„'Offensichtlich' ist das gefährlichste Wort in der Mathematik.“
― Eric Temple Bell (1883-1960)
Die Mathematik gilt oft als ein komplexes Fach, der Fluch der Schule, von Schülern und Erwachsenen gleich gefürchtet.
Vom natürlichen Logarithmus über logarithmische Gleichungen bis hin zur affinen Funktion, der Funktion mit Variationstabelle, Exponentialfunktionen, Integralrechnung, Matrix- und Vektorrechnung... einige Aspekte der Mathematik sind erschreckend!
Aber auch wenn die Mathematik erfolgreich dafür sorgt, dass vielen Gymnasiasten die Haare zu Berge stehen, gehört sie zu den Grundkenntnissen, die man beherrschen muss, wenn man in der Schule Erfolg haben will. Niemand entkommt der Mathematik!
Und später, beim Studium oder sogar in vielen Ausbildungen, werden wir von einem gewissen Sinn für Logik profitieren, den wir der Mathematik verdanken. Es ist also nicht umsonst, sich durch die Mathematik in der schiele zu quälen, auch wenn wir später etwas ganz anderes machen möchten. Sich mit Mathematik zu beschäftigen, ist Futter fürs Gehirn und verbessert die Effizienz des Gedächtnisses.
Mickaël Launey, ein bekannter Youtubeur und Mathematiker, veröffentlichte 2016 ein Werk mit dem Titel "Der große Roman der Mathematik", um zur Versöhnung mit der Materie beizutragen. Es ist Zeit, Frieden zu schliessen mit einem wichtigen Kapitel der Mathematik: Den Gleichungen.
Gerüstet mit einem Taschenrechner, etwas Motivation, einigen Erklärungen und etwas Übung, werden wir am Ende dieses Artikels wissen, wie man eine Gleichung löst!
Auf diese Weise wirst Du Dich in Zukunft, der Mathematik gelassener nähern können.
Superprof enthüllt hier das gesamte Universum von Gleichungen und Ungleichungen sowie die besten Tipps zur Lösung solcher mathematischer Probleme!
Was ist eine Gleichung?
In der Mathematik, wie in anderen Fächern auch, ist es wichtig, die Bedeutung der verwendeten Begriffe zu verstehen.
Dein Lehrer würde sicher sagen: Das Erfassen der Definition des mathematischen Wortschatzes ist unerlässlich, wenn Du Mathematik verstehen möchtest.
Du kannst die Dinge nicht richtig machen, wenn Du die Bedeutung nicht verstehst.
Zum Beispiel kannst Du die Asymptote nicht verstehen - eine Funktion, der sich eine andere Funktion bei deren immer größer werdender Entfernung vom Koordinatenursprung unbegrenzt nähert - wenn Du sie nicht grafisch darstellst.
Bevor man in der Mathematik eine Gleichung aufstellt, muss man die Definition kennen.
Laut dem Duden ist eine Gleichung ein "Ausdruck, in dem zwei unbekannte mathematische Größen gleichgesetzt werden".
Aus dieser ersten eher allgemeinen Definition ergeben sich die Begriffe "Größen" und "unbekannt". Diese beiden Begriffe werden Dich im Laufe des gesamten Mathematikunterrichts nicht verlassen.
Etwas mathematischer ist die Definition auf lernhelfer.de:
Eine Gleichung ist ein mathematischer Ausdruck, bestehend aus zwei Termen, die durch das Gleichheitszeichen verbunden sind. Die beiden Terme heißen linke bzw. rechte Seite der Gleichung.

Wenn die Begriffe zu kompliziert erscheinen, eignet sich eine Definition aus dem Mathematikunterricht der Mittelstufe möglicherweise besser, da sie einfacher formuliert ist: "Eine Gleichung ist eine Gleichheit, die eine Variable (oft als x bezeichnet) enthält, die zum Lösen von mathematischen Problemen dient."
Zum Lösen von Problemen! Das klingt doch vielversprechend, oder?
Wir verfügen jetzt eigentlich über alle Elemente, um eine Gleichung zu verstehen:
Es handelt sich also um eine Gleichheit zwischen zwei algebraischen Ausdrücken, die zur Lösung eines Problems dient. Es geht darum, eine oder mehrere Unbekannte zu finden, Variable(n) namens "x".
Spannend!
Egal um welche Art Gleichung es sich handelt: Nach einigen interaktiven Übungen, sollten wir alle in der Lage sein, sie zu lösen.
Die Fähigkeit, eine Gleichung zu lösen
Eine Gleichung zu lösen, gehört zu den Grundlagen der Mathematik und zu dem berühmten sogenannten "kartesischen Verstands des Mathematikers", den man sich im Laufe seiner Schulzeit angeeignet haben sollte. Man kann ihn übrigens auch online trainieren!
Der mathematische Verstand
Viele der Vorbehalte von Schülern gegenüber der Mathematik hängen damit zusammen, dass sie nicht sehen, wann sie all das im wirklichen Leben jemals brauchen werden.

In Wirklichkeit ist Mathematik ein wesentlicher Bestandteil unseres täglichen Lebens, auch wenn wir es nicht unbedingt realisieren. Ob wir Kochen, ein Haus kaufen oder das Urlaubsbudget berechnen, ist die Materie in unserem Leben allgegenwärtig.
Wie berechnet man zum Beispiel die Dachneigung eines zu sanierenden Hauses? Wie hoch ist der Anteil von Miete und Rechnungen am monatlichen Nettoeinkommen?
Wie kann ich ein neu gekauftes Fahrzeug amortisieren?
Dein Mathematiklehrer in der Schule oder ein über Superprof gefundener Nachhilfelehrer, wie z.B. Mathe Nachhilfe Hamburg, bringt Dir Fähigkeiten bei, die Dir jeden Tag Deines Lebens nützlich sein werden. Finde deinen auf dich zugeschnittenen Nachhilfekurs in deiner Stadt (z.B. Mathe Nachhilfe Karlsruhe)!
Nicht nur für Mathematiker ist es wichtig, eine Gleichung lösen zu können, ohne Fehler zu machen.
Das erfordert einige Grundvoraussetzungen:
- Rigorosität: Man muss rigoros sein, wenn man rechnet, und insbesondere, wenn man Gleichungen macht. Wenn Du mit einer Aufgabe konfrontiert bist, musst Du präzise arbeiten und mit Logik vorgehen,
- Gedächtnis: Mathematik trainiert das Gedächtnis. Wenn Du regelmäßig trainierst, stellst Du schnell den Zusammenhang zwischen einer Aufgabe und dem, was Du im Mathematikunterricht gelernt hast, her, um eine Gleichung zu lösen. Du wirst Dich auch an bereits gelöste Gleichungen erinnern, die ähnlich sind,
- Organisation: Um eine Gleichung aufzustellen, musst Du schrittweise vorgehen. Organisation, sowohl beim Lösen der Aufgabe als auch in der Arbeitsumgebung, ermöglicht es Dir, mit einer gewissen Gelassenheit an die Übung heranzugehen. Umgebe Dich mit sowenig Chaos wie möglich.
- Beharrlichkeit: Wir sind viel zu schnell bereit, einzugestehen, dass es angesichts einer schwierigen mathematischen Aufgabe keine Lösung gibt. Durchhalten heisst die Devise! Um gute Arbeit zu leisten, muss man einen Weg finden, um entweder die Mauer zu umgehen oder sie mit logischen Überlegungen zu überspringen.
- Logik: Durch systematische Wiederholung der immer gleichen Methoden zur Lösung einer Gleichung, beginnt man irgendwann die Logik zu verstehen, die hinter den Lösungen der Aufgaben steht.
Du brauchst also Rigorosität, Gedächtnis, Organisation, Beharrlichkeit und Logik, um mathematische Aufgaben zu lösen - gleichzeitig fördert aber auch das Lösen mathematischer Aufgaben all diese Eigenschaften, die Dir auch im täglichen Leben eine grosse Hilfe sein werden!
Du suchst noch verzweifelt nach Mathe Nachhilfe? Wir von Superprof helfen dir, den perfekten Mathe-Lehrer für dich zu finden in deiner Stadt (z.B. Mathe Nachhilfe Berlin).
Wann lernt man Gleichungen?

In der Grundschule lernen wir natürlich zu zählen, aber wir machen uns auch mit dem Kopfrechen vertraut. Wir beginnen zu addieren, zu subtrahieren, zu multiplizieren, zu dividieren (die berühmte euklidische Division). Der Stoff der Grundschule vermittelt die Grundlagen der Mathematik.
Wer erinnert sich nicht daran, als Kind Schwierigkeiten mit der schriftlichen Division gehabt zu haben? Es war nicht so einfach, alles am richtigen Ort zu platzierten (Dividende, Teiler, Quotient und Rest).
In der Grundschule beschränkt sich Mathematik auf die grundlegende Geometrie und auf einfache algebraische Berechnungen. Einige Lehrer führen bereits Bruchrechnung ein.
Ab der 5. Klasse tauchen allmählich Gleichungen und Ungleichungen auf.
Wir lernen die Symmetrie und wie man zwei Punkte auf einem Graphen verbindet und die Gleichungen, die nichts anderes sind als mathematische Formeln in Buchstabenform.
Hier ist ein Beispiel für eine Gleichung in der fünften Klasse: 7x + 5 = 3x - 15. Es gilt, die Unbekannten (x) finden.
Um eine solche Gleichung zu lösen, musst Du alle x auf eine Seite bringen und alle Zahlen auf die andere Seite. Beachte, dass sich das Vorzeichen jedes Mal ändert, wenn ein x oder eine Zahl die Seite wechselt.
So erhalten wir:
- 7x - 3x = -15 - 5,
- 4 x = -20,
- Folglich ist x = - 20 / 4 = - 5.
Um das Ergebnis zu überprüfen, kann x durch seinen Wert geändert werden. Wir gehen davon aus, dass x = -5 ist. Wir haben also 7 mal (-5) + 5 = 3 mal (-5) - 15 = - 30. Das Ergebnis ist also korrekt.
Auf die ersten Gleichungen folgen Brüche, negative Zahlen sowie Quadratwurzeln, der Satz des Pythagoras und der Strahlensatz, die Messung von Winkeln, gleichschenklige Dreiecke und und und...
Mit steigendem Niveau werden die Gleichungen komplexere Formen annehmen:
(8x-6) / 9 - (-10x-6) / 6 = (x-5) / 4.
Deshalb ist es wichtig, sich frühzeitig mit ihrer Logik vertraut zu machen!
Du suchst noch einen Mathe Abi Crashkurs? Superprof hilft dir dabei, deinen perfekt auf dich zugeschnittenen Kurs zu finden.
Eine Gleichung ersten Grades lösen
Die Gleichungen ersten Grades sind die am einfachsten zu lösenden Gleichungen.
Das Finden der Lösung für eine Gleichung ersten Grades erfordert nur vier Arten von Berechnungen: Addition, Subtraktion, Multiplikation und Division.
Wenn wir eine Gleichung ersten Grades mit einer Unbekannten lösen wollen, ist der Rechenweg recht einfach: Wir müssen nur den Wert von x (die berühmte Unbekannte) finden und isolieren.

Für eine einfache Gleichung ersten Grades gehen wir schrittweise vor:
- Isoliere die Unbekannte,
- Gruppiere die Terme,
- Dividiere,
- Schließe mit der Lösung ab.
Wie wir bereits gesehen haben, sollte die Berechnung für die Gleichung (3x-5 = –x +2) ungefähr so aussehen:
3x + x = 5 + 2 (hier wurde die Unbekannte isoliert),
4x = 7 (die Terme wurden gruppiert),
x = 7/4 (Division durch 4).
Ergebnis x = 7/4.
Zu Beginn - um dem Lehrer die logische Argumentation zu zeigen - zögere nicht, alle Zeilen der Demonstration zu schreiben, auch wenn diese offensichtlich und einfach erscheinen.
Wenn ein Rechenfehler das Ergebnis verschandelt, bekommt der Schüler immerhin ein paar Punkte, wenn er schrittweise seinen Rechenweg darstellt.
Die meisten Schüler können nun versuchen, die berühmteste Gleichung ersten Grades in der Geschichte der Mathematik zu lösen: das Epitaph (auf dem Grab) des Mathematikers Diophantus von Alexandria.
Es stammt aus dem 3. Jahrhundert nach Christus und ermöglicht es uns, das Alter zu bestimmen, in dem er starb.
Hier ist das Epitaph auf seinem Grab:
Hier dies Grabmal deckt Diophantos. Schauet das Wunder!
Durch des Entschlafenen Kunst lehret sein Alter der Stein.
Knabe zu sein, gewährte ihm Gott ein Sechstel des Lebens;
Noch ein Zwölftel dazu, sprosst' auf der Wange der Bart;
Dazu ein Siebentel noch, da schloss er das Bündnis der Ehe,
Nach fünf Jahren entsprang aus der Verbindung ein Sohn.
Wehe, das Kind, das vielgeliebte, die Hälfte der Jahr
Hat es des Vaters erreicht, als es dem Schicksal erlag.
Drauf vier Jahre hindurch mit der Grossen Betrachtung
Den Kummer von sich scheuchend, kam auch er ans irdische Ziel.
Etwas einfacher ausgedrückt: Diophantos' Jugend dauerte ein Sechstel seines Lebens. Ein Lebenszwölftel später wuchs ihm ein Bart, ein weiteres Siebtel seines Lebens später heiratete er und hatte fünf Jahre danach einen Sohn. Der Sohn lebte exakt halb so lang wie sein Vater und Diophantos verstarb vier Jahre nach dem Tod seines Kindes.
Umgerechnet in mathematische Begriffe lautet die zu lösende Gleichung: x = x / 6 + x / 12 + x / 7 + 5 + x / 2 + 4.
Wie löse ich Produktgleichungen?
Konkret hat eine Produktgleichung die folgende Form: (ax + b) (cx + d) = 0.
x ist immer die Unbekannte, a, b, c und d sind feste Werte, die in der Aufgabe angegeben sind. Für diejenigen, die sich mit Zahlen wohler fühlen als mit Buchstaben, könnte dies beispielsweise 2x + 2 sein.
Im Mathematikunterricht wird der Lehrer mit Sicherheit die elementare und grundlegende Regel für die Lösung dieser Art von Aufgaben erläutern, die Nullproduktregel : Ein Produkt von Faktoren ist nur dann Null, wenn mindestens einer der Faktoren Null ist.
Es müssen also so viele Gleichungen gelöst werden, wie es Faktoren gibt!

Am effektivsten ist es, zum Üben Gleichungen zu lösen, die anschliessend von einem Lehrer korrigiert werden.
Hier ist ein Beispiel für eine Nullprodukt-Gleichung, deren Lösung so ist, dass einer der beiden Faktoren Null ist:
(2x + 4) × (2x - 6) = 0
Die beiden Faktoren entsprechen den beiden Gleichungsgruppen in Klammern. Wir werden daher beide lösen müssen.
Die Lösungen der Gleichung (2x + 4) (2x - 6) = 0 sind die Zahlen x, so dass:
2x + 4 = 0
2x = -4
x = -4/2 = -2.
ODER
2x - 6 = 0
2x = 6
x = 6/2 = 3
Die Lösungen der Gleichung (2x + 4) (2x - 6) = 0 sind -2 und 3.
Das Lösen einer Gleichung zweiten Grades
Eine Gleichung zweiten Grades ist eine quadratische Gleichung. Um eine quadratische Gleichung zu lösen, muss man die grundlegenden Prinzipien zum Lösen von Gleichungen beherrschen.

Quadratische Gleichungen der Form ?⋅?2+?=0 enthalten einen quadratischen Teil, a⋅x2 und eine konstante Zahl ?. Zuerst musst Du die konstante Zahl auf die andere Seite der Gleichung bringen:
2⋅x2−32=0 |+32
2⋅x2=32
Anschließend teilst Du durch den Faktor, der vor dem x2 steht:
2⋅x2=32 | :2
Du erhälst also:
x2=16
Zum Schluss wird die Wurzel gezogen und Du erhältst zwei Lösungen:
x2=16 | √
x1=4 ∨ x2=−4.
Also lautet die Lösungsmenge: ?={−4 ; 4}.
Merke Dir, dass Du, nachdem Du die Wurzel gezogen hast, immer zwei Lösungen erhältst, eine positive und eine negative, ausser bei 0‾√=0. Außerdem solltest Du wissen, dass es nicht möglich ist, aus einer negativen Zahl die Wurzel zu ziehen. Die Gleichung x2+1=0 hat keine Lösung, ihre Lösungsmenge ist die leere Menge ?=∅.
Quadratische Gleichungen der Form a⋅x2+b⋅x=0 enthalten einen quadratischen Teil, a⋅x2 und einen linearen Teil b⋅x: 2⋅x2+8⋅x=0.
Als erstes musst Du einen gemeinsamen Faktor ausklammern. Dieser gemeinsame Teil ist in fast allen Fällen das ?:
Anschließend wendest Du folgenden Satz an: ,,Ein Produkt ist genau dann gleich Null, wenn mindestens ein Faktor gleich Null ist.“ Das bedeutet konkret, dass wenn wir zwei Faktoren miteinander multiplizieren und das Ergebnis Null sein soll, mindestens einer der beiden Faktoren Null sein muss. Denn, nur wenn wir mit Null multiplizieren, erhalten wir das Ergebnis Null.
Also:
Diese zweite (lineare) Gleichung kannst Du jetzt einfach nach x auflösen:
Die beiden Lösungen lauten also: ?={0 ; −4}
Quadratische Gleichungen der Form a⋅x2+b⋅x+c=0 enthalten einen quadratischen Teil, a⋅x2, einen linearen Teil, b⋅x und eine konstante Zahl, c. Gleichungen dieser Form musst Du mit Hilfe der ??-Formel oder der quadratischen Ergänzung lösen.
Lasst uns zuerst gemeinsam den Lösungsweg mittels der ??-Formel ansehen:
Bevor Du die ??-Formel anwendest, musst Du die Gleichung zuerst normieren. Das bedeutet, dass Du die gesamte Gleichung durch den Faktor, der vor dem ?2 steht, teilen musst. Hinterher sollte sie folgende Form haben:
Unsere Gleichung teilst Dy also durch 2 und erhält folglich:
Jetzt kannst hast Du bereits die Werte für p und q: p=8 und q=7. Das p ist immer der Wert, der vor dem linearen Teil steht und q ist immer die konstante Zahl in dieser Gleichung. Achte darauf, dass Du auch die Vorzeichen der beiden Werte mitnimmst, p und q können auch negativ sein! Jetzt bist Du soweit, dass Du die pq-Formel anwenden darfst. Die pq-Formel lautet:
Dann setzt Du die Werte für p und q in die pq-Formel ein:
Jetzt musst Du nur noch die beiden Lösungen berechnen:
Die Lösungsmenge lautet: ?={−7;−1}
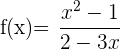
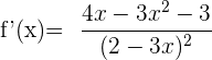
Die Quotientenregel
Es gibt verschiedene Regeln, um Funktionen abzuleiten. Eine dieser Ableitungsregeln ist die Quotientenregel. Die Quotientenregel wird angewendet, wenn sowohl im Zähler als auch im Nenner einer Funktion ein vorkommt.
Sind die Funktionen
und
von einem Intervall
in die reellen oder komplexen Zahlen an der Stelle
mit
differenzierbar, dann ist auch die Funktion
mit
an der Stelle
differenzierbar und es gilt:
Verwendet man die Kurznotation
Für die Ableitung folgender Funktion erhältst Du:
Ausmultipliziert erhältst Du
Löse eine Gleichung mit zwei Unbekannten

Hier ändert sich das Auflösungssystem.
Es geht nicht mehr darum, den Wert eines Unbekannten zu bestimmen, sondern erst ein Unbekanntes gegenüber dem anderen auszudrücken (Methode durch Substitution) oder erst x zu bestimmen, um dann y zu bestimmen (Methode durch Kombination).
Mit anderen Worten, mit zwei Unbekannten x und y suchen wir, wie viele x ein y wert sind oder umgekehrt.
Und genau das machen wir, wenn wir x als Funktion von y oder y als Funktion von x in der Substitutionsmethode ausdrücken.
Wir werden versuchen, diese beiden Methoden anhand von Beispielen zu beschreiben: durch Kombination und durch Substitution.
Die Kombinationsmethode
Wenn wir von einem sehr einfachen Fall ausgehen, in dem x + y = 1 ist, ist es mit nur dieser Information unmöglich, den Wert von x und y zu bestimmen. Deshalb sind zwei Gleichungen notwendig.
Ein Beispiel zum besseren Verständnis der Auflösung durch Substitution mit folgender Methode:
{2 x + 4 y = 20
{7 x + 8 y = 52
Zuerst müssen wir die Gleichungen "harmonisieren", so dass wir in beiden Fällen die gleiche Anzahl von x oder die gleiche Anzahl von y haben.
In diesem speziellen Beispiel ist es möglich, jeden Term der ersten Gleichung mit 3,5 zu multiplizieren, um die gleiche Anzahl von x in der ersten und in der zweiten Gleichung (in diesem Fall 7 x) zu erhalten.
Hier scheint es jedoch einfacher zu sein, mit dem y fortzufahren, indem jeder Wert einer Gleichung mit 2 multipliziert wird.
Welche von beiden, ist egal.
Wir erhalten für die erste Gleichung: 2 (2 x + 4 y) = 20 mal 2 und damit das folgende neue System:
{4 x + 8 y = 40
{7 x + 8 y = 52
Da wir in der ersten und in der zweiten Gleichung die gleiche Anzahl von y haben (es wäre auch möglich gewesen, dasselbe mit x zu tun), führen wir nun eine Subtraktion zwischen den beiden Gleichungen durch.
Wir subtrahieren also entweder die erste von der zweiten oder umgekehrt, das Ergebnis bleibt gleich.
Wir haben also:
- (7 x + 8 y) – (4 x + 8 y) = 52 – 40,
- 7 x + 8 y – 4 x – 8 y = 12,
- 3 x = 12,
- x = 4.
Nachdem wir den Wert von x kennen, ersetzen wir in den Anfangsgleichungen x durch den Wert 4. Das Auflösungssystem ist dann dasselbe wie eine Gleichung ersten Grades mit nur einer Unbekannten.
Wir erhalten für die erste Gleichung:
- 2 mal 4 + 4 y = 20,
- 4 y = 20 – 8,
- y = 12 /4 = 3.
Wir können die zweite Gleichung verwenden, um das Ergebnis zu überprüfen:
- 7 mal 4 + 8 y = 52,
- 8 y = 52 – 28,
- y = 24 / 8 = 3.
Die Lösungen der Gleichung sind daher x = 3 und y = 4.
Das Substitutionsverfahren

Die Substitutionsmethode ist etwas anders. Es geht darum, x direkt als Funktion von y auszudrücken oder umgekehrt.
Nehmen wir das zuvor verwendete Beispiel:
{2 x + 4 y = 20
{7 x + 8 y = 52
In der ersten Gleichung können wir x als Funktion von y ausdrücken.
- 2 x + 4 y = 20,
- 2 x = 20 – 4 y,
- x = 10 – 2 y.
Da wir nun einen Wert von x als Funktion von y haben, werden wir diesen Wert in der zweiten Gleichung erneut einfügen.
- 7 x + 8 y = 52,
- 7 ( 10 – 2 y) + 8 y = 52,
- 70 – 14 y + 8 y = 52,
- - 6 y = - 18 , folglich ist y = 3.
Wir können dann die erste Gleichung als Gleichung mit einem einzigen Unbekannten lösen.
- 2 x + 4 y = 20,
- 2 x + 4 (3) = 20,
- 2 x = 20 – 12,
- x = 4.
Wir sehen, dass wir mit beiden Methoden die gleichen Ergebnisse erzielen.
Hinweis:
Beachte, dass alle Systeme ersten Grades mit zwei Unbekannten durch Kombination oder durch Substitution gelöst werden können. In einigen Fällen ist eine der beiden Methoden schneller als die andere. Einige Schüler beherrschen die Kombinationsmethode besser, andere bevorzugen die Substitutionsmethode.
Das Wichtigste ist, dass Du Dich mit der von Methode wohl fühlst.
Wie stellst Du selbst eine Gleichung auf, um ein Problem zu lösen?
Im Mathematikunterricht oder in einer Prüfung, stehst Du vielleicht irgendwann vor der Aufgabe, ein gegebenes Problem mithilfe einer Gleichung zu lösen.

Untertitel: Wie erstelle ich die Variationstabelle für diesen Fluss? Eine hyperbolische oder lieber eine parabolische Kurve?
Die Methode ist einfach, aber Du musst gewissenhaft vorgehen, wenn Du sicher sein willst, dass die Antwort richtig ist:
- Lesen die Aussage mehrmals durch, um sie gut zu verstehen.
- Bestimme die Unbekannte (oder die Unbekannten),
- Übersetze und vereinfache den Text in mathematische Schrift.
- Löse die erhaltene Gleichung,
- Überprüfe das Ergebnis mehrmals,
- Formuliere die Antwort auf die Frage.
In einigen Fällen kann es sich um ein geometrisches Problem handeln.
Die Vorgehensweise ist dieselbe, Du musst lediglich einen zusätzlichen Diagrammentwurf mit Geometrielektionen erstellen, um ihn zu lösen.
Hier ist ein Beispiel für ein Problem, das in eine Gleichung umgewandelt werden kann:
Die drei Cousins Johannes, Janis und Lukas sind zusammen 60 Jahre alt. Wie alt bist du, wenn du weißt, dass Lukas dreimal so alt ist wie Janis und Johannes zehn Jahre jünger als Lukas?
In diesem zu lösenden Problem entsprechen die mit mehreren Gleichungen zu findenden Unbekannten dem jeweiligen Alter der drei Cousins!
Wie löse ich eine Ungleichung ersten Grades?
Wenn es auf das Abitur zugeht, werden Dir auch Ungleichungen begegnen.

Auch hier wird es notwendig sein, mit der Zerlegung von Begriffen vertraut zu sein und sich vor Zeichenänderungen in Acht zu nehmen.
Gleichungen und Ungleichungen sind vor allem während des naturwissenschaftlichen Studiums nützlich, um Modelle in Physik und Chemie zu berechnen oder um sich auf eine Prüfung vorzubereiten.
Deshalb ist es notwendig, sie bereits in der Schule zu lernen.
Mal sehen, wie man eine Ungleichung ersten Grades löst:
Betrachte die folgende Ungleichung 4 x + 5 ≤ x - 2.
Wenn wir diese Ungleichung lösen, müssen wir uns fragen, für welche Menge von Zahlen (Werte von x) wir 4 x + 5 kleiner oder gleich x - 2 haben.
Wir werden genauso vorgehen wie beim Lösen einer Gleichung ersten Grades:
4 x + 5 ≤ x - 2
⇔ 4 x ≤ x - 7 (wir schaffen den Wert 5 auf die andere Seite der Ungleichung, indem wir das Vorzeichen ändern):
≤ 4 x - x ≤ x - 7 - x
≤ 3 x ≤ -7
≤ x ≤ -7/3
Die Lösungen der Ungleichung sind daher die Mengen von Zahlen kleiner oder gleich -7/3.
Mit anderen Worten, die Menge der Werte, die kleiner oder gleich der Ungleichung 4 x + 5 ≤ x - 2 ist, ist die Menge der reellen und dezimalen Zahlen, die über ein unendliches Intervall bis einschließlich -7/3 definiert sind.
Weitere komplexe Gleichungen
Differentialgleichungen gehören zu den komplexeren Gleichungen.
Es handelt sich um eine Gleichung, bei der die Unbekannte eine Funktion ist und in Beziehung zu ihren Ableitungen steht.
Du solltest also mit Funktion vertraut sein und wissen, wie man eine Gleichung herleitet.
Wenn f (x) = y '= ay + b, wobei y die unbekannte Funktion ist, a und b bekannte Zahlen sind und f eine bekannte Funktion ist.
Die Lösungen auf der Menge der reellen Zahlen (die Annotation ist R) der Differentialgleichung y '= ay + b sind die Funktionen f (x) = keax - b / a, wobei k irgendeine reelle Konstante ist.
Natürlich sind die Differentialgleichungen nicht für Anfänger gedacht, sie stehen auf dem Lehrplan für Abiturenten.
Logarithmische Gleichungen lösen
Diese Art von Gleichung ist nicht die einfachste, aber einige Stunden private Mathe Nachhilfe können Wunder wirken und den Lernenden aus einer Sackgasse führen.

Beginne mit der Umwandelung der logarithmischen Gleichung durch eine Gleichung mit Exponenten.
y = logb (x) genau dann, wenn by = x.
Der Wert von b muss streng positiv sein und darf nicht gleich 1 sein.
Wir müssen die Basis (b), die Potenz (y) und den Exponentialausdruck (x) identifizieren.
Sei Gleichung 5 = log4 (1024):
b = 4,
y = 5,
x = 1024.
Passe dann an den angegebenen Wert an: 45 = 1024.
Um den Wert von x zu finden, müssen wir jetzt den natürlichen Logarithmus isolieren.
Um dies zu erreichen, übergeben wir alle nicht-logarithmischen Elemente an die andere Seite der Gleichung:
log3 (x + 5) + 6 = 10,
log3 (x + 5) + 6 - 6 = 10 - 6,
log3 (x + 5) = 4.
Die logarithmisches Schreibweise muss in die exponentielle Schreibweise umgewandelt werden, um x zu finden.
Wir erhalten 34 = x + 5 (nach der Formel y = logb (x) genau dann, wenn by = x). Jetzt hast Du es mit einer Gleichung ersten Grades zu tun, und es wird leicht, x zu finden:
34 = x + 5,
x + 5 = 81,
x = 76.
Buche jetzt auf Superprof Deine Mathe Nachhilfe München.
Wie vertiefe ich meine Mathe-Kenntnisse?

Wer seine Fähigkeiten im Lösen von Gleichungen langfristig vertiefen möchte, dem stehen mehrere Lösungen zur Verfügung.
Privater Nachhilfeunterricht in Mathematik direkt vor Ort oder als Nachhilfe Mathe online per Videounterricht bei wird dafür sorgen, dass Du schnell Fortschritte machen wirst.
Die Rolle eines Mathematik-Nachhilfelehrers besteht darin, seine Schüler dabei zu unterstützen, Verständnismechanismen und -automatismen zu entwickeln. Auf der Superprof-Plattform sind viele gute, passionierte Mathematiklehrer wie etwa Mathe Nachhilfe Nürnberg vertreten. Zögere nicht, einen von ihnen zu bitten, Dir zu helfen, wenn Du Schwierigkeiten hast.
Ob der Schüler Probleme hat, eine Gleichung zu lösen, ob er mit Dezimalzahlen, relativen Zahlen, rationalen Zahlen oder reellen Zahlen auf Kriegsfuss stehst... ein Nachhilfelehrer wird da sein, um Dich zu unterstützen und mit Dir zusammen die richtige Methode zu finden. Schon mal an Mathe Nachhilfe Köln gedacht?
Er wird in der Lage sein, die Gleichungssysteme im Rhythmus seines Schülers zu erklären und das auch noch auf unterhaltsame Weise und mit interaktiver Pädagogik.
Übe regelmäßig, indem Du Arbeitsblätter löst oder online auf YouTube Mathematikstunden nimmst. Zusätzlich zu Nachhilfeunterricht in Mathe, wirst Du auf diese Weise schnell besser in Mathematik!
Wir halten also zusammenfassend fest:
Gleichungen und Ungleichungen bilden den Kern der Arithmetik (nicht zu verwechseln mit Algebra) und spielen in der mathematischen Disziplin und in vielen mathematischen Aufgaben eine grosse Rolle.
Gleichungen ersten oder zweiten Grades mit einer oder mehreren Unbekannten werden Dir in Deiner schulischen Laufbahn ständig begegnen.
Mathematische Flächenberechnung, grafische Darstellung, Exponentialfunktionen, lineare Algebra oder Wahrscheinlichkeitsrechnung helfen Dir ein Leben lang und entwickeln Dein kognitives Denken und Deinen kartesischen Geist - ein guter Grund, sich mit ihnen zu beschäftigen!
Tatsächlich gibt es aber selbst heute noch ungelöste Rätsel der Mathematik, die bisher noch nicht einmal die größten Mathematiker enthüllen konnten! Das beruhigt ein wenig, oder??
Mit KI zusammenfassen:









