„Ein Inhalt wird dazu in algebraische Formeln eingeschlossen, damit man, indem man die Formel anwendet, nicht hundertmal ein und dasselbe wiederholen muss.“ – A. I. Herzen
Wie man dem Zitat von A. I. Herzen entnehmen kann, hat Algebra, entgegen vieler Behauptungen von Schüler*innen, durchaus seinen Zweck und damit auch seine Daseinsberechtigung. Lineare Gleichungen, Funktionen und Variablen können sogar im Alltag nützlich sein, zum Beispiel wenn Du Deinen Stundenlohn inkl. Trinkgeld berechnen willst.
Algebra ist und bleibt aber ein Thema, das Meinungen spaltet: die einen lieben es, während es die anderen vehement verschmähen.
Du gehörst zur zweiten Version?
Die Lösung: Mehr Information über die Algebra und Verständnis der Funktionen und Regeln des Faches.
In diesem Artikel wollen wir Dir deshalb mal ein paar grundlegende Algebra Regeln und einfache Gleichungen vorstellen, wichtige Begriffe definieren (Variable, lineare Algebra etc.) und Dir zeigen, wo Du nützliche Algebra Aufgaben und Lösungen findest.
Grundlegende Regeln in Algebra
Ohne Regeln und Einschränkungen kann eine Gesellschaft nicht nachhaltig existieren. Wir müssen die Regeln erst kennen, um die Grenzen unseres eigenen Handelns erkennen und beachten zu können.
Damit Normen und gesellschaftliche Erwartungen auch tatsächlich verstanden und angewendet werden, bedarf es deshalb konkreter Regeln, die das Zusammenleben in der Gesellschaft bestimmen und ermöglichen.
Im Grunde gibt es für alles im Leben Regeln und Vorschriften. Das fängt schon bei der Berechnung des Trinkgelds oder des Kraftstoffverbrauchs an und geht noch viel weiter.

Und das gilt natürlich auch für die Mathematik und ganz besonders für Algebra. Ohne weitere Umschweife wollen wir Dir deshalb im Folgenden ein paar der wichtigsten Algebra Regeln für Arithmetik, Exponenten und Radikale vorstellen.
Algebraische Regeln in der Arithmetik
Die Arithmetik ist ein Teilgebiet der Mathematik, bei dem es primär um das Rechnen mit natürlichen Zahlen sowie die Grundrechenarten (Addition, Subtraktion, Division, Multiplikation) geht.
- Verteilungseigenschaft der Multiplikation
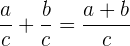
Die Verteilungseigenschaft der Multiplikation basiert auf der Tatsache, dass Du etwas mit der Summe von zwei oder mehreren anderen Termen multiplizierst. Die Multiplikation kann auf jeden der verschiedenen Terme verteilt werden, die mit der Gleichung verknüpft sind.
Hier eine Beispiels-Aufgabe für die Verteilungseigenschaft der Wiederholung:

Nachdem die Operationen in die erforderliche Reihenfolge gebracht wurden, konnte die Lösung oder das Problem der Aufgabe gefunden werden.
Übrigens: Vor Klammern ist kein Multiplikationszeichen erforderlich.
- Brüche addieren, subtrahieren, dividieren und multiplizieren
Die Algebra Regeln für die Arithmetik ändern sich allerdings ein wenig, wenn wir Brüche in Gleichungen bearbeiten.
Willst Du zum Beispiel einen Bruch multiplizieren, gilt der Zähler des Bruchs als vollständige Zahl für den Bruch. Das bedeutet, dass beim Multiplizieren des Bruchs der Zähler multipliziert werden muss.
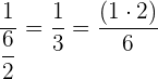
Bei der Division läuft es ähnlich wie bei der Multiplikation von Brüchen. Das Teilen des Nenners im Bruch hat den gleichen Effekt wie das Multiplizieren des Zählers. Das nächste Beispiel verdeutlicht das Teilen von Brüchen noch einmal:

Die Regeln bei Addition und Subtraktion bleiben erhalten. Wie in der Arithmetik gilt auch hier: die Nenner zweier Brüche müssen identisch sein, um addiert bzw. subtrahiert werden zu können.
Die Zähler werden addiert und die Summe wird über den gemeinsamen Nenner geschrieben. In der folgenden Beispiel-Aufgabe siehst Du noch einmal genau, wie Brüche addiert oder subtrahiert werden:

Das waren nur ein paar Algebra Regeln in der Arithmetik, die Du am besten von Anfang an beachten solltest, wenn Du eine algebraische Aufgabe richtig berechnen möchtest. Das war allerdings lediglich eine kleine Vorschau, tatsächlich gibt es noch viele mehr ...
Algebraische Regeln für Exponenten
Liest Du gerade diesen Artikel und fragst Dich, was nochmal Exponenten sind, möchten wir Dein Gedächtnis an dieser Stelle ein wenig auffrischen:
Exponenten stellen die Potenz einer Zahl dar, also die Größe, auf die eine Zahl oder ein algebraischer Ausdruck angehoben werden soll. Üblicherweise wird ein Exponent als erhöhtes Symbol neben der Zahl oder dem Term angezeigt: x2
So wie es eben für alles in Algebra eine Regel gibt, gibt es natürlich auch konkrete Vorschriften, die Exponenten betreffen:
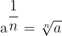
- Null als Exponent: Zum Beispiel a0 = 1. Das bedeutet, wenn der Exponent 0 ist und die Basis eine Zahl ungleich 0, dann ist die Potenz 1.
- Potenzregel: Diese Regel wird auch Potenzen von Potenzen genannt. Willst Du eine Potenz mit einer Potenz multiplizieren, ist das nur möglich, wenn die Basis gleich ist. Du multiplizierst dann einfach die beiden Exponenten miteinander: (x2)5 = x2•5 = x10
- Produktregel: Das Produkt zweier Potenzen mit derselben Basis entspricht der Basis, die auf die Summe der beiden Exponenten angehoben wird. Du musst also lediglich die beiden Exponenten addieren. Das ganze sieht dann so aus: x2 x5 = x2+5 = x7
Verschiedene Algebra Regeln für Radikale
Radikale Ausdrücke sind in der Algebra besonders wichtig. Da sie Wurzeln ergeben, können sie als das genaue Gegenteil von Exponentialaudrücken angesehen werden.
Im folgenden Beispiel siehst Du die Vorschau einer typischen Vorschrift, wenn es um das Bearbeiten von Radikalen in der Algebra geht:

Der oben abgebildete algebraische Ausdruck entspricht der kritischen Exponentialregel von am • an = am + n
In Bezug auf Radikale gibt es zahlreiche weitere Definitionen und Regeln, die Du Dir aneignen solltest. Die oben genannte ist lediglich eine kleine Vorschau, die Dir anzeigen soll, wie logisch und strukturiert Mathematik, insbesondere Algebra, aufgebaut ist.
Einfache algebraische Gleichungen
Bevor wir Dir gleich ein paar einfache algebraische Gleichungen zeigen, wollen wir eine wichtige Frage auflösen: Was ist eine Gleichung?
Eine Gleichung besteht aus zwei Termen, von denen jeweils ein Term auf der linken Seite und der andere auf der rechten Seite eines Gleichheitszeichens (=) steht. Die Gleichung zeigt also die Beziehung der beiden Terme an, nämlich dass sie gleich sind.
Statt eines Gleichheitszeichens kann eine Gleichung aber auch anzeigen, dass der Term auf der linken Seite größer (>) oder kleiner (<) ist als der Term der rechten Seite.
Spricht man von einer Gleichung, ist in der Regel eine algebraische Gleichung gemeint, also eine Gleichung, die neben Zahlen auch Buchstaben enthält.
Wie kann ich eine solche algebraische Gleichung auflösen?
Willst Du Gleichungen berechnen und auflösen, musst Du herausfinden, welche Zahlen die jeweiligen Buchstaben repräsentieren.
Anhand von Übungsaufgaben wollen wir im Folgenden anzeigen, wie leicht es ist, eine einfache Gleichung in eine algebraische Gleichung umzuwandeln, indem man einfach eine Zahl mit einem x ersetzt:
wird zu
wird zu
In dieser Übung wurden mehrere Zahlen mit x ersetzt. Bearbeiten wir die Aufgabe, werden wir zu der Lösung kommen, dass x den Wert 2 hat.
Der Buchstabe x wird gerne in algebraischen Gleichungen verwendet, ebenso der Buchstabe y, um ein unbekanntes Element in einer Gleichung zu kennzeichnen.
In jeder Gleichung gibt es Terme und Komponenten, die verschiedene Dinge darstellen. Enthält ein Term zum Beispiel Buchstaben und Zahlen, nennt man die Buchstaben Variablen und die Zahlen Koeffizienten.
Eine weitere Regel lautet: Wenn mehrere Terme genau die gleiche Variable enthalten, sind es ähnliche Terme. Das bedeutet, dass sie miteinander addiert, subtrahiert, dividiert und multipliziert werden können, als wären sie ganz normale Zahlen.
Manchmal ist es zur Lösung einer algebraischen Gleichung notwendig, die Terme neu anzuordnen und x vom Rest zu isolieren. Auch um eine Gleichung neu anzuordnen gibt es einfache Regeln, die Du befolgen musst. Erst danach kannst Du die Gleichung berechnen.
Die Information dieses Kapitels ist unabdingbar, um die Grundlagen und Funktionen der linearen Algebra zu verstehen und in Mathematik erfolgreich zu sein. Das gilt unabhängig davon, in welcher Klasse Du bist. Mit Nachhilfe Mathematik wirst Du der oder die Bester in Deiner Klasse sein.
Algebra Aufgaben und Lösungen
Algebra ist ein Fach, das wirklich vielen Menschen Kopfschmerzen bereitet. Zum Glück gibt es gerade aus diesem Grund zahlreiche online Quellen, die Schritt für Schritt Erklärungen und viel Information, aber auch zahlreiche Algebra Aufgaben und Lösungen bereitstellen. Du kannst im Internet sogar lustige Mathe-Lernspiele für jede Klasse und Altersstufe sowie interessante Podcasts zu verschiedenen mathematischen Themen finden. Am besten gleich abonnieren!
Schau Dir nach der Schule doch mal das Material auf den Seiten der KhanAcademy.org oder der Mathebibel an. Auf der Webseite der Khan Academy findest Du viel Information zu algebraischen Grundlagen und Regeln sowie Übungsaufgaben mit Lösungen für die 1. bis 8. Klasse. Die Khan Academy gibt es sogar als App Version. Oder spiele ein paar lustige und knifflige Spiele auf matheretter.de. Sogar Spiele wie Sudoku, Memory oder Schach sind eine super Übung.

Das macht definitiv mehr Spaß, als in einem Mathe-Buch zu lesen und dort Aufgaben mit Lösung zu suchen. Zu den verschiedenen E-Learning Möglichkeiten findest Du ebenfalls einen Artikel auf superprof.de.
Übrigens: Die Spiele sind nicht nur für Algebra gut, sondern auch Geometrie, Statistik & Co.
Hast Du Lust auf Mathe Nachhilfe online? Oder lieber vor Ort wie Mathe Nachhilfe Karlsruhe?
Wichtige Algebra Definitionen
Bist Du in diesem Artikel auf Begriffe und Ausdrücke gestoßen, die Dir unbekannt waren oder die Du einfach nicht mehr zuordnen konntest, geht es Dir höchstwahrscheinlich wie vielen anderen auch. Wir können ja schließlich nicht alle Genies der Mathematik sein.
Deshalb haben wir zum Schluss noch einmal ein paar spezifische Begriffe der Algebra mit samt Definition für Dich rausgesucht:
- Radikale: In der Mathematik ist ein Radikal eine Größe, die sich als Wurzel einer anderen bildet oder ausgedrückt wird.
- Zähler: Das ist die Zahl über der Linie in einem Bruch. Sie gibt an wie viele Teile des Nenners verwendet werden.
- Nenner: Das ist Zahl unter der Linie in einem Bruch. Sie ist ein Teiler.
- Lineare Algebra: Ein Teilgebiet der Mathematik, bei dem es insbesondere um das Bearbeiten von Gleichungssystemen und Matrizen geht.
Definitionen für andere Algebra Begriffe (beispielsweise die Variable) sowie eine Erklärung, was Algebra eigentlich ist, findest Du auch noch in anderen Artikeln zu diesem Thema bei Superprof. Lies auch die anderen Algebra Artikel für mehr Information!
Algebra liegt Dir leider so überhaupt nicht? Wir haben die Lösung für Dich:
Auf Superprof gibt es außerdem zahlreiche Angebote für Algebra Nachhilfe bei qualifizierten Nachhilfelehrer*innen in ganz Deutschland. Ein Nachhilfekurs lohnt sich für Schüler*innen jeder Klasse und Studierende, die sich in Mathematik verbessern wollen, aber auch zum Auffrischen für Erwachsene oder sogar bereits vor dem Algebra Unterricht in der Schule.
Natürlich helfen Dir die Nachhilfekräfte von Superprof nicht nur in Algebra, sondern auch in anderen Teilbereichen der Mathematik wie zum Beispiel Geometrie oder Statistik. Gib in die Suchleiste einfach ein, für was Du Nachhilfe suchst sowie Deinen Wohnort und Deine Klasse, und schon wird Dir Superprof alle verfügbaren Kurse in Deiner Nähe anzeigen.
Hol Dir gleich einen Nachhilfelehrer bzw. eine Nachhilfelehrerin, um die beste Hilfe in Mathe zu erhalten!