Mathematik brauchst Du nicht nur in der Schule. Sie kann und wird Dir in Deinem ganzen Leben nützlich sein, ob im privaten oder beruflichen Bereich. Bevor du auf Nachhilfe Mathe zurückgreifst, stellen wir Dir die Grundlagen vor, die Du auf jeden Fall beherrschen solltest.
Die Grundrechenarten
Die vier Grundrechenarten bilden die Grundlage der Mathematik. Ihnen begegnest Du nicht nur im Matheunterricht sondern auch in Deinem ganzen Leben. Es ist also wichtig, sie gut zu beherrschen.
Wie heißen sie? Addition, Subtraktion, Multiplikation und Division.
Bei der Addition werden die Zahlen zusammengezählt. Die Zahlen, die man miteinander summiert, nennt man Summanden, das Ergebnis die Summe: Summand + Summand = Summe.
Beim schriftlichen Addieren addiert man Einer, Zehner, Hunderter, Tausender und so weiter jeweils einzeln. Die Zahlen schreibt man dafür untereinander (die Einer immer unter die Einer, die Zehner unter die Zehner und so weiter). Nun wird von hinten nach vorne addiert, also zuerst die Einer (hier also 4+2=6), dann die Zehner (3+4=7) und dann die Hunderter (2+1=3) usw.:
_234
+142
_376
Wenn dabei ein Übertrag entsteht, wird nur der Einer dieser Summe unter den Strich geschrieben und der Zehner bei der nächsten Addition dazugerechnet. Zählst Du im folgenden Beispiel die Einer zusammen (7+5), kommt 12 heraus. Also schreiben wir den Einer des Ergebnisses unter den Strich (2) und addieren den Zehner (1) zu den Zehnern unserer Aufgabe hinzu (4+2+1). Dann addieren wir die Hunderter zusammen, und wir haben das Ergebnis:
_247
+125
_372

Bei der Subtraktion werden Zahlen voneinander abgezogen. Die Zahl, von der man abzieht, bezeichnet man als Minuend, die Zahl, die abgezogen wird, als Subtrahend. Das Ergebnis nennt man Differenz: Minuend – Subtrahend = Differenz.
Beim schriftlichen Subtrahieren werden Einer, Zehner, Hunderter, Tausender und so weiter wieder untereinander geschrieben und jeweils voneinander abgezogen. Zuerst werden die Einer, dann die Zehner und dann die Hunderter voneinander abgezogen:
_345
- 123
_222
Sollen mehrere Zahlen von einer anderen subtrahiert werden, werden sie miteinander addiert (2+4) und dann von der ersten Zahl abgezogen (13-6):
_13
- 2
- 4
_-7
Eine Multiplikation ist quasi dasselbe wie eine Addition, nur dass es schneller geht! Indem Du das 1x1 auswendig lernst, kannst Du in Blitzgeschwindigkeit rechnen. Statt 5+5+5 kannst Du dann einfach 5x3 rechnen und weißt sofort, dass das Ergebnis 15 ist.
Die Zahlen, die miteinander multipliziert werden, nennt man Faktoren, das Ergebnis das Produkt: 1. Faktor x 2. Faktor = Produkt.
Beim schriftlichen Multiplizieren schreiben wir die kleinere Zahl nach dem Malzeichen und multiplizieren diese Zahl mit jeder einzelnen Zahl der größeren:
Für 1324x2 rechnen wir also zuerst 2x4, dann 2x2, dann 2x3 und als letztes 2x1. Das Ergebnis ist also 2648.
1324 x 2
__-2648
Dividieren bedeutet teilen. Die Zahl, durch die geteilt wird, nennt man Dividend, die teilende Zahl Divisor und das Ergebnis Quotient: Dividend : Divisor = Quotient
Wie geht das schriftliche Dividieren? Nehmen wir als Beispiel 125:5. Wir fragen uns: Wie oft passt die 5 in die 1 hinein? Gar nicht. Also nehmen wir den Zehner hinzu: Wie oft passt die 5 in die 12 hinein? Zwei Mal:
125:5=2
10
_25
Da 2x5=10, schreiben wir die 10 unter die 12 und den Rest (2) unter den Strich. Die 5 holen wir hinunter, und nun rechnen wir aus, wie oft die 5 in die 25 passt:
125:5=2
10
_25
_25
__0
Das Ergebnis ist also 25.
Hier findest Du tolle Online-Übungen zu den Grundrechenarten.
Bruchrechnung: Wie geht Bruchrechnen?
Beim Bruchrechnen geht es um Dinge, die nicht ganz sind, also um Bruchteile. Nimmst Du Dir zum Beispiel von einem Kuchen, der in 12 gleich große Stücke geschnitten ist, 5 Stücke, so schreibt man das
, also fünf von zwölf oder „fünf Zwölftel“.
Dabei steht der Zähler auf dem Bruchstrich und der Nenner darunter.

Möchte man zwei Brüche miteinander addieren, müssen sie auf denselben Nenner gebracht werden. Dazu multiplizierst Du entweder die beiden Nenner miteinander, oder Du suchst nach dem kgV, dem kleinsten gemeinsamen Vielfachen.
Möchtest Du zum Beispiel
und
zusammenzählen, multiplizierst Du entweder die Nenner (4x6), das macht dann 24, oder Du überlegst Dir, welches der kgV ist. Das ist in unserem Fall die 12, denn sowohl die 4 als auch die 6 sind von 12 ein Vielfaches.
Den Bruch
erweiterst Du also, indem Du ihn mit 3 multiplizierst (das macht dann
) und den Bruch
mit 2, um auf denselben Nenner zu kommen (
).
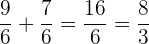
Nun kannst Du sie zusammenzählen (dabei addierst Du jedoch nur die Zähler, der Nenner bleibt gleich:
) und kürzt den Bruch, um einen kleineren zu erhalten. Hier bietet sich der Teiler 4 an, das macht dann
.
Du kannst die Brüche natürlich auch schon vor dem Addieren kürzen, zum Beispiel durch 2, statt
ergibt das dann
.
Sobald Du einen Bruch siehst, der gekürzt werden kann, kürze ihn, da es sich mit kleineren Zahlen einfacher rechnen lässt.
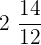
nennt man übrigens eine gemischte Zahl, da der Zähler größer als der Nenner ist. Du kannst sie auch als
schreiben.
Auch bei der Subtraktion müssen die Brüche auf einen Nenner gebracht werden.
Bei der Multiplikation und Division werden jedoch Zähler mit Zähler und Nenner mit Nenner einfach multipliziert/dividiert.
Der Dreisatz einfach erklärt
Mit dem Dreisatz rechnest Du Aufgaben mit Werten, die proportional oder antiproportional zueinander stehen. Es vergrößern sich entweder beide Werte (proportional), oder nur ein Wert vergrößert sich und der andere wird kleiner (antiproportional). Der Lösungsweg besteht aus drei Schritten, daher der Name Dreisatz.
Es handelt sich um eine proportionale Zuordnung, wenn Du die Aufgabe mit „je mehr, desto mehr“ formulieren kannst.
Du möchtest zum Beispiel 400g Haselnüsse kaufen. 500g kosten 8,50€. Je mehr Haselnüsse Du kaufst, desto höher wird der Preis.
Um den Preis für 400g auszurechnen, wenden wir den Dreisatz an:
500g ≙ 8,50€ (hier teilen wir durch 5, um den Preis für 100g auszurechnen)
100g ≙ 1,70€ (nun multiplizieren wir mit 4)
400g ≙ 6,80€
Für 400g Haselnüsse musst also 6,80€ zahlen.

Um eine antiproportionale Zuordnung handelt es sich, wenn Du die Aufgabe mit „je mehr, desto weniger“ formulieren kannst. Hier wird der umgekehrte Dreisatz angewandt.
Zum Beispiel brauchen zwei Personen 3 Stunden, um einen Rasen zu mähen. Helfen jedoch noch drei andere mit ihren Rasenmähern mit (also 5 Personen), brauchen sie insgesamt weniger Zeit. Doch wie viel?
Schreiben wir zunächst auf:
2 Personen ≙ 3 Stunden
Um auf eine Person zu kommen, wird links durch 2 geteilt und rechts mit 2 multipliziert:
1 Person ≙ 6 Stunden
Um auf 5 Personen zu kommen, multiplizieren wir links mit 5 und teilen rechts durch 5:
5 Personen ≙ 1,2 Stunden
Auf der rechten Seite musst Du also immer mit dem Gegenteil rechnen.
Was ist eine Funktion?
Funktionen sind Zuordnungen zwischen zwei Mengen. Dabei wird einem x-Wert jeweils ein y-Wert zugeordnet. Die Definitionsmenge ist die Menge der x-Werte, die Zielmenge oder Wertemenge die Menge der y-Werte.
Die gängige Schreibweise sieht so aus: f(x)=3x-1. Das ist die Funktionsgleichung, oder kürzer: y=3x-1. Dabei nennt man 3x-1 den Funktionsterm.

Mit einer Funktionsgleichung werden die Zahlen der Definitionsmenge jeweils einer Zahl der Zielmenge zugeordnet. Das x im Funktionsterm steht für jedes Element aus der Definitionsmenge, das in die Gleichung eingesetzt wird. Heraus kommt dabei ein Element aus der Zielmenge.
Funktionen lassen sich auch in ein Koordinatensystem einzeichnen. Der Funktionsgraph zeigt uns visuell, welcher y-Wert zu welchem x-Wert gehört und dass jeder Zahl x genau eine Zahl y zugeordnet wird. Es ist aber auch möglich, dass zwei x-Zahlen denselben y-Wert zugeordnet bekommen.
In der Mathematik gibt es u.a. proportionale Funktionen, lineare Funktionen, quadratische Funktionen, Potenzfunktionen, Exponentialfunktionen und trigonometrische Funktionen. In der Mathe Nachhilfe Bochum oder einer Stadt in deiner Nähe kannst du noch mehr über die Funktionen lernen.
Mit KI zusammenfassen:


















