Unendlich ist keine Zahl. Rechenoperationen, die wir mit
durchführen, sind lediglich ein Hilfsmittel, das uns bei der Lösung von Grenzwerten hilft.
Aufgben zu Folgen
Aufgaben zu Grenzwerten von Folgen der Form 


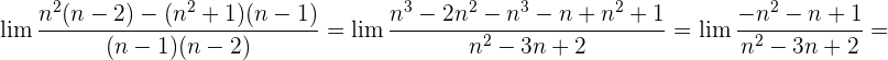
Wir faktorisieren
:




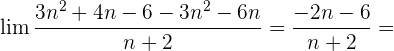
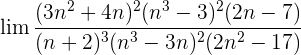
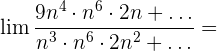
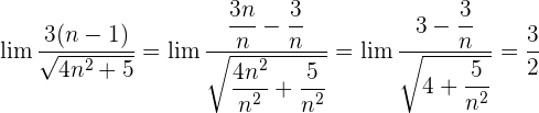
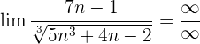
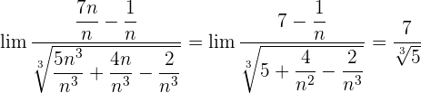
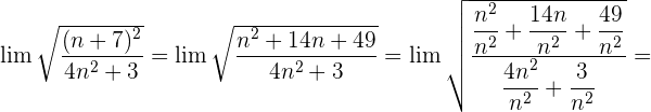
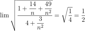
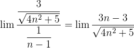
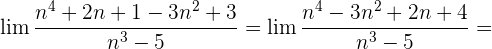
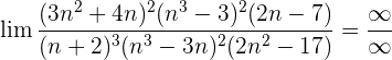
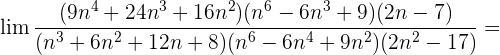
Wir dividieren jeden Faktor sowohl des Zählers als auch des Nenners durch



Wir dividieren jeden Faktor sowohl des Zählers als auch des Nenners durch 



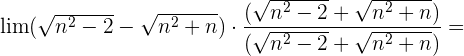
Multiplikation und Division durch das konjugierte Binom


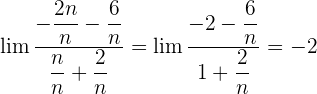
Wir dividieren jeden Faktor sowohl des Zählers als auch des Nenners durch 




Wir dividieren jeden Faktor sowohl des Zählers als auch des Nenners durch 


Aufgaben zu Grenzwerten von Folgen der Form 


Wir dividieren jeden Faktor sowohl des Zählers als auch des Nenners durch 



Wir dividieren jeden Faktor sowohl des Zählers als auch des Nenners durch
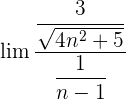
. Denke daran, dass das
innerhalb der Wurzel zu
wird.



Wir dividieren jeden Faktor sowohl des Zählers als auch des Nenners durch 



Wir dividieren jeden Faktor sowohl des Zählers als auch des Nenners durch 



Wir dividieren jeden Faktor sowohl des Zählers als auch des Nenners durch
. Denke daran, dass das
innerhalb der Kubikwurzel zu
wird



Wir dividieren jeden Faktor sowohl des Zählers als auch des Nenners durch
. Denke daran, dass das
innerhalb der Wurzel zu
wird



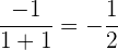
Wir separieren
und
. Im Anschluss dividieren wir durch

Aufgaben zu Grenzwerten von Folgen der Form
und 


Wir stellen den 1. Faktor unter die Wurzel und erhalten
.
Wir dividieren jeden Faktor sowohl des Zählers als auch des Nenners durch 




Wir wandeln um:
.

Wir dividieren jeden Faktor sowohl des Zählers als auch des Nenners durch
. Denke daran, dass das
innerhalb der Wurzel zu
wird



Wir wandeln um:
.

Wir dividieren jeden Faktor sowohl des Zählers als auch des Nenners durch 




Wir wandeln um:
.

Wir dividieren jeden Faktor sowohl des Zählers als auch des Nenners durch 




Wir wandeln um:
. Wir dividieren jeden Faktor sowohl des Zählers als auch des Nenners durch
. Denke daran, dass das
innerhalb der Wurzel zu
wird. 
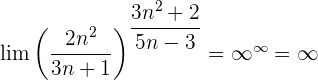
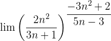
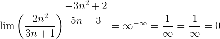
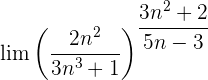
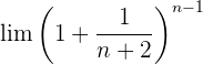
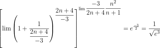
Aufgaben zu Grenzwerten von Folgen der Form 
Für diese Aufgaben müssen wir folgende Regeln beachten:
.
ist hierbei eine beliebige positive Zahl.

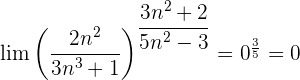
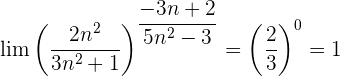
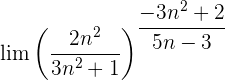
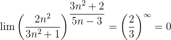
Wir werten direkt sowohl den Grenzwert der Potenz als auch den Grenzwert der Basis aus: 

Wir werten direkt sowohl den Grenzwert der Potenz als auch den Grenzwert der Basis aus: 

Wir werten direkt sowohl den Grenzwert der Potenz als auch den Grenzwert der Basis aus: 

Wir werten direkt sowohl den Grenzwert der Potenz als auch den Grenzwert der Basis aus: 

Wir werten direkt sowohl den Grenzwert der Potenz als auch den Grenzwert der Basis aus: 

Wir werten direkt sowohl den Grenzwert der Potenz als auch den Grenzwert der Basis aus: 

Wir werten direkt sowohl den Grenzwert der Potenz als auch den Grenzwert der Basis aus: 

Wir werten direkt sowohl den Grenzwert der Potenz als auch den Grenzwert der Basis aus: 
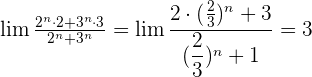
Aufgaben zu Grenzwerten von Folgen der Form 






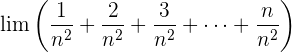
Aufgaben zu Grenzwerten von arithmetischen und geometrischen Folgen


Der Zähler ist die Summe der Glieder einer arithmetischen Folge. 


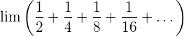
Wir haben die Summe von unendlich vielen Termen einer geometrischen Folge.

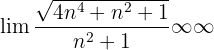
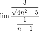
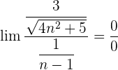
Aufgaben zu Grenzwerten von Wurzelfolgen


In dieser Aufgabe wenden wir im vorletzten Schritt die Formel der unendlichen geometrischen Folge an.

Wir stellen fest, dass
Entonces

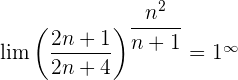
Der Exponent ist die unbegrenzte Summe einer abnehmenden geometrischen Folge:

Mit KI zusammenfassen:








