Der Grenzwert einer Folge ist die Zahl, der sich die Glieder einer Folge annähern.
Hierzu sehen wir uns einige Beispiele an.
Beispiele:
1 Wir sehen uns die folgenden Glieder einer Folge an
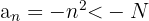
Die Folge ist divergent und ihr Grenzwert ist 
2 Wir sehen uns die folgenden Glieder einer Folge an
Die Folge nähert sich immer mehr 0. Daraus können wir schließen, dass ihr Grenzwert 0 ist.
3 Wir sehen uns die folgenden Glieder einer Folge positiver Zahlen an
Diese Glieder zeigen uns, dass die Folge gegen
konvergiert. Wenn wir die Werte weiter betrachten, sehen wir, dass der Grenzwert tatsächlich
ist.
Endlicher Grenzwert einer Folge
Eine Folge
hat genau dann den Grenzwert
für eine beliebige positive Zahl
, die wir nehmen, wenn es ein Glied
gibt, wobei alle Glieder von
die auf
folgen, die folgende Bedingung erfüllen:
Wir können den Grenzwert einer Folge auch anhand von Umgebungen definieren:
Eine Folge
hat genau dann den Grenzwert
, wenn für jede Umgebung von
, die wir nehmen, egal wie klein ihr Radius
auch sein mag, ein Glied der Folge existiert,
ab dem die folgenden Glieder zu dieser Umgebung gehören.
Beispiel:
1 Wir stellen fest, dass die Folge
den Grenzwert 0 hat.
Dazu nehmen wir eine Zahl
sehr nahe bei 0 und
sei eine natürliche Zahl, sodass
Somit haben wir für jede natürliche Zahl 

Dies zeigt uns, dass der Grenzwert 0 ist.
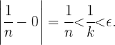
2 Ab welcher Zahl ist die Folge
kleiner als
? Wir nehmen einige Vielfache von
und berechnen die Folge für 
Für
haben wir
was impliziert, dass für Zahlen größer als 
die Folge kleiner als
ist. Tatsächlich können wir feststellen, dass die Folge abnimmt und ihr Grenzwert gleich 0 ist.
3 Ab welcher Zahl ist die Folge
kleiner als
?
Wir berechnen den Wert der Folge für bestimmte Werte, sagen wir 
Auf diese Weise können wir garantieren, dass ab
die gewünschte Bedingung erfüllt ist. Darüber hinaus ist zu beachten, dass für
die Folge weiter abnimmt
Unendlicher Grenzwert einer Folge
Eine Folge
hat den Grenzwert
, wenn für alle 
ein Glied
existiert, ab dem alle Glieder von
, die auf
folgen, die Bedingung
erfüllen.
Dies beschreibt folgende mathematische Formel
Beispiele:
1 Der Grenzwert einer Folge
ist 
Wir berechnen einige Werte der Folge.
Für 
Für jede natürliche Zahl
können wir
nehmen, sodass wir zu dem Schluss kommen, dass für jedes
gilt
gilt.
Dies zeigt uns, dass der Grenzwert unendlich ist.
Schließlich hat eine Folge
den Grenzwert
wenn für alle
ein Glied
existiert, ab dem alle Glieder von
, die auf
folgen, die Bedingung
erfüllen.
2 Der Grenzwert der Folge
ist
.
Wir berechnen einige Werte der Folge. Für 
Für jede natürliche Zahl
können wir
nehmen, sodass wir zu dem Schluss kommen, dass für jedes
gilt. Dies zeigt uns, dass der Grenzwert minus unendlich ist.
Mit KI zusammenfassen:








