Gib die folgenden Mengenangaben in den angegebenen Mengenangaben an und beachte dabei, dass
| Kiloliter | kl | 1000 l |
|---|---|---|
| Hektoliter | hl | 100 l |
| Dekaliter | dkl | 10 l |
| Liter | l | 1 l |
| Deziliter | dl | 0,1 l |
| Zentiliter | cl | 0,01 l |
| Milliliter | ml | 0,001 l |
Wenn wir eine Einheit in eine andere umrechnen wollen, müssen wir mit der Einheit, gefolgt von so vielen Nullen, wie zwischen ihnen liegen, multiplizieren (wenn es sich um eine größere Einheit handelt) oder dividieren (wenn es sich um eine kleinere Einheit handelt).
Löse:
1 

Dieses Feld ist erforderlich.
Wir müssen l in cl umrechnen, d. h. wir müssen eine größere Einheit in eine kleinere Einheit mit zwei Stellen dazwischen umrechnen (siehe Tabelle). Also müssen wir mit 100 multiplizieren, d. h.

Dieses Feld ist erforderlich.
Um nun von l zu dkl zu gelangen, müssen wir durch 10 dividieren, da wir von einer kleineren Einheit zu einer größeren Einheit mit einer Stelle dazwischen übergehen. Also

Dieses Feld ist erforderlich.
Schließlich möchten wir l in ml umrechnen, daher müssen wir mit 1000 multiplizieren, da zwischen den Einheiten drei Stellen liegen. Somit
2 

Dieses Feld ist erforderlich.
Um von hl zu l zu gelangen, müssen wir mit 100 multiplizieren, also

Dieses Feld ist erforderlich.
Um nun von l zu cl zu gelangen, multiplizieren wir erneut mit 100, da es zwei Stellen Unterschied gibt und wir von einer größeren Einheit zu einer kleineren übergehen: 

Dieses Feld ist erforderlich.
Und um schließlich l in kl umzurechnen, müssen wir durch 100 dividieren, d. h. 
3

Dieses Feld ist erforderlich.
Um von kl zu l zu gelangen, müssen wir mit 1000 multiplizieren, da wir zu einer kleineren Einheit mit drei Stellen Unterschied übergehen: 

Dieses Feld ist erforderlich.
Um nun l in dkl umzurechnen dividieren wir durch 10 

Dieses Feld ist erforderlich.
Und um von l zu dl zu gelangen, müssen wir mit 10 multiplizieren, d. h. entonces
4 

Dieses Feld ist erforderlich.


Dieses Feld ist erforderlich.


Dieses Feld ist erforderlich.
Wir wissen, dass dl eine kleinere Einheit als hl ist. Um von dl zu hl zu gelangen, muss man also dividieren. Da zwischen den beiden Einheiten drei Stellen Unterschied liegen, müssen wir durch 1000 dividieren; Um hingegen von hl zu dkl zu gelangen, muss man mit 10 multiplizieren, und schließlich muss man, um von dkl zu cl zu gelangen, mit 1000 multiplizieren. Das heißt, 
5

Dieses Feld ist erforderlich.


Dieses Feld ist erforderlich.


Dieses Feld ist erforderlich.
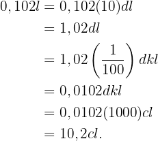
In diesem Fall müssen wir l in dl umrechnen und multiplizieren deshalb mit 10; danach rechnen wir dl in dkl um und dividieren daher duch. Schließlich rechnen wir dkl in cl um und multiplizieren somit mit 1000,
6

Dieses Feld ist erforderlich.


Dieses Feld ist erforderlich.


Dieses Feld ist erforderlich.
Ähnlich wie bei den vorherigen Übungen führen wir die folgenden Schritte durch
Mit KI zusammenfassen:
