Willkommen in unserem Blog, der sich mit der faszinierenden Welt der Flächenmaße beschäftigt! Im Alltag müssen wir diese Maße oft verstehen und für eine Vielzahl von Zwecken verwenden – von der Gestaltung von Räumen über den Kauf von Grundstücken bis hin zur Planung von Bauprojekten. Für diejenigen, die damit nicht vertraut sind, können Flächenmaße jedoch oft verwirrend oder abstrakt erscheinen.
Unser Ziel ist es, dieses Konzept zu entmystifizieren, die verschiedenen Einheiten der Flächenmaße und ihre Umrechnung zu erklären und einfache, praktische Beispiele zu geben, die dir helfen werden, die Anwendung dieser Maße im Alltag besser zu verstehen. Fangen wir also an, die Welt um uns herum klar und genau zu vermessen!
Die grundlegende Einheit für die Messung von Oberflächen ist der Quadratmeter, der die Fläche eines Quadrats mit einer Seitenlänge von 1 m angibt. Andere Haupt- und Nebeneinheiten sind:
| Flächenmaß | Einheit | Fläche |
|---|---|---|
| Quadratkilometer | km² | 1.000.000 m² |
| Quadrathektometer | hm² | 10.000 m² |
| Quadratdekameter | dam² | 100 m² |
| Quadratmeter | m² | 1 m² |
| Quadratdezimeter | dm² | 0,01 m² |
| Quadratzentimeter | cm² | 0,0001 m² |
| Quadratmillimeter | mm² | 0,000001 m² |
Wir stellen fest, dass von den Teilvielfachen am unteren Ende bis zu den Vielfachen am oberen Ende jede Einheit 100 mehr wert ist als die vorherige.
Umrechnung von Flächenmaßen
Wenn wir eine Einheit in eine andere Einheit umrechnen möchten, müssen wir: multiplizieren (wenn von einer größeren Einheit zu einer kleineren Einheit) oder dividieren (wenn von einer kleineren Einheit zu einer größeren Einheit) durch die Einheit, gefolgt von so vielen Nullenpaaren, wie Stellen dazwischen sind.

Beispiele für die Umrechnung von Flächenmaßen
1 Rechne
in
um
Um Quadratmeter in Ar umzurechnen, dividieren wir durch 100


2 Rechne
in
um
Um Quadratzentimeter in Quadratmeter umzurechnen, dividieren wir durch 10000

3 Rechne
in
um
Um Quadratdezimeter in Quadratzentimeter umzurechnen, multiplizieren wir mit 100

4 1,5 Quadrathektometer in Quadratmeter umrechnen:
Um Quadrathektometer in Quadratmeter umzurechnen, multiplizieren wir mit 10000

5 Rechne
in
um
Um Quadratmillimeter in Quadratmeter umzurechnen, dividieren wir durch 1000000.

Flächenmaße in der Landwirtschaft
Zur Vermessung von Feldern werden in der Landwirtschaft bestimmte Flächenmaße verwendet:
1 Hektar:

2 Ar:

3 Zentiar: entspricht einem Quadratmeter.

Beispiele für die Umrechnung von landwirtschaftlichen Flächenmaßen
In Hektar ausdrücken:
1 
Wir wissen, dass ein Hektar einem Quadrathektometer und ein Ar einem Quadratdezimeter entspricht, also müssen wir durch 100 dividieren

2 
Wir wissen, dass ein Hektar 10.000 Quadratmetern entspricht. Wir dividieren somit durch 10.000

3 
Wir wissen, dass ein Hektar 10.000 Quadratmetern entspricht. Wir multiplizieren also mit 100

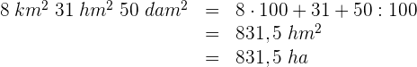
4 
Wir wissen, dass ein Hektar einem Quadrathektometer entspricht; also rechnen wir jedes Element in Quadrathektometer um

5 
Wir wissen, dass ein Hektar einem Quadrathektometer entspricht; also rechnen wir jedes Element in Quadrathektometer um

Mit KI zusammenfassen:








