Die Wahrscheinlichkeitsfunktion der Binomialverteilung, auch Bernoulli-Prozess genannt, lautet:
,
wobei
die Anzahl der Stichproben ist.
die Anzahl der Erfolge ist.
ist die Wahrscheinlichkeit des Erfolges.
ist die Wahrscheinlichkeit des Fehlschlags.
Die Anzahl der Kombinationen ist gegeben durch
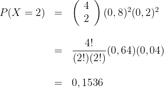
Beispiel für die Wahrscheinlichkeit für genau k Erfolge
Der neueste Roman eines Autors war so erfolgreich, dass 80% der Leser:innen ihn bereits gelesen haben. Berechne die Wahrscheinlichkeit, dass in einer Gruppe von vier Freunden, die gerne lesen, zwei den Roman gelesen haben.
1 Die Wahrscheinlichkeit, dass eine Person das Buch gelesen hat, beträgt 0,8, sodass die Wahrscheinlichkeit, dass sie es nicht gelesen hat, 0,2 beträgt.
2 Die Wahrscheinlichkeit, dass genau zwei Personen aus der Gruppe der vier Freunde den Roman gelesen haben, ist durch
gegeben.
3 Wir setzen die Daten in die Wahrscheinlichkeitsfunktion der Binomialverteilung ein
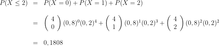
Beispiel für die Wahrscheinlichkeit für höchstens k Erfolge
Der neueste Roman eines Autors war so erfolgreich, dass 80% der Leser:innen ihn bereits gelesen haben. Berechne die Wahrscheinlichkeit, dass in einer Gruppe von vier Freunden, die gerne lesen, höchstens zwei den Roman gelesen haben.
1 Die Wahrscheinlichkeit, dass eine Person das Buch gelesen hat, beträgt 0,8, sodass die Wahrscheinlichkeit, dass sie es nicht gelesen hat, 0,2 beträgt.
2 Die Wahrscheinlichkeit, dass höchstens 2 Personen aus der Gruppe von 4 Freunden den Roman gelesen haben, ist durch
gegeben.
3 Wir setzen die Daten in die Wahrscheinlichkeitsfunktion der Binomialverteilung ein
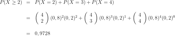
Beispiel für die Wahrscheinlichkeit von mindestens k Erfolgen
Der neueste Roman eines Autors war so erfolgreich, dass 80% der Leser:innen ihn bereits gelesen haben. Berechne die Wahrscheinlichkeit, dass in einer Gruppe von vier Freunden, die gerne lesen, mindestens zwei den Roman gelesen haben.
1 Die Wahrscheinlichkeit, dass eine Person das Buch gelesen hat, beträgt 0,8, sodass die Wahrscheinlichkeit, dass sie es nicht gelesen hat, 0,2 beträgt.
2 Die Wahrscheinlichkeit, dass mindestens zwei Personen aus der Gruppe von vier Freunden den Roman gelesen haben, ist durch
gegeben.
3 Wir setzen die Daten in die Wahrscheinlichkeitsfunktion der Binomialverteilung ein

Mit KI zusammenfassen:








