Wie funktioniert Bruchrechnen? Das haben sich schon eine Menge Schüler vor Dir gefragt, keine Sorge! Du bist nicht der einzige, der sich fragt, wozu man das lernen sollte.
Beim Bruchrechnen geht es um Dinge, die nicht „ganz“ sind, sondern eben nur Bruchstücke. Bildlich kannst Du Dir das mit einer Pizza vorstellen, die Du in mehrere, gleichgroße Teile/Bruchstücke teilst. Halbierst Du sie einmal in der Mitte, erhältst Du zwei Hälften, also
. Halbierst Du die Hälften auch einmal durch, erhältst Du vier Viertel, also
. Beide Rechnungen, also
und
, ergeben 1, eine ganze Pizza. Teilst Du die Pizza in gleichgroße 8 Teile und nimmst Dir 5 davon, schreibst Du
, das heißt 5 von 8 Stücken.

Das ist die Bruchrechnung einfach erklärt. Sie bildet zudem die Grundlage für viele weitere Themen der Mathematik und andere Fächer wie der Physik. Wer sie also beherrscht, hat schon gewonnen!
Was ist also ein ggT oder ein kgV? Was ist ein Kehrwert und wie geht das Addieren mit Brüchen?
Wie geht Bruchrechnung? Das erklären wir Dir in diesem Artikel.
Die Schreibweise
Der Zähler steht immer über dem Bruchstrich, der Nenner darunter. Zum Beispiel ist im Bruch „ein Halb“ die 1 der Zähler und die 2 der Nenner: 
Dabei bedeutet der Bruchstrich nichts anderes, als dass man die 1 durch die 2 teilt. Der Strich hat also dieselbe Funktion wie das Geteiltzeichen (:).
Bruchrechnen bei der Addition
Um zwei Brüche zusammen zu zählen, müssen sie zunächst auf einen gemeinsamen Nenner gebracht werden. Im Anschluss wird dann gekürzt:
Was ist in der Aufgabe
der gemeinsame Nenner? Dazu können die beiden Nenner miteinander multipliziert werden, also 2x4=8. 8 ist also der gemeinsame Nenner.
Nun kannst Du jedoch nicht einfach
schreiben, Du musst auch den Zähler mit derselben Ziffer wie den Nenner mal nehmen, denn der Wert des Bruches muss gleich bleiben. In dem Fall also mit der 4. Das macht dann
. Den anderen multiplizieren wir mit 2, daraus wird
.
Nun können wir die beiden Brüche, nachdem sie erweitert wurden, miteinander addieren:
Jetzt können wir kürzen. Warum kürzt man Brüche? Um kleinere Zahlen zu erhalten, mit denen man einfacher rechnen kann. Dabei werden Zähler und Nenner durch die gleiche Zahl ohne Rest geteilt.
Welches ist hier der größte gemeinsame Teiler (ggT) des Ergebnisses? Die 2. Wir teilen also Zähler und Nenner durch die 4, das macht dann
.

Natürlich können die beiden Summanden auch schon durch 2 gekürzt werden (
), so ersparst Du Dir das Kürzen am Ende.
Der gemeinsame Nenner zweier oder mehrere Brüche fällt Dir manchmal auch einfach ins Auge! In unserem Beispiel ist nicht die 8 der kleinste gemeinsame Vielfache (kgV), sondern die 4. Es würde also reichen, den ersten Bruch, also
, mit der 2 mal zu nehmen. Das ergibt dann
.
Den kgV braucht man, um Brüche zu addieren oder zu subtrahieren.
Wie heißen die Grundrechenarten der Mathematik?
Bruchrechnen bei der Subtraktion
Wie auch bei der Addition ist der Vorgang derselbe: Zuerst werden die Brüche auf einen gemeinsamen Nenner gebracht (den kgV oder das Produkt beider Nenner) dann werden sie voneinander abgezogen, und abschließend wird der Ergebnisbruch gekürzt, wenn nötig.
Wenn Du das 1x1 auswendig kennst, wirst Du den kleinsten gemeinsamen Vielfachen schnell finden. Ansonsten nimmst Du die beiden Nenner einfach mal, bevor Du die beiden Brüche voneinander abzuziehst.
Was ist in der Aufgabe
der gemeinsame Nenner? Das kann entweder die 36 sein (also 6x9), oder der kgV, sprich die 18. Wir entscheiden uns für den kgV, um möglichst kleine Zahlen zu erhalten.
Du multiplizierst also den ersten Bruch mit der 3 und den zweiten mit der 2. Das macht dann
.
Nun kürzt Du wieder, am besten durch 2, das ergibt dann
.
Bruchrechnen bei der Multiplikation
Bei der Multiplikation ist es nicht nötig, einen gemeinsamen Nenner zu finden. Es reicht, jeweils die Zähler und die Nenner miteinander malzunehmen. Und am Ende kürzt Du, wenn möglich.
In unserem Beispiel
rechnest Du also 5x8 und 6x2. Der Endbruch lautet dann
. Den kann man durch die 4 kürzen, das macht dann
.
Wie rechnet man im Dreisatz?
Bruchrechnen bei der Division
Bei der Division wird nichts anderes als multipliziert, und zwar mit dem Kehrwert des zweiten Bruchs! Nehmen wir als Beispiel die Aufgabe
. Hier kehren wir den zweiten Bruch, also
, um:
Nun kürzen wir
durch 6, das ergibt
, also 2.

Brüche kürzen und erweitern
Noch einmal zusammenfassend: Kürzen bedeutet, Zähler und Nenner eines Bruchs durch die gleiche Zahl zu teilen. Dabei darf jedoch nicht durch Null geteilt werden.
Allgemein gilt, je kleiner der Bruch, desto leichter ist es, mit ihm zu rechnen. Du kannst einen Bruch natürlich auch mehrfach kürzen, zum Beispiel erst durch die 2, und dann durch eine andere Ziffer. Sobald Du siehst, dass ein Bruch kürzbar ist, kürze ihn!
In der Aufgabe
ist die 100 ein gemeinsamer Teiler. So ergibt sich
, das sieht doch schon sympathischer aus. Die 3 ist auch ein Teiler von 9: 
Der ggT ist hier die 300. Teilst Du
durch 300, erhältst Du sofort 3.
Erweitern bedeutet, Zähler und Nenner eines Bruchs mit der gleichen Zahl zu multiplizieren. Mit Null kannst Du jedoch nicht mal nehmen. Brüche erweitern musst Du, wenn Du welche addieren oder subtrahieren möchtest, um sie auf einen gemeinsamen Nenner zu bringen. Erweitern ist das Gegenteil von kürzen.
Beispiel:
erweitert mit 4 ergibt 
Dabei bleibt der Wert des Bruches gleich.
Was sind die Grundlagen der Mathematik?
Doppelbrüche
Doppelbrüche oder Mehrfachbrüche haben zwei oder mehrere Bruchstriche.
Wenn zum Beispiel im Zähler ein Bruch steht, kann dessen Nenner in den Nenner des Hauptbruchs geschrieben werden und wird mit letzterem mal genommen. Hier ein Beispiel:
Natürlich kann zusätzlich auch im Nenner ein Bruch stehen. Hier wird der Zählerbruch mit dem Kehrwert des Nennerbruchs multipliziert:
Übrigens: Eine schnelle und einfache Möglichkeit eine Nachhilfe Mathe Berlin zu finden, ist Superprof! Schau vorbei!
Gemischte Zahlen
Bei gemischten Zahlen oder Brüchen ist der Zähler größer als der Nenner. Als Beispiel nehmen wir
. Du hast hier also 5 ganzen Pizzen und zwei Viertel Pizzen. Um nun mit diesem gemischten Bruch rechnen zu können, musst Du ihn umrechnen, das heißt, die ganze Zahl (5) in den Zähler mit einbringen.
Dafür multiplizierst Du den Nenner mit der ganzen Zahl (4x5=20) und addierst den Zähler hinzu (20+2=22). Der Nenner bleibt derselbe. Das ergibt dann:
Nun kannst Du mit diesem Bruch addieren, subtrahieren, multiplizieren und dividieren.
Möchtest Du eine gemischte Zahl erzeugen, also den umgekehrten Weg gehen, rechnest Du wieder zurück.
Bei
rechnest Du, wie oft die 4 in die 22 hineinpasst. Das tut sie 5x, und übrig bleiben
. Das Ergebnis lautet also
.

Bruchterme
Bruchterme sind Brüche, deren Nenner eine Variable enthalten, also ein x, y oder einen anderen Buchstaben, wie zum Beispiel in
Bruchterme kommen in Bruchgleichungen vor, das ist eine Gleichung mit mindestens einem Bruchterm.
Dabei muss darauf geachtet werden, dass die eingesetzte Variable im Nenner nicht bewirken darf, dass der Nenner Null wird, denn man darf nicht durch Null teilen.
Unsere Beispielgleichung lösen wir jetzt nach x auf:
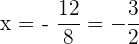
Zuerst nehmen wir beide Seiten der Gleichung mit (2+x) mal, damit die 4 alleine steht. Dann lösen wir in der zweiten Zeile die Klammer nach dem Distributivgesetz auf. Nun ziehen wir auf beiden Seiten die 16 ab (3. Zeile), dividieren durch 8 (vierte Zeile), und wir erhalten den Wert der Variablen x. Durch Kürzen erhalten wir
. Wie schreibt sich dieser Bruch als gemischte Zahl? Genau: 
Um zu wissen, ob das Ergebnis stimmt, setzt Du
in die Ursprungsgleichung für x ein und rechnest aus. Da das Ergebnis negativ ist, wird aus dem Plus unter dem Strich ein Minus. Und wie schon oben im Absatz über die Division erklärt, nehmen wir den Kehrwert von
:
Der Wert der Variablen x ist also korrekt!
Alles verstanden? Hier findest Du tolle Aufgaben zum Üben.
Was sind Funktionen? Eine Nachhilfe Mathe München kann dir das im Nu erklären!
Mit KI zusammenfassen:









