Was sind Quartile?
Quartile sind ein Werkzeug, das in der Statistik verwendet wird, um gruppierte Daten zu strukturieren.
Quartile sind die drei Werte der Variablen, anhand derer sich eine Datenmenge in vier gleiche Teile aufteilen lässt.

und
beschreiben die Werte, die
%,
% und
% der Datenmenge entsprechen.
stimmt mit dem Wert des Medians überein.
Berechnung von Quartilen
1. Man ordnet die Daten der größe nach begonnen beim kleinsten Wert aufsteigend.
2. Den Wert, den jedes Quartil einnimmt ermittelt man nach folgender Formel: 
Bei ungerader Anzahl an Daten


Bei gerader Anzahl an Daten


Berechnung von Quartilen für gruppierte Daten
Man ermittelt zuerst die Klasse, in der sich
in der Tabelle der kumulierten Häufigkeit befindet.

ist der untere Grenzwert der Klasse, an der sich das Quartil befindet.
ist die Summe der absoluten Häufigkeiten.
ist die der Klasse des Quartils vorangestellte kumulierte Häufigkeit.
ist die Klassenbreite.
Beispiele zur Berechnung von Quartilen
Berechne die Quartile der folgenden Verteilung:
![]() | |
|---|---|
![]() | ![]() |
![]() | ![]() |
![]() | ![]() |
![]() | ![]() |
![]() | ![]() |
![]() | ![]() |
![]() | ![]() |
Erstelle zuerst eine neue Spalte, in die du die Werte der kumulierten Häufigkeit einträgst:
Trage in die erste Zeile die erste absolute Häufigkeit ein.
In die zweite Zeile wird die Summe aus dem vorherigen Wert der kumulierten Häufigkeit und der entsprechenden absoluten Häufigkeit gebildet. So werden fortlaufend alle Zeilen bis zur letzten ausgefüllt, deren Wert
sein muss.
![]() | ![]() | |
|---|---|---|
![]() | ![]() | ![]() |
![]() | ![]() | ![]() |
![]() | ![]() | ![]() |
![]() | ![]() | ![]() |
![]() | ![]() | ![]() |
![]() | ![]() | ![]() |
![]() | ![]() | ![]() |
![]() |
Berechnung des ersten Quartils
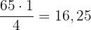
Suche das Intervall, in dem sich das erste Quartil befindet, indem du
mit
multiplizierst und durch
teilst.

Suche in der Spalte der kumulierten Häufigkeit
das Intervall, das
enthält.
Die Modalklasse von
ist: 
Wende die Formel zur Berechnung der Quartile für gruppierte Daten an, indem du folgende Daten extrahierst:





Berechnung des zweiten Quartils
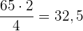
Suche das Intervall, in dem sich das zweite Quartil befindet, indem du
mit
multiplizierst und durch
teilst.

Suche in der Spalte der kumulierten Häufigkeit
das Intervall, das
enthält.
Die Modalklasse von
ist: 
Wende die Formel zur Berechnung der Quartile für gruppierte Daten an, indem du folgende Daten extrahierst:




Berechnung des dritten Quartils
Suche das Intervall, in dem sich das dritte Quartil befindet, indem du
mit
multiplizierst und durch
teilst.

Suche in der Spalte der kumulierten Häufigkeit
das Intervall, das
enthält
Die Modalklasse von
ist: 
Wende die Formel zur Berechnung der Quartile für gruppierte Daten an, indem du folgende Daten extrahierst:





Mit KI zusammenfassen:

























