Wiederholung: Arten von Proportionalität
In Teil I hast du bereits gelernt, dass Zuordnungen proportional oder umgekehrt proportional sein können.
In den zehn folgenden Aufgaben hast du die Möglichkeit, dein Wissen praktisch anzuwenden.
Gemischte Aufgaben
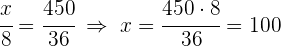
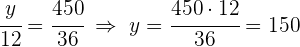
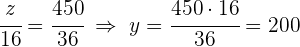
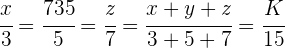
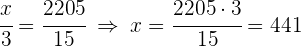
Ein Großvater verteilt
auf seine drei Enkel, die
und
Jahre alt sind, proportional zu ihrem jeweiligen Alter. Wie viel Geld erhält jeder Enkel?
Ein Großvater verteilt
auf seine drei Enkel, die
und
Jahre alt sind, proportional zu ihrem jeweiligen Alter. Wie viel Geld erhält jeder Enkel?
1 Es handelt sich um eine proportionale Zuordnung, daher können folgende Gleichungen aufgestellt werden:

2 Löse nach jeder Unbekannten auf:



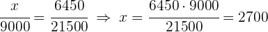
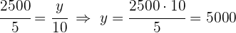
Drei Geschäftspartner schließen sich zusammen und steuern je
und
Euro zu einem Projekt bei. Nach einem Jahr haben sie
Gewinn gemacht.
Wie viel Geld steht jedem einzelnen zu, damit die Auszahlung an jeden proportional zum anfänglichen Beitrag ist?
Drei Geschäftspartner schließen sich zusammen und steuern je
und
Euro zu einem Projekt bei. Nach einem Jahr haben sie
Gewinn gemacht.Wie viel Geld steht jedem einzelnen zu, damit die Auszahlung an jeden proportional zum anfänglichen Beitrag ist?
1 Es handelt sich um eine proportionale Zuordnung, daher können folgende Gleichungen aufgestellt werden:

2 Löse nach jeder Unbekannten auf

Drei zu
und
proportionale Geldbeträge werden unter drei Personen aufgeteilt. Wenn die zweite Person
erhält, welchen Betrag erhalten dann die erste und dritte Person entsprechend?
Drei zu
und
proportionale Geldbeträge werden unter drei Personen aufgeteilt. Wenn die zweite Person
erhält, welchen Betrag erhalten dann die erste und dritte Person entsprechend?
1 Es handelt sich um eine proportionale Zuordnung, daher können folgende Gleichungen aufgestellt werden:

2 Ermittle die fehlenden Unbekannten:


Drei zu
und
entsprechend proportionale Geldbeträge werden unter drei Personen aufgeteilt. Die jüngste Person erhält
Wie viel Geld erhalten die beiden älteren Personen entsprechend?
Drei zu
und
entsprechend proportionale Geldbeträge werden unter drei Personen aufgeteilt. Die jüngste Person erhält
Wie viel Geld erhalten die beiden älteren Personen entsprechend?
1 Stelle die Gleichungen der proportionalen Zuordnung auf und ermittle die fehlenden Unbekannten:


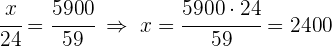
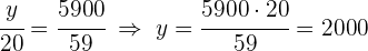
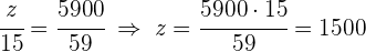
Drei Geschwister zahlen jährlich einen Betrag von 5900 € auf ein Familienkonto ein. Wenn sie 20, 24 und 32 Jahre alt sind und die Beiträge umgekehrt proportional zu ihrem Alter, wie viel trägt dann jeder jährlich bei?
Drei Geschwister zahlen jährlich einen Betrag von 5900 € auf ein Familienkonto ein. Wenn sie 20, 24 und 32 Jahre alt sind und die Beiträge umgekehrt proportional zu ihrem Alter, wie viel trägt dann jeder jährlich bei?
1 Da es sich um eine umgekehrt proportionale Zuordnung handelt, müssen die Kehrwerte der Altersangaben zur Berechnung herangezogen werden:

2 Suche den gemeinsamen Nenner

3 Führe eine Zuordnung durch, die proportional zu den Werten der Zähler
und
ist:




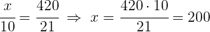
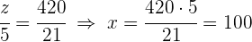
Teile
unter drei Kindern umgekehrt proportional zu ihrem jeweiligen Alter von
und
Jahren auf.
Teile
unter drei Kindern umgekehrt proportional zu ihrem jeweiligen Alter von
und
Jahren auf.
Lösungen:
1 Da es sich um eine umgekehrt proportionale Zuordnung handelt, müssen die Kehrwerte der Altersangaben zur Berechnung herangezogen werden:

2 Suche den gemeinsamen Nenner

3 Führe eine Zuordnung durch, die proportional zu den Werten der Zähler
und
ist:




Über welchen Zeitraum muss ein Kapital von
mit
Zinsen angelegt werden, damit man
erhält?
Über welchen Zeitraum muss ein Kapital von
mit
Zinsen angelegt werden, damit man
erhält?
Lösungen:
1 Ermittle die Gesamtsumme der Zinsen:

Jahre
Eine Person legt
auf einem Konto an. Nach einem Jahr,
Monaten und
Tagen hat sich die Anlage auf
erhöht. Zu welchem Zinssatz wurde das Geld angelegt?
Eine Person legt
auf einem Konto an. Nach einem Jahr,
Monaten und
Tagen hat sich die Anlage auf
erhöht. Zu welchem Zinssatz wurde das Geld angelegt?Lösungen:
1 Rechne den Zeitraum in Tage um:
Tage
2 Berechne die Zinsen:


3 Ermittle den Umsatz (in %)

Zu welchem Zinssatz muss ein Kapital angelegt werden, damit man nach Ablauf von
Jahren eine Summe in Höhe des Startkapitals an Zinsen erhalten hat?
Zu welchem Zinssatz muss ein Kapital angelegt werden, damit man nach Ablauf von
Jahren eine Summe in Höhe des Startkapitals an Zinsen erhalten hat?Lösungen:
1 Die Höhe der Zinsen ist gleich dem Wert des Startkapitals

2 Ersetze
durch die Zinsformel:

3 Das Produkt der Extremwerte ist gleich dem Produkt der Mittelwerte

4 Mit
ist
. Auf diese Weise kann der Gewinn ermittelt werden

5 Vereinfache den Bruch


Über welchen Zeitraum muss ein Kapital zu
angelegt werden, um es zu verdreifachen?
Über welchen Zeitraum muss ein Kapital zu
angelegt werden, um es zu verdreifachen?
Lösungen:
1 Die Zinsen sind dreimal so hoch wie das Startkapital.

2 Wende die Zinsformel an, löse nach t auf und vereinfache:



Jahre.
Mit KI zusammenfassen:









Ich habe den Kettensatz mit seinerzeit in der Handelsakademie gelernt . Er wurde vertikal angeordnet, was sehr übersichtlich war und man konnte es kaum verfehlen, die „richtigen“ Glieder zu verknüpfen. Ich erinnere mich nicht mehr genau daran, aber oft waren es auch 20 „Glieder“ in der vertikalen Anordnung. Ich fand diese Anschreibung viel einfacher.