Imaginäre Einheit
Dies ist die Bezeichnung für die Zahl
und sie wird mit dem Buchstaben
angegeben
Die Kubikwurzel aus
ist weder eine imaginäre noch eine komplexe Zahl.
Beispiele mit imaginärer Einheit
1
2
3
4 
Komplexe Zahl
Die Zahl
wird als komplexe Zahl in binomischer oder binomialer Form bezeichnet. Im Allgemeinen wird jede komplexe Zahl mit dem Buchstaben
angegeben.
Die Zahl
ist der reelle Teil der komplexen Zahl und wird mit
angegeben, während die Zahl
der imaginäre Teil der komplexen Zahl ist und mit
angegeben wird.
Wenn der imaginäre Teil einer komplexen Zahl null ist, d. h.
, wird sie zu einer reellen Zahl
, da
.
Wenn der reelle Teil einer komplexen Zahl null ist, d. h.
, wird die komplexe Zahl zu
. Man sagt, dass die Zahl eine rein imaginäre Zahl ist.
Im Allgemeinen wird die Menge aller komplexen Zahlen mit dem Symbol
angegeben. Formal wird sie unter Verwendung der Mengenschreibweise wie folgt angegeben:
Die komplexen Zahlen
und
werden Gegenzahlen genannt.
Die komplexen Zahlen
und
werden konjugierte komplexe Zahlen genannt.
Zwei komplexe Zahlen sind gleich, wenn sie den gleichen reellen Anteil und den gleichen imaginären Anteil haben, das heißt:
mit
oder
und
oder 
Grafische Darstellung der komplexen Zahlen
Die komplexen Zahlen werden in der kartesischen Ebene in Form eines Ortsvektors dargestellt, d. h. eines Vektors, dessen Anfangspunkt der Ursprung und dessen Endpunkt der Punkt
ist, auch Affix der komplexen Zahl genannt. Die
-Achse wird reelle Achse und die
-Achse imaginäre Achse genannt.

Potenzen der imaginären Einheit
, da 
, da 
, da
oder 
Beispiele für höhere Potenzen der komplexen Zahlen
1 
2 
3 
4
Rein imaginäre Zahlen
Eine rein imaginäre Zahl wird wie folgt angegeben:
,
wobei:
eine reelle Zahl ist.
ist die imaginäre Einheit.
Wir beachten, dass der reelle Teil
ist, d. h,
. Komplexe Zahlen, deren reeller Teil ungleich 0 ist, können auch einfach als imaginäre Zahlen bezeichnet werden.
Rechenoperationen mit komplexen Zahlen in binomischer Form
Addition und Subtraktion von komplexen Zahlen
Die Regel für die Addition oder Subtraktion zweier komplexer Zahlen
und
besteht darin, den reellen Teil der einen mit dem reellen Teil der anderen und den imaginären Teil der einen mit dem imaginären Teil der anderen zu addieren/subtrahieren.
Wenn die Addition und Subtraktion mehrerer komplexer Zahlen kombiniert wird, addiert und/oder subtrahiert man die reellen Teile mit den reellen Teilen und die imaginären Teile mit den imaginären Teilen.
Beispiele:
1 
2 
3
Die Addition und Subtraktion komplexer Zahlen kann auch als Addition und Subtraktion von Polynomen durchgeführt werden, da komplexe Zahlen in binomischer Form ausgedrückt werden.
Beispiel:
Produkt komplexer Zahlen
Das Produkt oder die Multiplikation komplexer Zahlen, die in binomischer Form ausgedrückt sind, erfolgt nach folgender Formel:
oder sie kann auch als Produkt von Binomien durchgeführt werden.
Beispiel nach der Formel:
Beispiel für ein Produkt aus Binomen:
Division komplexer Zahlen
Die Division zweier komplexer Zahlen, die als Bruch ausgedrückt werden, erfolgt durch Multiplikation des Zählers und des Nenners des Bruchs mit der konjugierten komplexen Zahl des Nenners und anschließende Vereinfachung, bis das Ergebnis in der Form
ausgedrückt wird.
Beispiele:
1 
2 
Betrag und Argument komplexer Zahlen
Der Betrag einer komplexen Zahl (
), der grafisch dargestellt wird, ist die Länge des Vektors von seinem Anfangspunkt (Ursprung) bis zu seinem Endpunkt
. Er wird mit
angegeben. Wendet man den Satz des Pythagoras auf das Dreieck
in der folgenden Abbildung an, erhält man die Formel zur Berechnung des Betrags einer komplexen Zahl:

Das Argument einer komplexen Zahl ist der positive Winkel (der sich gegen den Uhrzeigersinn dreht), den der Vektor mit dem positiven Teil der reellen Achse bildet. Es wird mit
angegeben und anhand der folgenden Formel berechnet, abhängig von dem Quadranten, in dem sich die komplexe Zahl befindet.
Erster Quadrant

Zweiter Quadrant

Dritter Quadrant

Vierter Quadrant

Beispiele: Wir berechnen den Betrag und das Argument der folgenden komplexen Zahlen. Außerdem stellen wir sie grafisch dar.
1 
Wir berechnen den Betrag
Wir berechnen das Argument
Grafische Darstellung

2 
Wir berechnen den Betrag
Wir berechnen das Argument
Grafische Darstellung

Komplexe Zahlen in polarer und trigonometrischer Form

Um den reellen und den imaginären Teil
bzw.
der komplexen Zahl in Abhängigkeit von ihrem Betrag und ihrem Argument zu erhalten, werden die Definitionen der Sinus- und Kosinusfunktionen auf den Winkel
im Dreieck
in der obigen Abbildung angewendet.
Anschließend wird die trigonometrische und polare Form der ganzen Zahl wie folgt ausgedrückt:
In der folgenden Tabelle sind die quadratischen (binomischen), polaren und trigonometrischen Formen einer beliebigen komplexen Zahl zusammengefasst.
| binomisch | ![]() |
|---|---|
| polar | ![]() |
| trigonometrisch | ![]() |
Gleiche, konjugierte und entgegengesetzte komplexe Zahlen in trigonometrischen und polaren Formen
Die folgende Grafik zeigt sowohl die polare als auch die trigonometrische Darstellung einer komplexen Zahl
, ihrer komplexen Konjugierten
und ihrer komplexen Gegenzahl
.

Gleiche komplexe Zahlen
Konjugierte komplexe Zahlen
Komplexe Gegenzahlen
Produkt komplexer Zahlen in Polarform
Formel
Beispiele:
1 
2 
Produkt einer komplexen Zahl mit dem Betrag 1
Wenn man eine komplexe Zahl multiplicar un número complejo
mit
multipliziert, wird
um einen Winkel
um den Ursprung gedreht.
Quotient komplexer Zahlen in Polarform
Formel:
Beispiele:
1 
2 
Potenz komplexer Zahlen in Polarform
Formel:
Beispiele:
1 
2 
Moivrescher Satz
Der Moivresche Satz wird verwendet, um positive ganzzahlige Potenzen von komplexen Zahlen in trigonometrischer Form zu erhalten.
Die Formel lautet:
Bei Anwendung auf die
-te Potenz einer komplexen Zahl, ausgedrückt in ihrer Polarform:
Beispiel:
Die Potenzierung der folgenden komplexen Zahl, ausgedrückt in der Binomialform, soll mithilfe der trigonometrischen Form und des Moivreschen Satzes durchgeführt werden, da die Verwendung der Binomialerweiterung etwas mühsam und zeitaufwändig wäre.
Schritt 1. Der Betrag und das Argument der Basis der Potenzierung, d. h. die komplexe Zahl ohne Exponent, werden berechnet.
Betrag:
Argument:
Schritt 2. Die komplexe Zahl wird in ihrer trigonometrischen Form ausgedrückt
Schritte 3. Wir wenden den Moivreschen Satz an.
Schritt 4. Wir schreiben das Ergebnis.
n-te Wurzel komplexer Zahlen in Polarform
Jede komplexe Zahl (außer 0) hat genau
unterschiedliche Wurzeln.
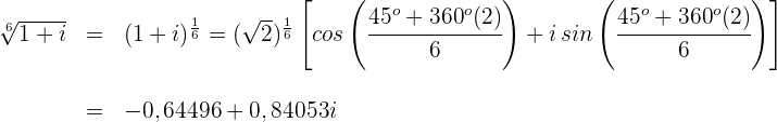
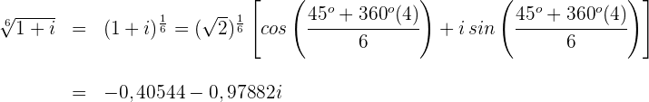
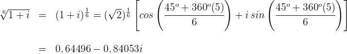
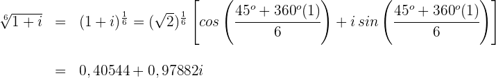
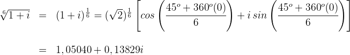
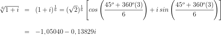
Beispiel:
Schritt 1. Der Betrag und das Argument der komplexen Zahl, aus der die sechste Wurzel gezogen werden soll, werden berechnet.
Betrag
Argument
Schritt 2. Man setzt die Daten in die Formel ein, um die
n-ten Wurzeln der komplexen Zahl
zu ermitteln.
Paso 3. Der Wert von
wird von
bis
variiert, um die
n-ten Wurzeln von
zu ermitteln
Für 
Para 
Para 
Für 
Für 
Für 
Grafische Darstellung der
Wurzeln der komplexen Zahl 

Mit KI zusammenfassen:










