Wähle die Option, die das arithmetische Mittel der einzelnen Datenreihen angibt:
Die Anzahl, wie oft eine Gruppe von drei Freunden in einer Woche Nudeln isst: 
Bitte wähle eine Antwort aus.
Es sei daran erinnert, dass das arithmetische Mittel als die Summe aller Werte geteilt durch die Anzahl der Werte definiert ist.
In unserem Fall essen die Freunde jeweils
,
und
Mal Nudeln pro Woche. Dies sind unsere Werte. Da wir drei Werte haben, ist der Wert des arithmetischen Mittels

Die von einer Gruppe von vier Freunden pro Tag getrunkenen Liter Wasser:
Bitte wähle eine Antwort aus.
Es sei daran erinnert, dass das arithmetische Mittel als die Summe aller Werte geteilt durch die Anzahl der Werte definiert ist. Da wir vier Freunde haben, geht dieser Wert in den Nenner unserer Division. Die Anzahl der getrunkenen Liter sind jeweils
,
,
und
. Dies sind unsere Werte und das arithmetische Mittel lautet somit

Die Anzahl der Stunden, die Carmen an jedem Tag der vergangenen Woche ferngesehen hat, beträgt:
Bitte wähle eine Antwort aus.
Es sei daran erinnert, dass das arithmetische Mittel als die Summe aller Werte geteilt durch die Anzahl der Werte definiert ist. In diesem Fall haben wir eine größere Anzahl von Werten, nämlich
, die Tage der Woche. Wir addieren nun alle Werte, d. h. die Anzahl der Stunden, die Carmen an jedem Tag fernsieht, und teilen sie durch
, um das arithmetische Mittel zu erhalten

Wie oft sich Maria eine Woche lang täglich die Zähne putzt:
Bitte wähle eine Antwort aus.
Es sei daran erinnert, dass das arithmetische Mittel als die Summe aller Werte geteilt durch die Anzahl der Werte definiert ist. Auch hier ist die Anzahl der Werte
, die Tage der Woche. Wir addieren nun alle Werte, d. h. die Anzahl des täglichen Zähneputzens von Maria, und teilen sie dann durch
, um das arithmetische Mittel zu erhalten

Die Punktzahlen der Mathematikprüfungen, die Pablos Schüler*innen während des Kurses erreicht haben, lauten wie folgt:
Bitte wähle eine Antwort aus.
Es sei daran erinnert, dass das arithmetische Mittel als die Summe aller Werte geteilt durch die Anzahl der Werte definiert ist. In diesem Fall sind
Schüler*innen in Pablos Kurs, die jeweils eine Punktzahl von
in der Matheprüfung erzielt haben. Das arithmetische Mittel dieses Datensatzes ist also

Die Anzahl der Stunden, die von den 24 Schüler*innen einer Klasse für eine Hausarbeit in Geometrie aufgewendet wurden:
Bitte wähle eine Antwort aus.
Es sei daran erinnert, dass das arithmetische Mittel als die Summe aller Werte geteilt durch die Anzahl der Werte definiert ist. Die Aussage besagt, dass die Anzahl der Schüler*innen
beträgt und diese Zahl geht in den Nenner des arithmetischen Mittels ein. Der Zähler ist die Summe der Stunden, die jede*r Schüler*in für die Hausarbeit aufwendet



Die Größe einer Gruppe von Freunden in Zentimetern ist:
Bitte wähle eine Antwort aus.
Es sei daran erinnert, dass das arithmetische Mittel als die Summe aller Werte geteilt durch die Anzahl der Werte definiert ist. Insgesamt befinden sich
Freunde in dieser Gruppe. Wir addieren alle Werte und erhalten

Diese
dividieren wir durch
, um das arithmetische Mittel zu erhalten
Die Anzahl der Kinobesuche, die jedes Mitglied einer Gruppe von 11 Freunden in einem Monat unternimmt, beträgt:
Bitte wähle eine Antwort aus.
Es sei daran erinnert, dass das arithmetische Mittel als die Summe aller Werte geteilt durch die Anzahl der Werte definiert ist. Die Anzahl der Werte, die wir haben, ist
Freunde, die eine bestimmte Anzahl von Kinobesuchen unternehmen. Um herauszufinden, wie oft jemand aus dieser Gruppe von Freunden im Durchschnitt pro Monat ins Kino geht, berechnen wir das arithmetische Mittel

Beantworte folgende Fragestellungen:
Die Punktzahlen in Mathe von
Schüler*innen einer Klasse sind:

Berechne das arithmetische Mittel der erzielten Noten und runde dabei gegebenenfalls auf zwei Dezimalstellen:
=
Dieses Feld ist erforderlich.
In der folgenden Tabelle beschreiben wir die Anzahl der Noten, die wir für jeden Typ haben, d. h. wie viele Schüler*innen
,
usw. erhielten.
![]() | ![]() | ![]() | |
|---|---|---|---|
| 2 | I | 1 | 2 |
| 3 | III | 3 | 9 |
| 4 | IIIII II | 7 | 28 |
| 5 | IIIII I | 6 | 30 |
| 6 | IIIII I | 6 | 36 |
| 7 | II | 2 | 14 |
| 8 | I | 1 | 8 |
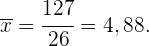
| 26 | 127 |
In der Spalte
haben wir jede der Noten, in der Spalte
die Menge der Noten von jedem Typ
und in der Spalte
die Summe der Noten von jedem Typ. In der Zeile am Ende der Tabelle steht die Summe aller Daten,
, sowie die Anzahl der Daten, nämlich
. Das arithmetische Mittel ist somit gegeben durch

Die Abwesenheiten von
Schüler*innen einer anderen Klasse sind:

Berechne das arithmetische Mittel:
=
Dieses Feld ist erforderlich.
Ähnlich wie bei der vorherigen Aufgabe enthält die folgende Tabelle die Informationen aller Daten, d. h. wie oft der Wert
,
usw. vorkommt.
![]() | ![]() | ![]() | |
|---|---|---|---|
| 0 | IIIII I | 6 | 0 |
| 1 | IIIII III | 8 | 8 |
| 2 | IIIII I | 6 | 12 |
| 3 | I | 1 | 3 |
| 4 | I | 1 | 4 |
| 6 | I | 1 | 6 |
| 7 | II | 2 | 14 |
| 25 | 47 |
In der Spalte la columna
haben wir die Anzahl der Abwesenheiten von jedem Schüler und jeder Schülerin, in der Spalte
die Menge der Abwesenheiten vom Typ
und in der Spalte
die Summe der Abwesenheiten von jedem Typ. In der Zeile am Ende der Tabelle steht die Summe aller Daten,
, sowie die Anzahl der Daten,
. Das arithmetische Mittel ist somit gegeben durch

Mit KI zusammenfassen:

