In diesem Artikel werden wir uns Aufgaben ansehen, in denen wir die Häufigkeitstabelle für einen gegebenen Datensatz ausarbeiten.
Im Monat Juli wurden in einer Stadt folgende Höchsttemperaturen gemessen:


Erstelle dazu die Häufigkeitstabelle. Diese muss Folgendes enthalten: alle Daten, absolute Häufigkeiten, kumulierte Häufigkeiten, relative Häufigkeiten und kumulierte relative Häufigkeiten.
Folgende Merkmale sind vorhanden:
1 In die erste Spalte der Tabelle schreiben wir die Variable, aufsteigend angeordnet.
2 In die zweite Spalte schreiben wir die absolute Häufigkeit (wie oft jeder spezifische Wert vorkommt, nämlich
.
3 In die dritte Spalte schreiben wir die kumulierte Häufigkeit (Die Summe der absoluten Häufigkeiten der aktuellen und der vorherigen Variablen), also
.
4 Die erste Zeile zeigt, dass die absolute und die kumulierte Häufigkeit gleich sind: 
5 Für alle Zeilen außer der ersten Zeile gilt, dass die kumulierte Häufigkeit gleich der absoluten Häufigkeit dieser Zeile plus der kumulierten Häufigkeit der vorherigen Zeile ist, also

6 Die letzte kumulierte Häufigkeit muss gleich
sein (Summe aus
), d. h.
.
7 In die vierte Spalte schreiben wir die relativen Häufigkeiten, nämlich
, die sich aus der Division der einzelnen absoluten Häufigkeiten durch die Gesamtdaten ergeben, nämlich
.
8 In die fünfte Spalte schreiben wir die kumulierte relative Häufigkeit
.
9 Die erste Zeile zeigt, dass die kumulierte relative Häufigkeit und die relative Häufigkeit gleich sind: 
10 Für alle Zeilen außer der ersten Zeile gilt, dass die kumulierte relative Häufigkeit gleich der relativen Häufigkeit dieser Zeile plus der kumulierten relativen Häufigkeit der vorhergehenden Zeile ist, also

Die Häufigkeitstabelle sieht also wie folgt aus
| xi | fi | Fi | ni | Ni |
|---|---|---|---|---|
| 27 | 1 | 1 | 0,032 | 0,032 |
| 28 | 2 | 3 | 0,065 | 0,097 |
| 29 | 6 | 9 | 0,194 | 0,290 |
| 30 | 7 | 16 | 0,226 | 0,516 |
| 31 | 8 | 24 | 0,258 | 0,774 |
| 32 | 3 | 27 | 0,097 | 0,871 |
| 33 | 3 | 30 | 0,097 | 0,968 |
| 34 | 1 | 31 | 0,032 | 1 |
| 31 |
Das jeweilige Gewicht von
Mitarbeiter*innen einer Fabrik ist durch folgende Tabelle gegeben
| Gewicht | fi |
|---|---|
| [50, 60) | 8 |
| [60, 70) | 10 |
| [70, 80) | 16 |
| [80,90) | 14 |
| [90, 100) | 10 |
| [100, 110) | 5 |
| [110, 120) | 2 |
Erstelle die entsprechende Häufigkeitstabelle.
Wir beachten, dass für die Häufigkeitstabelle Folgendes gelten muss
1 In die erste Spalte der Tabelle schreiben wir die Intervalle oder Gruppen. Die erste Spalte ist somit vollständig.
2 In die zweite Spalte schreiben wir die absolute Häufigkeit (wie oft jeder spezifische Wert vorkommt), nämlich
. Diese Spalte ist also vollständig.
3 In die dritte Spalte schreiben wir die kumulierte Häufigkeit (Die Summe der absoluten Häufigkeiten der aktuellen und der vorherigen Variablen), nämlich
.
4 Die erste Zeile zeigt, dass die absolute und die kumulierte Häufigkeit gleich sind: 
5 Für alle Zeilen außer der ersten Zeile gilt, dass die kumulierte Häufigkeit gleich der absoluten Häufigkeit dieser Zeile plus der kumulierten Häufigkeit der vorherigen Zeile ist, also

6 Die letzte kumulierte Häufigkeit muss gleich
sein (Summe aus
), d. h.
.
7 In die vierte Spalte schreiben wir die relativen Häufigkeiten, nämlich
, die sich aus der Division der einzelnen absoluten Häufigkeiten durch die Gesamtdaten ergeben, nämlich
.
8 In die fünfte Spalte schreiben wir die kumulierte relative Häufigkeit
.
9 Für die erste Zeile gilt, dass die kumulierte relative Häufigkeit und die relative Häufigkeit gleich sind: 
10 Für alle Zeilen außer der ersten Zeile gilt, dass die kumulierte relative Häufigkeit gleich der relativen Häufigkeit dieser Zeile plus der kumulierten relativen Häufigkeit der vorhergehenden Zeile ist, also

Die Tabelle ist also gegeben durch
| xi | fi | Fi | ni | Ni | |
|---|---|---|---|---|---|
| [50, 60) | 55 | 8 | 8 | 0,12 | 0,12 |
| [60, 70) | 65 | 10 | 18 | 0,15 | 0,27 |
| [70, 80) | 75 | 16 | 34 | 0,24 | 0,51 |
| [80,90) | 85 | 14 | 48 | 0,22 | 0,73 |
| [90, 100) | 95 | 10 | 58 | 0,15 | 0,88 |
| [100, 110) | 105 | 5 | 63 | 0,08 | 0,96 |
| [110, 120) | 115 | 2 | 65 | 0,03 | 0,99 |
| 65 |
Ein Zahnarzt beobachtet, wie oft Karies bei jedem von
Kindern einer bestimmten Schule vorkommt. Die erhaltenen Informationen sind in der nachstehenden Tabelle zusammengefasst:
| Anzahl Karies | fi | ni |
|---|---|---|
| 0 | 25 | 0,25 |
| 1 | 20 | 0,2 |
| 2 | x | z |
| 3 | 15 | 0,15 |
| 4 | y | 0,05 |
Vervollständige die Tabelle, indem du die Werte für
ermittelst.
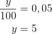
Es gilt immer, dass die Summe aller relativer Häufigkeiten
ist. Dies bedeutet, dass

Daher ist
. Daraus ergibt sich, dass
die relative Häufigkeit der Gruppe mit
Mal Karies ist, während die absolute Häufigkeit
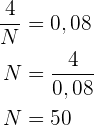
ist. Wir beachten auch, dass
ist, da es sich um Daten von
Kindern handelt. Da somit die relative Häufigkeit die absolute Häufigkeit zwischen
ist, nutzen wir diese Tatsache, um
zu bestimmen.

Nun müssen wir nur noch
bestimmen, das die absolute Häufigkeit der Gruppe mit
Mal Karies ist. Die relative Häufigkeit ist
. Da die relative Häufigkeit die absolute Häufigkeit zwischen
ist, nutzen wir diese Tatsache, um
zu bestimmen.

Nun haben wir alle nötigen Daten, um die Tabelle zu vervollständigen
| Anzahl Karies | fi | ni |
|---|---|---|
| 0 | 25 | 0,25 |
| 1 | 20 | 0,20 |
| 2 | 35 | 0,35 |
| 3 | 15 | 0,15 |
| 4 | 5 | 0,05 |
| 100 |
Vervollständige die statistische Tabelle mit den fehlenden Daten:
| xi | fi | Fi | ni |
|---|---|---|---|
| 1 | 4 | 0,08 | |
| 2 | 4 | ||
| 3 | 16 | 0,16 | |
| 4 | 7 | 0,14 | |
| 5 | 5 | 28 | |
| 6 | 38 | ||
| 7 | 7 | 45 | |
| 8 |
Wir lösen Schritt für Schritt und bestimmen zunächst den Wert für
. Im Anschluss können wir die restlichen fehlenden Werte ermitteln.
1 Als Erstes bestimmen wir den Wert für
.
Um den Wert für
zu bestimmen, nutzen wir die erste Zeile. Wir denken daran, dass die relative Häufigkeit die absolute Häufigkeit zwischen
ist. Da die absolute Häufigkeit
ist und die relative Häufigkeit
, nutzen wir diese Daten, um
zu bestimmen

2 Die erste Zeile ist einfach. Es fehlt nur die kumulierte Häufigkeit
. Da es sich aber um die erste Zeile (erste Klasse) handelt, entspricht diese deshalb der absoluten Häufigkeit

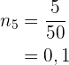
3 Zweite Zeile. Als Erstes bestimmen wir die kumulierte Häufigkeit und denken daran, dass für diese Folgendes gilt

Nun können wir die relative Häufigkeit bestimmen, da wir bereits die absolute Häufigkeit haben

4 Dritte Zeile. Es fehlt nur noch die absolute Häufigkeit. Diese können wir mittels der kumulierten oder der relativen Häufigkeit bestimmen. Wir nutzen die kumulierte Häufigkeit

5 Vierte Zeile. Nun benötigen wir noch die kumulierte Häufigkeit und diese berechnen wir direkt

6 Fünfte Zeile. Wir benötigen nur noch die relative Häufigkeit und diese berechnen wir direkt

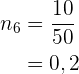
7 Sechste Zeile. Es fehlt noch die absolute und die relative Häufigkeit. Die absolute Häufigkeit berechnen wir mittels der absoluten Häufigkeit.

Nun berechnen wir die relative Häufigkeit direkt mittels der absoluten Häufigkeit

8 Siebte Zeile. Es fehlt noch die relative Häufigkeit. Wir berechnen direkt

9 Achte Zeile. Hier fehlen alle Daten. Als Erstes ermitteln wir die kumulierte Häufigkeit. Da es sich hierbei um die letzte Zeile handelt, ist die kumulierte Häufigkeit
. Deshalb gilt

Nun ermitteln wir die absolute Häufigkeit mittels der kumulierten Häufigkeit

Schließlich erhalten wir die relative Häufigkeit

Somit ist die Tabelle gegeben durch
| xi | fi | Fi | ni |
|---|---|---|---|
| 1 | 4 | 4 | 0,08 |
| 2 | 4 | 8 | 0,08 |
| 3 | 8 | 16 | 0,16 |
| 4 | 7 | 23 | 0,14 |
| 5 | 5 | 28 | 0,10 |
| 6 | 10 | 38 | 0,20 |
| 7 | 7 | 45 | 0,14 |
| 8 | 5 | 50 | 0,10 |
| 50 |
Mit KI zusammenfassen:
