Ein Zylinder ist ein geometrischer Körper, der aus einem Rechteck besteht, das sich um eine seiner Seiten dreht.

Elemente des Zylinders
Ein senkrechter Zylinder besteht aus folgenden Elementen

Grundflächen des Zylinders
Dies sind die Kreise, die den unteren und oberen Rand des Zylinders bilden. Diese Kreise sind gleich und parallel.
Achse des Zylinders
Dies ist die Gerade, die durch die Mittelpunkte der Grundflächen des Zylinders verläuft; sie ist senkrecht zu den Grundflächen. Die Achse enthält die Seite des Vierecks, die sich um sich selbst dreht.
Höhe
Dies ist die Länge des Segments, dessen Enden die Mittelpunkte der beiden Grundflächen sind. Sie entspricht der Seite des Vierecks, die sich um sich selbst dreht.
Mantellinie
Dies ist die Seite, die gegenüber der Höhe liegt und den Zylinder erzeugt. Es gilt 
Seitenfläche des Zylinders
Sie ist gleich der Oberfläche des Zylinders ohne Berücksichtigung der Grundfläche
Fläche des Zylinders
Sie ist gleich der Gesamtoberfläche des Zylinders unter Berücksichtigung seiner Grundflächen
Volumen des Zylinders
Aufgaben
Berechne, wie viel Blech benötigt wird, um
Dosen in Form eines Zylinders mit einem Durchmesser von
und einer Höhe von
herzustellen.
1 Die benötigte Blechmenge ist die Gesamtfläche des Zylinders


2Die Gesamtmenge an Blech, die für
Dosen benötigt wird, ist

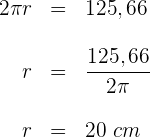
Die Höhe eines Zylinders ist genauso groß wie der Umfang der Grundfläche. Die Höhe beträgt
. Berechne die Gesamtfläche und das Volumen.
1 Zunächst nutzen wir die Tatsache, dass die Höhe gleich der Länge des Umfangs der Grundfläche ist, um den Wert des Radius zu ermitteln.

2 Wir berechnen die Gesamtfläche

3 Wir berechnen das Volumen

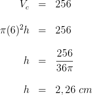
In ein Reagenzglas mit einem Radius von
werden vier Eiswürfel mit einer Kantenlänge von
gegeben. Wie hoch steigt das Wasser, wenn die Eiswürfel schmelzen?
1 Wir berechnen das Volumen
eines Eiswürfels

Das Volumen der vier Eiswürfel beträgt 
2 Um die Höhe des Reagenzglases zu ermitteln, setzen wir das Volumen des Glases
mit dem Volumen der vier Eiswürfel gleich

Ein zylindrisches Gefäß mit einem Radius von 10 cm und einer Höhe von 5 cm wird mit Wasser gefüllt. Wenn das volle Gefäß 2 kg wiegt, wie viel wiegt das Gefäß, wenn es leer ist?
1 Wir berechnen das Volumen des Gefäßes

2 Wir wissen, dass
gleich
sind. Deshalb rechnen wir das Volumen in
um

3 Somit wiegt das leere Gefäß 
Wenn der Radius der Grundfläche eines Zylinders um die Hälfte reduziert wird, ist dann sein Volumen gleich der Hälfte des ursprünglichen Volumens?
1 Wir berechnen das Volumen des Zylinders mit dem Radius
und der Höhe 

2 Wir berechnen das Volumen des Zylinders, dessen Radius um die Hälfte reduziert ist

3 Das Volumen des Zylinders mit dem halbierten Radius entspricht einem Viertel des Volumens des ursprünglichen Zylinders, nicht der Hälfte davon.
Es soll eine zylindrische Dose hergestellt werden, deren Radius ein Viertel der Höhe beträgt. Gib das Volumen und die Gesamtfläche der Dose in Abhängigkeit vom Radius der Dose an.
1 Wir berechnen das Volumen des Zylinders mit dem Radius
und der Höhe 

2 Wir nutzen die Tatsache, dass der Radius einem Viertel der Höhe entspricht, um die Höhe in Bezug auf den Radius auszudrücken

3 Wir setzen den Wert
in die Formel zur Berechnung des Volumens ein

4 Wir setzen den Wert
in die Formel zur Berechnung der Gesamtfläche ein

Die Höhe eines Zylinders wird um
Einheiten erhöht. Wie erhöht sich dadurch sein Volumen?
1 Wir berechnen das Volumen
des Zylinders mit dem Radius
und der Höhe 

2 Wir berechnen das Volumen
des Zylinders mit der Erhöhung der Höhe um
Einheiten

Das Volumen erhöht sich um
mal die Fläche der Grundfläche
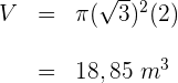
Wie groß ist das Volumen eines Zylinders mit der Höhe
, der in eine Kugel mit einem Radius von
eingeschrieben ist?
1 Wir berechnen den Radius
des Zylinders, der in eine Kugel mit dem Radius
eingeschrieben ist und wenden den Satz des Pythagoras an


2 Wir berechnen das Volumen
des Zylinders

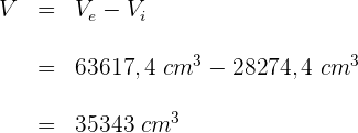
Ein Betonzylinder mit einem Durchmesser von
, einer Dicke von
und einer Höhe von
wird gegossen. Wie groß ist das Volumen des Betons, der für die Herstellung des Zylinders verwendet wurde?
1 Wir berechnen das Volumen
des äußeren Zylinders mit dem Durchmesser von
und der Höhe von 

2 Wir berechnen das Volumen
des inneren Zylinders mit dem Durchmesser von
und der Höhe von 

3 Die Menge
des benötigten Betons ist
.
Mit KI zusammenfassen:








