Berechne den Abstand des Punkts
zur Geraden
der Gleichung 
Um den Abstand einer Geraden
mit der allgemeinen Gleichung
zu einem Punkt
zu berechnen, kann folgende Formel verwendet werden:
In diesem Fall ergeben sich für die Koeffizienten und Koordinaten des Punktes folgende Werte:

Durch Einsetzen der Variablen in die vorherige Formel erhält man
Der Abstand zwischen
und
ist also gleich 
Berechne den Abstand zwischen
und 
Für die vorgegebenen Geraden
und
gilt nur eine der folgenden Optionen: entweder sind sie parallel oder sie haben einen Punkt gemeinsam. Wenn sie parallel sind, können sie nebeneinander oder auch aufeinander liegen, also dieselbe Gerade beschreiben. Aufgrund dieser möglichen Optionen ist es wichtig, vor der Berechnung des Abstands der Geraden ihre Steigung zu berechnenm, um wissen, um welche der Optionen es sich handelt. Es handelt sich um parallele Geraden, wenn sie dieselbe Steigung haben. Andernfalls haben sie einen Schnittpunkt. Die Steigung einer Geraden in ihrer allgemeinen Form
wird am Term
erichtlich. Die Geraden
und
haben also die Steigungen
und
Da beide Geraden dieselbe Steigung haben, können wir also schlussfolgern, dass sie parallel zueinander sind. Diese Lagebeziehung kann auch als
dargestellt werden.Da
, müssen wir nun herausfinden, ob die Geraden deckungsgleich sind oder nebeneinander verlaufen. Dafür genügt es, einen Punkt auf
zu finden, der nicht auf
liegt. Um das zu ermitteln, setzen wir in der Geradengleichung von
und erhalten
; das bedeutet, dass
ein Punkt auf der Geraden
ist, aber kein Punkt auf der Geraden
, da
Für diesen Wert geht die Gleichung von
nicht auf. Wir können also schlussfolgern, dass
und
parallele Geraden sind, die nicht aufeinanderliegen. Jetzt wählen wir einen beliebigen Punkt
auf einer der beiden Geraden und berechnen den Abstand von diesem Punkt zur anderen Geraden. Wir nehmen den Punkt
, da wir bereits wissen, dass er
erfüllt. Wir verwenden die Formel
und erhalten
Eine Gerade verläuft parallel zur Geraden mit der Gleichung
und liegt
Einheiten vom Koordinatenurpsrung entfernt. Wie lautet ihre Gleichung?
Wir benennen die gesuchte Gerade mit
. Wie wir wissen, sind zwei Geraden dann parallel, wenn ihre Koeffizienten von
und
entsprechend proportional sind. Damit
müssen die Koeffizienten proportional sein, das heißt, die Gleichung, die die Gerade
beschreibt, muss die Form
haben.
Wir wissen auch, dass man den Abstand von einem Punkt
zu einer Geraden
anhand der folgenden Formel ermitteln kann:

Wenn der Punkt
im Koordinatenursprung liegt, wird die Formel reduziert:

D.h.für
muss gelten:

Wir prüfen, ob es tatsächlich Geraden gibt, die den Abstand
vom Ursprung haben und parallel zueinander sind:

Die Gleichungen der beiden Geraden lauten daher:
.
Gegeben ist ein Viereck
mit den Scheitelpunkten
und
. Berechne seine Fläche.

Die gesuchte Fläche erhalten wir, indem wir die Längen von
und
miteinander multiplizieren. Wir beginnen also mit der Berechnung der Seitenlängen.


Durch Multiplizieren der Werte erhalten wir:


Die Fläche des Vierecks beträgt also 20.
Berechne den Winkel, der zwischen den Geraden
und
liegt, wenn ihre Richtungsvektoren
und
sind.
Wenn
und
nicht Null sind, ist der Winkel, der zwischen ihnen liegt die einzige reelle Zahl
, für die gilt:
wobei
und
.Wir rechnen weiter und erhalten 

Daher ist
und folglich 
Berechne den Winkel, der zwischen den Geraden
und
liegt.
Um den Winkel zu berechnen, kannst du folgende Formel verwenden:

wobei
und
die Steigungen der Geraden
und
sind.
Wenn die Geradengleichung in die Form
gebracht wurde, wird die Steigung durch den Koeffizienten, der bei
steht angezeigt, das heißt durch
. Wir stellen
und
wie folgt dar:


und erhalten die Steigungen
und 
Durch Einsetzen der Steigungen erhalten wir:


Das heißt,
.
Finde eine parallele und eine orthogonale Gerade zu
, die beide durch den Punkt
verlaufen.
Wie wir wissen, sind zwei Geraden dann parallel, wenn sie dieselbe Steigung haben. Um eine parallele Gerade zu
zu finden, müssen wir erst ihre Steigung kennen.
Die Gleichung von
kann umgeschrieben werden:

In diesem Ausdruck ist die Steigung leicht ersichtlich, da sie durch den Koeffizient, der bei
steht, angezeigt wird, d.h. die Steigung ist
.
Wir nennen die gesuchte parallele Gerade
und ihre Steigung
. Wir haben herausgefunden, dass 
wobei
die Steigung von
ist.
Für die Koordinaten von
, durch den die parallele Gerade verläuft, können wir die Punkt-Steigungs-Formel verwenden:
.
Durch Einsetzen der bekannten Werte erhalten wir:


Wir können schlussfolgern, dass
und
.
Um eine orthogonale Gerade zu
zu finden, gehen wir ähnlich vor, aber mit einer anderen Bedingung bei der Steigung. Wir benennen die gesuchte orthogonale Gerade mit
. In diesem Fall muss für die Steigung
gelten, dass
, um die Orthogonalität zu gewährleisten. Daher ist
, also
.
Wir verwenden erneut die Punkt-Steigungs-Formel und die Koordinaten des Punktes
und erhalten

hat also die Gleichung
, wobei
.
Ermittle die Gleichung der Mittelsenkrechte des Segments mit den Endpunkten
und
.
Als Mittelsenkrechte eines Segments bezeichnet man den geometrischen Ort der Punkte der Ebene, die von den Enden gleich weit entfernt sind. Mathematisch gesehen, sind das die Punkte
, für welche die Gleichung 
für die Endpunkte
und
aufgeht. Es ist zu beachten, dass
und
Um die gesuchte Gleichung zu finden, setzen wir die beiden Gleichungen gleich und vereinfachen den Ausdruck:
Vereinfache weiter, indem du mit
multiplizierst:
Finde die Gleichung der Winkelhalbierenden der Winkel, die zwischen den Geraden
und
liegen.

Bei zwei sich schneidenden Geraden ist die Winkelhalbierende des Winkels, der zwischen ihnen liegt, der geometrische Ort auf der Ebene, der von beiden gleich weit entfernt ist. Wir suchen also die Gleichung der Punkte
, für die gilt:

Die Formel für den Abstand von einem Punkt
zu einer Geraden
ist durch folgende Formel definiert:

Aus der vorherigen Formel ergibt sich:

und

Durch Gleichsetzen von
erhalten wir

Wir multiplizieren mit
und erhalten

Wir erhalten also zwei Gleichungen:
und 
Jede beschreibt die Gleichung der zugehörigen Winkelhalbierenden.
Für die erste Gleichung erhalten wir

Für die zweite Gleichung erhalten wir

Ermittle die Gleichung der Geraden, die orthogonal zu
ist und durch den Punkt
verläuft.
Wir erkennen, dass die Steigung der Geraden
ist, da man die Steigung bei einer Gleichung mit der Form
am Koeffizienten von
ablesen kann.
Wir bezeichnen die gesuchte Gerade mit
. Ihre Steigung
sein, da das Produkt aus ihrer Steigung und der Steigung der Geraden
gleich -1 sein muss, damit die Orthogonalität gegeben ist.
Die Koordinaten von
können wir nun in die Punkt-Steigungs-Formel
einsetzen.
Die gesuchte Gleichung ist daher:

oder auch
Finde die Gleichung der Winkelhalbierenden der Winkel, die zwischen den Geraden
liegen.
Bei zwei sich schneidenden Geraden ist die Winkelhalbierende des Winkels, der zwischen ihnen liegt, der geometrische Ort auf der Ebene, der von beiden gleich weit entfernt ist. Wir suchen also die Gleichung, für deren Punkte
gilt:
.
Daher ist

und

Durch Gleichsetzen von
erhalten wir

Wir multiplizieren mit
und erhalten

Wir erhalten also zwei Gleichungen:
und
. Jede der beiden beschreibt die Gleichung einer der Winkelhalbierenden.
Für die erste Gleichung erhalten wir

Für die zweite Gleichung erhalten wir

Welcher Winkel liegt zwischen den Geraden mit den Gleichungen
a

b


s_2 \equiv \displaystyle\frac{x+4}{\sqr{3}}=\frac{y-1}{-1} [/latex
a
Da die Geradengleichungen in Parameterform vorliegen, können wir ihre Richtungsvektoren anhand der Koeffizienten von
ablesen. Das heißt
ist der Richtungsvektor von
und
ist der Richtungsvektor von
.
Wir verwenden nun die Formel zur Berechnung von Winkeln zwischen Vektoren

um den gesuchten Winkel zu erhalten.
Wir setzen die Koordinaten von
ein:



b
Die Richtungsvektoren dieser Geraden sind
und
.
Der Winkel, der zwischen ihnen liegt, ist wie folgt definiert:



Welcher Winkel liegt zwischen den Geraden mit den Gleichungen:
a

b

a
Zuerst müssen wir den Richtungsvektor jeder der Geraden ermitteln, um dann den Winkel dazwischen berechnen zu können. Gesucht ist der Winkel zwischen
und
.
Der Richtungsvektor einer Geraden
ist
. Für
und
haben wir also die Richtungsvektoren
und
.
Der Winkel zwischen den beiden Vektoren berechnet sich wie folgt:

Durch Einsetzen der Vektoren erhalten wir




b
In diesem Fall sind die Richtungsvektoren der Geradne
und
gleich
und
.
Wir sehen, dass


Das heißt, dass der Winkel zwischen
und
90º beträgt, da die Bedingung
gleich
ist.
Gegeben sind die Geraden
und
. Berechne die Steigung
so, dass zwischen den Geraden ein Winkel von 45° liegt.
Die Richtungsvektoren von
und
seien
und
. Gesucht wird
, sodass
Die vorherige Formel hilft uns dabei, den Winkel zwischen den beiden Geraden zu berechnen. Wir setzen die Koordinaten der Richtungsvektoren und den Winkel
ein und erhalten:
Wir quadrieren die gesamte Gleichung:

Nun multiplizieren wir die Gleichung mit 


Mithilfe der allgemeinen Formel für quadratische Gleichungen können wir die vorherige Gleichung lösen:
ist der Koeffizient des quadratischen Terms,
der Koeffizient des linearen Terms und
das konstante Glied. In unserem Fall sind sie durch folgende Werte gegeben:

Mit der allgemeinen Formel erhalten wir also





Die möglichen Lösungen für die Steigung, mit denen die gesuchten Bedingungen erfüllt werden, sind
und 
Eine Gerade ist orthogonal zur Geraden mit der Gleichung
und liegt
Einheiten vom Ursprung entfernt. Wie lautet ihre Gleichung?
Für jede beliebige Gleichung
in ihrer kanonischen Form

sind die Koordinaten des Richtungsvektors
.
Außerdem wissen wir, dass zwei Geraden
orthogonal sind, wenn ihre Richtungsvektoren
es ebenso sind, bzw. wenn

wobei
. In unserem Fall ist der Richtungsvektor von
gleich
.
Wir nennen die gesuchte Gerade
. Der Richtungsvektor von
hat die Koordinaten
, daher ist
.
Wir wissen außerdem, dass der Abstand von einem Punkt
zu einer Geraden
durch folgende Formel ermittelt werden kann:

Wenn der Punkt
im Koordinatenursprung liegt, wird die Formel reduziert:

D.h.für
muss gelten:

Wir prüfen, ob es tatsächlich Geraden gibt, die den Abstand
vom Ursprung haben und parallel zueinander sind:

Die Gleichungen der beiden Geraden lauten daher:
.
Gegeben ist das Dreieck
; Berechne die Gleichungen der Höhen und bestimme den Höhenschnittpunkt des Dreiecks.

Zuerst ermitteln wir die Gleichungen der Höhen des Dreiecks. Wir benennen die Gleichungen der drei Geraden mit
und
. Sie verlaufen entsprechend durch die Punkte
und
.
Für
ist
, dass heißt, die Steigung
des Segments
multipliziert mit der Steigung
von
muss als Lösung
ergeben.
Da wir die Koordinaten der Punkte
und
kennen, können wir die Steigung mit der Formel
berechnen.
und
Mit den Koordinaten von
,
und der Punkt-Steigungs-Formel können wir die Geradengleichung für
aufstellen.
ist also die Gleichung, die
definiert.
Durch Vereinfachen erhalten wir
.
Auf dieselbe Art können wir die anderen Gleichungen aufstellen.
Wir beginnen mit den Steigungen.


Dann nehmen wir die Punkt-Steigungs-Formel für 


und für 


Um die Koordinaten des Höhenschnittpunkts zu finden, genügt es, den Schnittpunkt von zwei der Höhenlinien zu ermitteln.
Wir lösen das lineare Gleichungssystem auf:

Der Höhenschnittpunkt liegt bei
.
Eine Gerade mit der Gleichung
ist die Mittelsenkrechte des Segments
mit Endpunkt
und den Koordinaten
. Bestimme die Koordinaten des anderen Endpunkts.

Die Gleichung, die die Gerade beschreibt, auf der das Segment
und der Punkt
liegen, nennen wir
.
Da die Gerade
die Mittelsenkrechte des Segments
sein muss, muss
gelten, das heißt,
, wobei
und
die entsprechenden Steigungen von
und
sind.
Aus der vorherigen Analyse ergibt sich
, denn aus
in der Form
erhalten wir
.
Mithilfe der Punkt-Steigungs-Formel ermitteln wir die Gleichung, die die Gerade beschreibt, die durch den Punkt
verläuft und die Steigung
hat. Wir vereinfachen den Ausdruck zu
und erhalten
.
Jetzt sehen wir, dass
, der Schnittpunkt von
und
, für die Gleichungen von
und
aufgehen muss. Um die Koordinaten von
zu finden, genügt es daher, das lineare Gleichungssystem aufzulösen:

Wir lösen das LGS und erhalten die Koordinaten des Punktes
;
.
ist außerdem der Mittelpunkt des Segments
, was mathematisch bedeutet, dass 
wobei
die Koordinaten von
sind.
Wir setzen Koordinate für Koordinate gleich und erhalten

Durch Einsetzen der bereits bekannten Werte von
und
erhalten wir
Folglich ist

Der Endpunkt
hat daher die Koordinaten
.
Finde den Symmetriepunkt
des Punktes
der Geraden 
Wir nennen die gesuchte Gleichung
. Sie beschreibt die Gerade, auf der das Segment
und der Punkt
liegen. Unserer Vermutung nach muss
erfüllt sein, das heißt
.
und
sind dabei die entsprechenden Steigungen der Geraden
und
.
Die Gleichung von
in ihrer expliziten Form ist
. Die Steigung von
ist daher einfach der Koeffizient von x, das heißt
. Daraus lässt sich schließen, dass
.
Mithilfe der Punkt-Steigungs-Formel ermitteln wir die Gleichung, die die Gerade beschreibt, die durch den Punkt
verläuft und die Steigung
hat. Wir vereinfachen den Ausdruck
und erhalten
.
Jetzt erkennen wird, dass
, der Schnittpunkt von
und
, beide Gleichungen erfüllen muss: die der Geraden
und die von
. Um die Koordinaten von
zu finden, genügt es daher, das lineare Gleichungssystem aufzulösen:

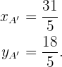
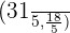
Wir lösen das LGS und erhaltendie Koordinaten des Punktes
:
.
ist der Mittelpunkt des Segments
und kann mathematisch so ausgedrückt werden:

sind dabei die Koordinaten von
.
Wir setzen Koordinate für Koordinate gleich und erhalten

Durch Einsetzen der bereits bekannten Werte von
und
erhalten wir

Folglich ist

Der Symmetriepunkt
hat also die Koordinaten
.
Mit KI zusammenfassen:
