Definition einer Geraden
Eine Gerade
auf der Ebene ist durch einen beliebigen Punkt
und eine vorgegebene Richtung
definiert.

Vektorschreibweise der Geradengleichung
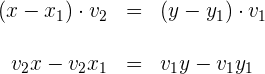
Wenn
ein Punkt der Geraden
ist, besitzt der Vektor
dieselbe Richtung wie der Vektor
und ist gleich dem Skalrprodukt von
und 

Bildet man die Differenz der Vektoren
, erhält man
Durch Auflösen nach
erhält man die Vektorgleichung der Geraden
Beispiel: Eine Gerade verläuft durch den Punkt
und besitzt den Richtungsvektor
. Stelle die Vektorgleichung der Geraden auf.
Setze den Punkt und den Richtungsvektor in die allgemeine Form der Geradengleichung in Vektorschreibweise ein
und du erhältst
Parameterform der Geradengleichung
Auf Basis der Vektorgleichung der Geraden erhält man durch Umformen:
Durch Gleichsetzen erhält man die Parameterform der Geradengleichung.
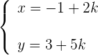
Beispiel: Eine Gerade verläuft durch den Punkt
und besitzt den Richtungsvektor
. Stelle ihre Gleichungen in Parameterform auf.
Setze den Punkt und den Richtungsvektor in die allgemeine Form der Geradengleichung in Vektorschreibweise ein
und du erhältst die Gleichungen in Parameterschreibweise
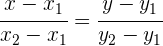
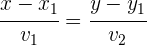
Hauptform der Geraden
Durch Eliminieren des Parameters
aus den Parametergleichungen und anschließendes Gleichsetzen erhält man die Hauptform der Geradengleichung.
Beispiel: Eine Gerade verläuft durch den Punkt
und besitzt den Richtungsvektor
. Stelle die Geradengleichung in der Hauptform auf.
Setze den Punkt und den Richtungsvektor in die Hauptform der Geradengleichung ein
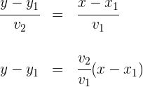
Punkt-Steigungsform der Geradengleichung
Löse ausgehend von der Hauptform der Geradengleichung die Nenner auf und vereinfache:
Mit
als Steigung
erhält man:
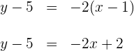
Beispiel: Stelle die Gleichung der Geraden auf, die durch die Punkte
und
verläuft.
Berechne die Steigung
Setze den Wert in die Punkt-Steigungsform der Geraden ein und du erhältst
Allgemeine Geradengleichung
Basierend auf der Hauptform der Geraden
Eliminiere die Nenner:
Bringe alle Terme auf die linke Seite:
Wandle um:
Du erhältst die allgemeine Geradengleichung.
Die Komponenten des Richtungsvektors sind:
Die Steigung der Geraden ist:
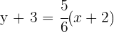
Beispiel: Stelle die Gleichung der Geraden auf, die durch den Punkt
verläuft und deren Steigung
ist.
Wende die Punkt-Steigungsform an und du erhältst
Bringe alle Terme auf die linke Seite:
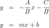
Explizite Form der Geraden
Wenn die allgemeine Geradenform nach
aufgelöst wird, erhält man die explizite Geradengleichung :
Der Koeffizient von
ist die Steigung
.
Das konstante Glied
wird als Ordinatenabschnitt (auch: Abschnitt auf der y-Achse) der Geraden bezeichnet, dessen Punkt
der Achsenabschnittspunkt ist.
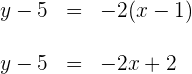
Beispiel: Stelle die explizite Gleichung einer Geraden auf, die durch den Punkt
verläuft und die Steigung
aufweist.
Ermittle die Gerade anhand der Punkt-Steigungs-Form
Löse nach
auf
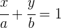
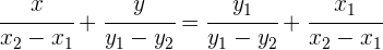
Kanonische (bzw. symmetrische) Geradengleichung
Wenn eine Gerade durch die Punkte
definiert ist, ist der Richtungsvektor
Durch Einsetzen dieser Werte in die Hauptform der Geraden erhält man die Gleichung für die Gerade, die durch zwei Punkte verläuft
Bringe alle Terme auf die linke Seite:
Du erhältst
die kanonische Geradengleichung

Beispiel: Stelle die kanonische Geradengleichung der Geraden auf, die durch
verläuft und deren Richtungsvektor
ist.
Stelle die Hauptform der Geradengleichung auf
Schreibe in die allgemeine Form der Geradengleichung um
Teile beide Seiten durch
un du erhältst
Gemischte Aufgaben
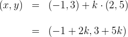
Stelle die Gleichung der Geraden in Vektorschreibweise auf, die durch die Punkte
und
verläuft. Stelle die Vektorgleichung der Geraden auf.
1 Der Richtungsvektor ist kollinear zum Vektor

2 Setze einen der Punkte und den Richtungsvektor in die Geradengleichung in Vektorschreibweise ein

und du erhältst

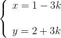
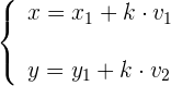
Stelle die Gleichung der Geraden in Parameterform auf, die durch die Punkte
und
verläuft. Stelle die Vektorgleichung der Geraden auf.
1 Der Richtungsvektor ist kollinear zum Vektor

2 Setze einen der Punkte und den Richtungsvektor in die Geradengleichung in Parameterform ein

Stelle die Hauptform der Geraden auf, die durch die Punkte
und
verläuft. Stelle die Vektorgleichung der Geraden auf.
1 Der Richtungsvektor ist kollinear zum Vektor

2 Setze einen der Punkte und den Richtungsvektor in die Hauptform der Geradengleichung ein

Stelle die Gleichung der Geraden auf, die durch
verläuft und einen Steigungswinkel von
aufweist.
1 Die Steigung der Geraden ist gleich dem Tangens des Steigungswinkels:

2 Durch Einsetzen in die Punkt-Steigungsform der Geraden erhältst du

Stelle die allgemeine Geradengleichung der Geraden auf, die durch die Punkte
und
verläuft.
1 Berechne den Richtungsvektor:

2 Berechne den Wert von 

3 Durch Einsetzen in die allgemeine Geradengleichung erhältst du

Mit KI zusammenfassen:








