Bei einem Zufallsexperiment wird ein Würfel geworfen, bei dem die erreichten Punktzahlen notiert werden sollen. Berechne:
a Die Funktion der Verteilung und ihre Darstellung
b Die Funktion der Verteilung und ihre Darstellung
c Den Erwartungswert, die Varianz und die Standardabweichung
Bei einem Zufallsexperiment wird ein Würfel geworfen, bei dem die erreichten Punktzahlen notiert werden sollen. Berechne:
a Die Funktion der Wahrscheinlichkeit und ihre Darstellung
![]() | ![]() |
|---|---|
![]() | ![]() |
![]() | ![]() |
![]() | ![]() |
![]() | ![]() |
![]() | ![]() |
![]() | ![]() |
![]() | |

b Die Funktion der Verteilung und ihre Darstellung
![]() | ![]() |
|---|---|
![]() | ![]() |
![]() | ![]() |
![]() | ![]() |
![]() | ![]() |
![]() | ![]() |
![]() | ![]() |
![]() | ![]() |

c Den Erwartungswert, die Varianz und die Standardabweichung
![]() | ![]() | ![]() | ![]() |
|---|---|---|---|
![]() | ![]() | ![]() | ![]() |
![]() | ![]() | ![]() | ![]() |
![]() | ![]() | ![]() | ![]() |
![]() | ![]() | ![]() | ![]() |
![]() | ![]() | ![]() | ![]() |
![]() | ![]() | ![]() | ![]() |
![]() | ![]() |



Gegeben ist eine diskrete Zufallsvariable
, deren Wahrscheinlichkeitsfunktion wie folgt ist:
![]() | ![]() |
|---|---|
![]() | ![]() |
![]() | ![]() |
![]() | ![]() |
![]() | ![]() |
![]() | ![]() |
![]() | ![]() |
a Berechne die Verteilungsfunktion und stelle sie grafisch dar.
b Berechne die folgenden Wahrscheinlichkeiten:



Gegeben ist eine diskrete Zufallsvariable
, deren Wahrscheinlichkeitsfunktion wie folgt ist:
![]() | ![]() |
|---|---|
![]() | ![]() |
![]() | ![]() |
![]() | ![]() |
![]() | ![]() |
![]() | ![]() |
![]() | ![]() |
1 Berechne die Verteilungsfunktion und stelle sie grafisch dar

2 Berechne die folgenden Wahrscheinlichkeiten:






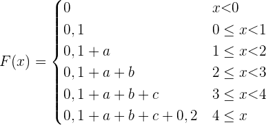
Gegeben ist die folgende Funktion der Verteilung
,
wobei
und
. Berechne den Erwartungswert, die Varianz und die Standardabweichung.
Gegeben ist die folgende Funktion der Verteilung
,
wobei
und
. Berechne den Erwartungswert, die Varianz und die Standardabweichung.
Da
und
, haben wir das folgende Gleichungssystem

Die Lösung ist
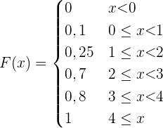
und
.Schließlich ergibt sich für die Verteilungsfunktion, dass

Wir setzen die Werte von
und
ein und lösen nach
auf. Wir erhalten
. Daraus folgt:

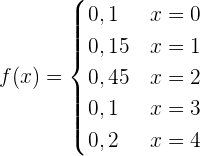
Aus der obigen Verteilungsfunktion lässt sich die Wahrscheinlichkeitsfunktion ableiten, die wie folgt gegeben ist

![]() | ![]() | ![]() | ![]() |
|---|---|---|---|
![]() | ![]() | ![]() | ![]() |
![]() | ![]() | ![]() | ![]() |
![]() | ![]() | ![]() | ![]() |
![]() | ![]() | ![]() | ![]() |
![]() | ![]() | ![]() | ![]() |
![]() | ![]() |



Ein Spieler wirft zwei Münzen. Er gewinnt
oder
€, wenn einmal oder zweimal Kopf erscheint. Andererseits verliert er
€, wenn Kopf nicht erscheint. Ermittle den Erwartungswert und ob dieser günstig ist.
Ein Spieler wirft zwei Münzen. Er gewinnt
oder
€, wenn einmal oder zweimal Kopf erscheint. Andererseits verliert er
€, wenn Kopf nicht erscheint. Ermittle den Erwartungswert und ob dieser günstig ist.




Der Erwartungswert ist durch
gegeben. Er ist somit nicht günstig.
Es wird ein Paar Würfel geworfen. Bestimme die Zufallsvariable
als die Summe der erhaltenen Punktzahlen. Ermittle die Wahrscheinlichkeitsfunktion, den Erwartungswert und die Varianz
Es wird ein Paar Würfel geworfen. Bestimme die Zufallsvariable
als die Summe der erhaltenen Punktzahlen. Ermittle die Wahrscheinlichkeitsfunktion, den Erwartungswert und die Varianz

![]() | ![]() | ![]() | ![]() |
|---|---|---|---|
![]() | ![]() | ![]() | ![]() |
![]() | ![]() | ![]() | ![]() |
![]() | ![]() | ![]() | ![]() |
![]() | ![]() | ![]() | ![]() |
![]() | ![]() | ![]() | ![]() |
![]() | ![]() | ![]() | ![]() |
![]() | ![]() | ![]() | ![]() |
![]() | ![]() | ![]() | ![]() |
![]() | ![]() | ![]() | ![]() |
![]() | ![]() | ![]() | ![]() |
![]() | ![]() | ![]() | ![]() |
![]() | ![]() |



Ein Spieler würfelt mit einem gewöhnlichen Würfel. Wenn
oder eine Primzahl gewürfelt wird, gewinnt er so viele Hundert Euro, wie der Würfel Punkte zeigt. Wenn aber keine Primzahl gewürfelt wird, verliert er so viele Hundert Euro, wie der Würfel Punkte zeigt. Ermittle die Wahrscheinlichkeitsfunktion und den Erwartungswert des Spiels.
Ein Spieler würfelt mit einem gewöhnlichen Würfel. Wenn
oder eine Primzahl gewürfelt wird, gewinnt er so viele Hundert Euro, wie der Würfel Punkte zeigt. Wenn aber keine Primzahl gewürfelt wird, verliert er so viele Hundert Euro, wie der Würfel Punkte zeigt. Ermittle die Wahrscheinlichkeitsfunktion und den Erwartungswert des Spiels.
![]() | ![]() | ![]() |
|---|---|---|
![]() | ![]() | ![]() |
![]() | ![]() | ![]() |
![]() | ![]() | ![]() |
![]() | ![]() | ![]() |
![]() | ![]() | ![]() |
![]() | ![]() | ![]() |
![]() |

Wenn eine Person ein Lotterielos kauft, bei dem sie entweder
€ oder einen zweiten Preis von
€ gewinnen kann, mit Wahrscheinlichkeiten von:
und
. Was wäre ein angemessener Preis für das Los?
Wenn eine Person ein Lotterielos kauft, bei dem sie entweder
€ oder einen zweiten Preis von
€ gewinnen kann, mit Wahrscheinlichkeiten von:
und
. Was wäre ein angemessener Preis für das Los?
Der Preis ist durch den Erwartungswert gegeben
€
Mit KI zusammenfassen:



























































































