man den Wurzelexponenten und den/die Exponenten des Radikanden durch dieselbe natürliche Zahl, so erhält man eine weitere gleiche Wurzel.
Beispiel
Vereinfachung von Wurzeln
Wenn es eine natürliche Zahl gibt, durch die der Wurzelexponent und der Exponent (oder die Exponenten) des Radikanden dividiert werden können, erhält man eine vereinfachte Wurzel.
Beispiele
1 Vereinfache 
Wir schreiben
als Potenz: 
Um die Wurzel zu vereinfachen, dividieren wir sowohl den Wurzelexponenten
als auch den Exponenten des Radikanden
durch 
2 Vereinfache 
Um die Wurzel zu vereinfachen, dividieren wir sowohl den Wurzelexponenten
als auch die Exponenten des Radikanden
durch 
Gemeinsamer Wurzelexponent
Um zwei oder mehr Wurzeln auf einen gemeinamen Wurzelexponenten zu bringen, sind folgende Schritte nötig:
1 Wir ermitteln das kleinste gemeinsame Vielfache, das dann der gemeinsame Wurzelexponent ist
2 Wir dividieren das kleinste gemeinsame Vielfache durch jeden der Wurzelexponenten und multiplizieren jedes Ergebnis mit den entsprechenden Exponenten
Beispiel:
Wir ermitteln den gemeinsamen Wurzelexponenten:
Als Erstes bestimmen wir das kgV der Wurzelexponenten:
und 
Wir dividieren den gemeinsamen Wurzelexponenten
durch jeden der Wurzelexponenten
und
und multiplizieren jedes Ergebnis mit den entsprechenden Exponenten
Wir rechnen mit den Potenzen
Teilweises Wurzelziehen
Um Faktoren aus einer Wurzel zu extrahieren, wird der Radikand in Faktoren zerlegt. Wenn:
Ein Exponent des Radikanden ist kleiner als der Wurzelexponent
Der entsprechende Faktor bleibt unter dem Radikanden.
Beispiele:
1 
2 
Ein Exponent des Radikanden ist gleich dem Wurzelexponenten
Der entsprechende Faktor verlässt den Radikanden.
Beispiele:
1 
Wir zerlegen die Zahl
in Faktoren. Da die
in dieselbe Potenz wie der Wurzelexponent erhoben wird, können wir die
aus dem Radikanden extrahieren
2 
Wir zerlegen die Zahl
in Faktoren. Da die
in dieselbe Potenz wie der Wurzelexponent erhoben wird, können wir die
aus dem Radikanden extrahieren
Ein Exponent des Radikanden ist größer als der Wurzelexponent
Dieser Exponent wird durch den Wurzelexponenten geteilt. Der erhaltene Quotient ist der Exponent des Faktors außerhalb des Radikanden und der Rest ist der Exponent des Faktors innerhalb des Radikanden
Beispiele:
1 
Der Exponent von 2 ist größer als der Wurzelexponent. Dieser Exponent
wird also durch den Wurzelexponenten
dividiert
Der erhaltene Quotient
ist der Exponent des Faktors außerhalb des Radikanden und der Rest
ist der Exponent des Faktors innerhalb des Radikanden.
Da der Faktor
gleich 1 ist, muss er nicht in den Radikanden gebracht werden, da er sich nicht ändert, wenn er mit einem anderen Faktor multipliziert wird.
Im Allgemeinen gilt: Wenn das Ergebnis der Division des Exponenten eines Faktors durch den Wurzelexponenten null ergibt, wird dieser Faktor nicht in den Radikanden gebracht
2 
Wir zerlegen in Faktoren: 
Der Exponent ist größer als der Wurzelexponent. Also wird dieser Exponent
durch den Wurzelexponenten
dividiert.
Der erhaltene Quotient
ist der Exponent des Faktors außerhalb des Radikanden und der Rest
ist der Exponent innerhalb des Radikanden.
3 
Es gibt Exponenten im Radikanden, die größer als der Wurzelexponent sind. Somit werden diese Exponenten
und
durch den Wurzelexponenten
dividiert.
Jeder der erhaltenen Quotienten
und
ist dann der Exponent des entsprechendenen Faktors außerhalb des Radikanden und die erhaltenen Reste
und
sind dann die Exponenten der entsprechenden Faktoren innerhalb des Radikanden
4 
Die Exponenten des Radikanden sind größer als der Wurzelexponent. Also werden diese Exponenten
und
durch den Wurzelexponenten
dividiert.
Jeder der Quotienten
ist dann der entsprechende Faktor außerhalb des Radikanden und die erhaltenen Reste
sind dann die Exponenten der entsprechenden Faktoren innerhalb des Radikanden
Faktoren unter die Wurzel bringen
Um Faktoren unter eine Wurzel zu bringen, müssen die Faktoren hoch den Wurzelexponenten der Wurzel genommen werden
Beispiele:
1 
Da der Wurzelexponent
ist, wird der Faktor außerhalb der Wurzel
quadriert und wir berchnen
2 
Sowohl
als auch
werden hoch vier genommen:
Wir lösen die Klammern auf, indem wir die Exponenten multiplizieren
Wir multiplizieren die Potenzen mit der gleichen Basis
Addition und Subtraktion von Wurzeln
Zwei Wurzeln können nur addiert (oder subtrahiert) werden, wenn die Wurzeln gleich sind. Das heißt, dass es sich um Wurzeln handeln muss, die den gleichen Wurzelexponenten und Radikanden haben.
Um Wurzeln mit dem gleichen Wurzelexponenten und Radikanden zu addieren/subtrahieren, werden die Koeffizienten der Wurzeln addiert/subtrahiert.
Beispiele:
1 
Wir fassen die Koeffizienten der Wurzeln zusammen
2 
Wir fassen die Koeffizienten der Wurzeln zusammen
3 
Wir zerlegen die Radikanden in Faktoren:
Die Wurzeln sind also
Wir extrahieren die Faktoren aus den Wurzeln und multiplizieren sie mit dem Koeffizienten der entsprechenden Wurzel
Wir fassen die Koeffizienten der Wurzeln zusammen
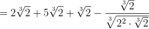
4 
Wir extrahieren die Faktoren aus den Wurzeln und multiplizieren sie mit dem Koeffizienten der entsprechenden Wurzel
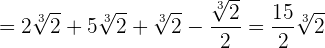
Somit
Wir vereinfachen die Wurzeln. Bei der ersten Wurzel dividieren wir den Wurzelexponenten und den Exponenten des Radikanden durch
, bei der zweiten Wurzel durch
und bei der dritten Wurzel durch 
Wir fassen die Koeffizienten der Wurzeln zusammen
Beispielaufgaben zur Addition und Subtraktion von Wurzeln
Multiplikation von Wurzeln mit dem gleichen Wurzelexponenten
Um Wurzeln mit dem gleichen Wurzelexponenten zu multiplizieren, werden die Radikanden multipliziert und der Wurzelexponent bleibt gleich.
Beispiel:
Sobald wir einen Rechenschritt durchgeführt haben, ziehen wir, wenn möglich, Faktoren aus der Wurzel.
Multiplikation von Wurzeln mit unterschiedlichem Wurzelexponenten
Zunächst müssen sie auf einen gemeinamen Wurzelexponenten gebracht werden, danach werden sie multipliziert.
Beispiele:
1 
Wir zerlegen die Radikanden in Faktoren
Wir bringen auf einen gemeinsamen Wurzelexponenten und müssen also das kleinste gemeinsame Vielfache der Wurzelexponenten berechnen. Dies ist dann der gemeinsame Wurzelexponent.
Wir dividieren den gemeinsamen Wurzelexponenten
durch jeden der Wurzelexponenten
und jedes erhaltene Ergebnis multiplizieren wir mit den entsprechenden Exponenten
. Wir führen das Produkt der Potenzen mit der gleichen Basis im Radikanden aus und extrahieren Faktoren aus dem Radikanden
2 
Wir berechnen das kleinste gemeinsame Vielfache der Wurzelexponenten
Wir dividieren den gemeinsamen Wurzelexponenten
durch jeden der Wurzelexponenten
und nehmen jedes Ergebnis hoch den entsprechenden Radikanden
Wir zerlegen
und
in Faktoren, führen die notwendigen Rechenschritte durch und extrahieren Faktoren
Wurzeln mit gleichem Wurzelexponenten dividieren
Um Wurzeln mit gleichem Wurzelexponenten zu dividieren, werden die Radikanden dividiert und der Wurzelexponent bleibt gleich.
Beispiel:
Da die Wurzeln den gleichen Wurzelexponenten haben, können wir alles unter eine Wurzel schreiben
Wir faktorisieren und dividieren die Potenzen mit der gleichen Basis
Wir vereinfachen die Wurzel, indem wir den Wurzelexponenten und den Radikanden durch
dividieren
Wurzeln mit unterschiedlichem Wurzelexponenten dividieren
Als Erstes bringen wir auf einen gemeinsamen Wurzelexponenten, danach dividieren wir.
Beispiele:
1 
Zunächst bringen wir auf einen gemeinsamen Wurzelexponenten. Also müssen wir das kleinste gemeinsame Vielfache der Wurzelexponenten berechnen, das dann der gemeinsame Wurzelexponent ist.
.
Wir dividieren den gemeinsamen Wurzelexponenten
durch jeden der Wurzelexponenten (
und
) und multiplizieren jedes Ergebnis mit den entsprechenden Exponenten (
und
)
Wir zerlegen die
in Faktoren, um die Division wie folgt durchführen zu können
2 
Wir führen dieselben Schritte wie beim vorhergehenden Beispiel durch
Wir vereinfachen die Wurzel, indem wir den Wurzelexponenten und den Exponenten des Radikanden durch
dividieren und extrahieren schließlich Faktoren
Potenz einer Wurzel
Um eine Wurzel mit einem Exponenten zu potenzieren, wird der Radikand mit dem Exponenten potenziert. Der Wurzelexponent bleicht gleich.
Beispiel:
1 
Wir quadrieren den Radikanden, zerlegen die
in Faktoren und quadrieren. Und schließlich schreiben wir den Faktor vor die Wurzel
2 
Wir nehmen die Radikanden hoch vier, zerlegen sie in Faktoren und extrahieren die
aus der Wurzel
Wir führen bei den Radikanden die nötigen Rechenschritte zum Rechnen mit Potenzen durch und ermitteln den gemeinsamen Wurzelexponenten, um dividieren zu können
Wir vereinfachen die Wurzel, indem wir den Wurzelexponenten und die Exponenten des Radikanden durch
dividieren und führen eine Division von Potenzen mit dem gleichen Exponenten durch
3 Schreibe folgende Potenzen als Wurzeln:
4 Schreibe als Potenz mit rationalem Exponenten
Wurzel aus einer Wurzel
Die Wurzel aus einer Wurzel ist eine andere Wurzel mit dem gleichen Radikanden, deren Wurzelexponent das Produkt aus den beiden Wurzelexponenten ist.
Beispiel:
1 
Wir multiplizieren die Wurzelexponenten
2 
Wir bringen die erste
unter die Kubikwurzel. Dazu müssen wir sie hoch drei nehmen und die Potenzen mit der gleichen Basis multiplizieren
Wir bringen die
unter die vierte Wurzel. Also müssen wir sie hoch vier nehmen, die Potenzen multiplizieren und schließlich die Wurzelexponenten multiplizieren
Rationalisieren
Beim Rationalisieren einer Wurzel müssen die Wurzeln aus dem Nenner eliminiert werden. Dies erleichtert zum Beispiel die Addition von Brüchen
Es gibt drei unterschiedliche Fälle:
Fall 1
Rationalisierung vom Typ 
Zähler und Nenner werden mit
multipliziert
Beispiele:
Fall 2
Rationalisierung vom Typ 
Zähler und Nenner werden mit
multipliziert
Beispiel:
Wir schreiben den Radikanden
als Potenz: 
Wir müssen den Zähler und den Nenner mit der fünften Wurzel aus
multiplizieren
Wir multiplizieren die Wurzeln des Nenners, extrahieren Faktoren aus der Wurzel und vereinfachen den Bruch
Fall 3
Rationalisierung vom Typ 
Und im Allgemeinen, wenn der Nenner ein Binom mit mindestens einer Wurzel ist.
Der Bruch wird mit dem Term, der im Nenner steht, erweitert.
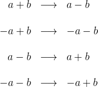
Das konjugierte Binom ist immer gleich dem Binom mit umgekehrtem Vorzeichen:
Außerdem müsssen wir bedenken: "Summe mal Differenz ist gleich Differenz zum Quadrat".
Beispiele:
1 
Wir multiplizieren den Zähler und den Nenner mit dem Konjugierten des Nenners, lösen die Klammer im Zähler auf und rechnen Summe mal Differenz im Nenner. So erhalten wir eine Differenz zum Quadrat
2 
Wir erweitern den Bruch mit dem Konjugierten des Nenners
3 
Wir multiplizieren den Zähler und den Nenner mit dem Konjugierten des Nenners, lösen die Klammer im Zähler auf und rechnen Summe mal Differenz im Nenner. So erhalten wir eine Differenz zum Quadrat

Mit KI zusammenfassen:









Im Rahmen einer Internetrecherche zu mathematischen Themen bin ich zufällig auf diese Seite gestoßen.Hier fielen mir Unstimmigkeiten auf: bei den ersten vier Beispielen liegen offensichtlich Formatierungsfehler vor, die sehen nämlich so aus:
„5-3∈ℕ3-5∉ℕ“, „6÷2∈ℕ2÷6∉ℕ“ „6÷2∈ℤ2÷6∉ℤ“ und „(-2)³=-8∈ℤ(-2)⁻³=-⅛∉ℤ“
das kann niemand lesen. Vermutlich fehlt jeweils ein Zeilenvorschub. Oder man schreibt was dazwischen, z.B. ein „aber“:
„5-3∈ℕ aber: 3-5∉ℕ“, „6÷2∈ℕ aber: 2÷6∉ℕ“ „6÷2∈ℤ aber: 2÷6∉ℤ“ und „(-2)³=-8∈ℤ aber: (-2)⁻³=-⅛∉ℤ“
So wäre es verständlich.
Jetzt aber zur Hauptsache: eigentlich ist alles ordentlich und korrekt erklärt. Nur, bei „rationale Zahlen“ steht da:
„““Rationale Zahlen
Eine rationale Zahl ist jede Zahl, die sich als Quotient zweier ganzer Zahlen … darstellen lässt.“““
völlig korrekt, aber im Abschnitt danach:
„““Irrationale Zahlen
Eine Zahl ist irrational, wenn sie unendlich viele nichtperiodische Nachkommastellen …“““
Das passt nicht zusammen, und der Sinn des Begriffs „irrationale Zahl“ bleibt unverständlich. Ja, im formallogischen Sinn kann man sagen „Eine Zahl ist irrational, wenn sie unendlich viele nichtperiodische Nachkommastellen hat und daher nicht als Bruch ausgedrückt werden kann“ – nur wirkt das wie „von hinten durch die Brust ins Auge“. Ich empfehle doch sehr, diesen Satz zu ändern in „Eine irrationale Zahl ist eine Zahl, die sich nicht als Quotient zweier ganzer Zahlen darstellen lässt. Ihre Dezimaldarstellung hat daher unendlich viele nichtperiodische Nachkommastellen“ Dann harmoniert das auch mit dem Abschnitt davor:
Rationale Zahlen – Eine rationale Zahl ist eine Zahl, die sich als Quotient zweier ganzer Zahlen … darstellen lässt.
Irrationale Zahlen – Eine rationale Zahl ist eine Zahl, die sich als Quotient zweier ganzer Zahlen darstellen lässt.
Vielen Dank für die Hinweise. Wir haben die Vorschläge gerne angenommen und im Artikel aktualisiert.