Kapitel
Was ist ein Prozentsatz?
Ein Prozentsatz ist eine Form des einfachen Dreisatzes, bei dem eine der Größen 100 ist.
Beispielaufgaben mit Lösungen zu Problemstellungen bei der Prozentrechnung
Ein Motorrad, dessen ursprünglicher Preis bei
lag, kostet nun
mehr. Um wieviel Prozent hat sich der Preis erhöht?


Die prozentuale Erhöhung beträgt
.
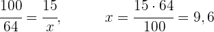
Beim Kauf eines Fahrzeugs zum Preis von
, erhalten wir einen Rabatt von
. Wieviel kostet das Fahrzeug?



Wir können auch direkt wie folgt berechnen:
Wir erhalten einen Rabatt von
und bezahlen somit für
jeweils
weniger. Statt
bezahlen wir also nur 


Wir können diese Formel unmittelbar auf die Rabatte anwenden

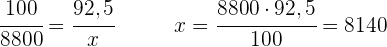
Der Preis für einen Computer liegt bei
ohne Mehrwertsteuer. Wieviel kostet der Computer, wenn die Mehrwertsteuer
beträgt?
Aufgrund der Mehrwersteuer ergibt sich ein Aufschlag von
. Das heißt, wir bezahlen pro
mehr, also statt
bezahlen wir 


Diese Formel können wir direkt auf die Erhöhungen anwenden. Allerdings ist es besser, wenn wir mit den Anteilen arbeiten.

Welche Zahl minus
ergibt
?
Als Erstes müssen wir den Dreisatz anwenden. Da sich
aus einer bestimmten Zahl
minus
ergibt, bedeutet dies, dass
somit
sind:

Die gesuchte Zahl ist 
Carlos erbt
Millionen.
davon gibt er aus und seiner Schwester schenkt er
von dem, was dann noch übrig bleibt. Schließlich bleiben Carlos noch:
Zunächst müssen wir den Betrag berechnen, den Carlos für sich selbst ausgibt und schließlich den Betrag, den er seiner Schwester gibt.
von
Millionen sind:

Der Betrag, den Carlos ausgibt, sind
Millionen. Bevor er also seiner Schwester Geld gibt, hat Carlos noch
Millionen. Da Carlos
von
Millionen verschenkt, ergibt sich


Carlos schenkt seiner Schwester also
Millionen. Ihm bleiben schließlich noch
Millionen.
Beim Bezahlen einer Rechnung über
wird mir ein Rabatt von
gewährt. Der Betrag, den ich bezahlen muss, lautet:
Zunächst müssen wir wissen, wie der Wert für
lautet und schließlich müssen wir von diesem Betrag den Rechnungsbetrag subtrahieren. Wir wenden den Dreisatz an, um den Wert für
zu ermitteln. 

Diesen letzen Wert subtrahieren wir von dem ursprünglichen Rechnungsbetrag und müssen schließlich
bezahlen.
Mit KI zusammenfassen:









Ich habe den Kettensatz mit seinerzeit in der Handelsakademie gelernt . Er wurde vertikal angeordnet, was sehr übersichtlich war und man konnte es kaum verfehlen, die „richtigen“ Glieder zu verknüpfen. Ich erinnere mich nicht mehr genau daran, aber oft waren es auch 20 „Glieder“ in der vertikalen Anordnung. Ich fand diese Anschreibung viel einfacher.