Die Koordinaten der aufeinanderfolgenden Eckpunkte eines Parallelogramms sind
und
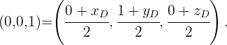
Die Koordinaten des Mittelpunktes
lauten
Ermittle die Koordinaten der Eckpunkte
und 
Wir sehen uns die folgende grafische Darstellung des Problems an.

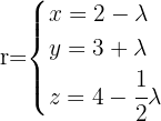
Wir sehen, dass der Punkt
auf einer Seite der Mittelpunkt der Punkte
und
ist. Somit:
Auf diese Weise können wir die folgenden Gleichungen verwenden, um die Koordinaten des Punktes
zu bestimmen.
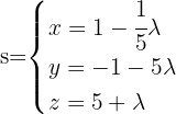
In ähnlicher Weise gehen wir vor, um die Koordinaten des Punktes
zu bestimmen.
Auf diese Weise lassen sich die Koordinaten des Punktes
mit Hilfe der folgenden Gleichungen bestimmen.


Gegeben ist das Dreieck mit den Eckpunkten
,
und
. Ermittle:
1 Die Gleichungen der Seitenhalbierenden des Dreiecks.
2 Die Koordinaten des Schwerpunktes des Dreiecks.
3 Die Koordinaten des Schwerpunkts des Dreiecks, dessen Eckpunkte die Mittelpunkte der Seiten des vorhergehenden Dreiecks sind.
Wir sehen uns die folgende grafische Darstellung des Problems an.

1Um die Seitenhalbierenden des Dreiecks zu finden, müssen wir zunächst die Mittelpunkte der Seiten des Dreiecks bestimmen:
Nun berechnen wir den Richtungsvektor der Seitenhalbierenden
Mit diesen Gleichungen und den Punkten
,
und
können wir die Gleichungen der Seitenhalbierenden aufstellen:

2Die Koordinaten des Schwerpunktes des Dreiecks. 
3Die Koordinaten des Schwerpunkts des Dreiecks, dessen Eckpunkte die Mittelpunkte der Seiten des vorhergehenden Dreiecks sind. 
Die Schwerpunkte der Dreiecke stimmen überein.
Ermittle die Gleichung der Geraden, die durch die Punkte
und
Untersuche, ob der Punkt
auf einer Geraden mit
und
liegt.
Um die Gerade zu bestimmen, die durch die Punkte
und
verläuft, müssen wir den Richtungsvektor bestimmen:
Die Gleichung der Geraden lautet
Damit der Punkt que el punto
auf einer Geraden mit
und
liegt, muss er auf der Geraden liegen, die durch
und
verläuft.

Da
die Gleichungen der Geraden nicht erfüllt, befindet er sich nicht auf einer Geraden mit
und
.
Ermittle die Werte von
, so dass die Punkte
,
und
auf einer Geraden liegen, und finde die Gleichungen der Geraden, die diese Punkte enthält.
Zunächst bestimmen wir den Wert der Vektoren
und
,
Damit sie auf einer Geraden liegen, muss
sein. Indem wir die Determinante der niedrigeren Werte der folgenden Matrix gleich 0 setzen, können wir den Wert von
berechnen,

Im Einzelnen haben wir


Bestimme den Wert von el valor de
so, dass die Punkte
,
,
und
in der gleichen Ebene liegen.
Zunächst ermitteln wir die Vektoren, die durch die Punkte
bestimmt sind: 
Damit die Punkte in der gleichen Ebene liegen, müssen die durch sie bestimmten Vektoren ebenfalls auf der gleichen Ebene liegen. Das heißt, der Rang der Vektoren ist 2.
Damit der Rang gleich 2 ist, muss die Determinante der Komponenten der Vektoren 0 sein.


Welche Beziehung muss zwischen den Parametern
,
und
geprüft werden, damit die Punkte
,
,
und
in der gleichen Ebene liegen?
Zunächst ermitteln wir die Vektoren, die durch die Punkte
bestimmt sind: 
Damit die Punkte in der gleichen Ebene liegen, müssen die durch sie bestimmten Vektoren ebenfalls in der gleichen Ebene liegen, d. h. der Rang der Vektoren muss 2 sein.
Damit der Rang gleich 2 ist, muss die Determinante der Komponenten der Vektoren gleich 0 sein.


Berechne den Wert von a, so dass die Punkte
,
,
und
in der gleichen Ebene liegen. Berechne auch die Gleichung der Ebene, die sie enthält.
Wir legen den Punkt
fest und berechnen die folgenden Vektoren mit Ausgangspunkt
,

Für diese Vektoren muss
gelten, weshalb die folgende Determinante 0 sein muss, 

Um schließlich die Gleichung der Ebene zu finden, betrachten wir die folgenden Vektoren und die folgende Determinante



Mit KI zusammenfassen:
