Kapitel
Vektorgleichung
In diesem Abschnitt erfährst du, wie du die Punkte
, die zu einer Ebene
gehören, als Vektoren darstellst.
Hierfür benötigen wir einen festen Punkt auf der Ebene
und zwei Vektoren mit unterschiedlichen Richtungen, nämlich
und
. Diese Vektoren werden Richtungsvektoren genannt.
Die Vektoren
und
sind Richtungsvektoren, da sie die Richtungen zur Festlegung der Punkte
auf der Ebene
vorgeben.
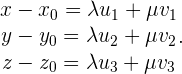
Die Vektorgleichung wird wie folgt aufgestellt:
- Wir nehmen einen Punkt
als Referenzpunkt der Ebene 
- Wir nehmen einen Vektor auf der Ebene
, der von
nach
verläuft. Dieser Vektor kann wie folgt festgelegt werden
- Da
und
ebenfalls zu
gehören und nicht dieselbe Richtung haben, ist es möglich, jeweils die Skalare
und
zu bestimmen. So können die Vektoren
und
gebildet werden, deren Summe
ist. Das heißt:

Wir erhalten
Das heißt:
Wir erhalten die Gleichung der Elemente der Ebene
in Vektorform:
Ebenengleichungen in Parameterform
Wenn wir mit der Vektorgleichung der Ebene arbeiten, erhalten wir die Gleichheit:
Diese Gleichheit ist gegeben, wenn:
So erhalten wir die Ebenengleichungen in Parameterform.
Allgemeine Form oder implizite Darstellung
Ein Punkt
befindet sich auf der Ebene
, wenn das System eine Lösung hat:
Dieses System muss für die Unbekannten
und
eindeutig lösbar sein· Daher muss die Determinante der erweiterten Matrix des Systems mit der Spalte der konstanten Glieder 0 sein.
Wir bestimmen die Determinante
und weisen die Werte zu:
Wir setzen ein:
Wir lösen die Klammern auf
und mit der folgenden Gleichheit
erhalten wir die allgemeine Form der Ebenengleichung:
Normalenvektor
Nun werden wir die Gleichung einer Ebene
mithilfe anderer Elemente aufstellen.
Zunächst nehmen wir einen Vektor, der senkrecht zur Ebene ist und Normalenvektor
genannt wird. Außerdem nehmen wir einen festen Punkt auf der Ebene 

ist ein Punkt auf der Ebene.
Wir bilden einen Vektor, der von
nach
verläuft:
Solch ein Vektor steht senkrecht zu
, da er zu
gehört.
steht senkrecht zu jedem Vektor der Ebene.
Da die beiden Vektoren senkrecht zueinander stehen, ist ihr Skalarprodukt null:
Auf diese Weise kann man die allgemeine Form der Ebenengleichung auch bestimmen, ausgehend von einem Punkt und einem Normalenvektor.
Ebenengleichung in Achsenabschnittsform
,
und
sind 3 Vektoren im Raum, durch den die Ebene
verläuft, und die sich auf den Bezugsachsen befinden.

Wir bestimmen die Gleichung von
in ihrer Achsenabschnittsform ausgehend von ihrer allgemeinen Form.
Wir nehmen an, dass wir die Gleichung der Ebene in ihrer allgemeinen Form
haben:
,
,
und
sind hierbei reelle Zahlen ungleich null.
Wir subtrahieren
von beiden Seiten der Gleichung und dividieren im Anschluss beide Seiten durch
. Wir erhalten:
Wir formen die Brüche um:
Die Nenner stimmen genau mit den Werten
,
und
der anfangs genannten Vektoren im Raum überein:

Somit haben wir bereits die Gleichung von
in ihrer Achsenabschnittsform:
Denke daran, dass
,
,
und
nicht null sein dürfen.
Aufgaben
1 Bestimme die Gleichungen der Ebene in Parameterform und in impliziter Form, die durch den Punkt
verläuft und die Richtungsvektoren
und
hat.
Da wir einen Punkt auf der Ebene und zwei Richtungsvektoren haben, setzen wir die Werte einfach in die Ebenengleichungen in Parameterform ein und erhalten:
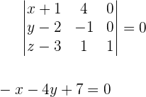
Um die Ebenengleichung in impliziter Form zu erhalten, schlagen wir folgende Gleichheit vor und lösen die Determinante:
Wir erhalten die gesuchte Gleichung:

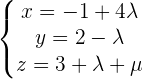
2Bestimme die Gleichungen der Ebene in Parameterform und in impliziter Form, die durch die Punkte
und
verläuft und den Vektor
hat.
Zunächst betrachten wir den Punkt
als Referenzpunkt auf der Ebene. Danach ermitteln wir ausgehend von
einen Vektor zum Punkt
mithilfe von
. Wir erhalten:
Dieser dient als der andere Richtungsvektor, sodass wir auf diese Weise alles in die Gleichungen der Ebene in ihrer Parameterform einsetzen können:
Nun können wir die Determinante bestimmen und erhalten so die allgemeine Form:
3Bestimme die Gleichungen der Ebene in Parameterform und in impliziter Form, die durch die Punkte
,
und
verläuft
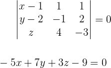
Der Punkt
ist hierbei ein Referenzpunkt auf der Ebene. Davon ausgehend können wir 2 Richtungsvektoren anhand von
und
bestimmen:


Unter Verwendung von
als Punkt der Ebene und der Richtungsvektoren können wir die Ebenengleichungen in Parameterform aufstellen:
Damit können wir die folgende Determinante (gleich null) lösen und erhalten die Ebenengleichung in impliziter oder allgemeiner Form:
4Gegeben ist die Ebene
mit den Gleichungen in Parameterform:
Überprüfe, ob die Punkte
und
zur Ebene gehören.
Zunächst bestimmen wir die Ebenengleichung anhand der folgenden Determinante:
Da wir nun die Gleichung haben, setzen wir die Punkte
und
ein, um herauszufinden, ob die Punkte zur Ebene gehören oder nicht:


Da wir ein Ergebnis ungleich null erhalten, gehört keiner der Punkte zu der Ebene.
5Bestimme die Gleichung der Ebene in Achsenabschnittsform, die durch die Punkte
,
und
verläuft.
Wir nehmen den Punkt
als Referenzpunkt und ermitteln davon ausgehend zwei Vektoren, die jeweils nach
und
verlaufen und uns als Richtungsvektoren dienen:
.
.
Mit dieser Information können wir anhand der Determinante die Ebenengleichung bestimmen:
Nun subtrahieren wir
und dividieren beide Seiten durch
. So erhalten wir die Gleichung in Achsenabschnittsform:
.
6Bestimme die Gleichung der Geraden
, die durch den Punkt
verläuft und senkrecht zur Ebene
steht.
Da die Gerade senkrecht zur Ebene steht, ist der Normalenvektor der Ebene der Richtungsvektor der Geraden, die durch den Punkt
verläuft.
Den Normalenvektor der Ebene erhalten wir aus den Koeffizienten der Variablen, also
. Damit können wir die Geradengleichung wie folgt darstellen::
.
7Bestimme die Gleichung der Ebene, die durch den Punkt
verläuft und die Gerade mit der folgenden Gleichung enthält:
.
Aus der Geradengleichung erhalten wir einen Punkt
und den Vektor
.
Den Punkt
können wir ermitteln, indem wir jeden Nenner 0 setzen, sodass die Gleichheit immer erfüllt ist, also
. Der Normalenvektor der Geraden ergibt sich aus den Nennern
.
Nun bilden wir den Richtungsvektor mit
und können u als den anderen Richtungsvektor festlegen:
.
.
Das bedeutet, dass wir die Gleichung der Ebene mit dem bereits erwähnten Verfahren ermitteln können, was zu folgendem Ergebnis führt
.
Mit KI zusammenfassen:








