In diesem Artikel sehen wir uns verschiedene Hyperbelgleichungen an und erfahren, wie man sie erhält.
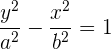
Gleichung der Hyperbel in 1. Hauptlage mit Nullpunkt als Mittelpunkt und horizontaler Hauptachse
Bei der Gleichung der Hyperbel in 1. Hauptlage stimmen die Achsen der Hyperbel mit den Achsen des Koordinatensystems überein. Somit stimmt der Mittelpunkt der Hyperbel mit dem Nullpunkt der Ebene überein. In diesem Fall betrachten wir die Hauptachse auf der x-Achse.

Wir sehen uns die Elemente der in der Abbildung dargestellten Hyperbel und einige Eigenschaften an:
1 Der Mittelpunkt ist der Nullpunkt
. Der Mittelpunkt liegt immer in der Mitte zwischen den Scheitelpunkten. Dieser wiederum liegt auf dem Mittelpunkt der Brennpunkte.
2 Scheitelpunkte: Die Scheitelpunkte sind gegeben durch die Punkte
und
. Jeder Scheitelpunkt befindet sich im selben Abstand
zum Mittelpunkt.
3 Brennpunkte: Die Brennpunkte sind gegeben durch die Punkte
und
. Jeder Brennpunkt hat denselben Abstand
zum Mittelpunkt.
4 Hauptachse: Die Verbindungsgerade zwischen den Scheitelpunkten, nämlich
. Ihr Wert (Länge) entspricht
. Diese Achse liegt auf der x-Achse.
5 Nebenachse: Die Verbindungsgerade zwischen den Punkten
und
, nämlich
. Ihr Wert (Länge) entspricht
. Diese Achse liegt auf der y-Achse.
6 Brennachse: Nebenachse: Die Verbindungsgerade zwischen den Brennpunkten, nämlich
. Ihr Wert (Länge) entspricht
.
7 Für die Konstanten
,
und
, die die Hyperbel definieren, gilt

8 Die Exzentrizität der Hyperbel ist gegeben durch

Für jeden Punkt
muss gelten:

Durch die Definition des euklidischen Abstands wissen wir, dass Folgendes gilt:

Indem wir bestimmte Rechenoperationen durchführen, können wir die vorhergehende Gleichheit wie folgt ausdrücken

Diese letzte Gleichung ist bekannt als die Gleichung der Hyperbel in 1. Hauptlage mit horizontaler Achse.
Übungsaufgaben
Im weiteren Verlauf sehen wir uns einige Aufgaben an, um unser Wissen praktisch anzuwenden.
Bestimme die Gleichung für eine Hyperbel mit dem Brennpunkt
, dem Scheitelpunkt
und dem Mittelpunkt
.
Da der Mittelpunkt der Nullpunkt
ist und der Brennpunkt
ist, wissen wir, dass
. Außerdem wissen wir, dass beide Brennpunkte
Einheiten vom Mittelpunkt entfernt liegen. Deshalb liegt der andere Brennpunkt bei
.
Analog zum Brennpunkt wissen wir, dass ein Brennpunkt
ist und deshalb
ist. Da beide Scheitelpunkte
Einheiten vom Mittelpunkt entfernt liegen, liegt der andere Scheitelpunkt bei
.
Nun erhalten wir den Wert für
. Es gilt Folgendes:

Das heißt:

Somit ist
. Wir haben bereits die Werte für
und
, die wir benötigen, um unsere Gleichung der Hyperbel in 1. Hauptlage zu erhalten. Diese ist:


Bestimme die Gleichung und Exzentrizität der Hyperbel, die die Brennpunkte
und
besitzt sowie eine Hauptachse vom Wert
.
Da wir bereits die Brennpunkte
und
haben, ergibt sich
. Außerdem sehen wir, dass der Mittelpunkt der Nullpunkt
ist.
Die Hauptachse entspricht
, wir können somit den Wert für
bestimmen

Wir sehen nun sofort, dass die Scheitelpunkte wie folgt gegeben sind

Nun wenden wir die Regel
an, um den Wert für
zu erhalten. Wir erhalten

Wir sehen sofort, dass
ist. Nun wissen wir alles, um die Gleichung der Hyperbel in 1. Hauptlage zu erhalten. Diese ist:

Die Exzentrizität ist


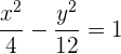
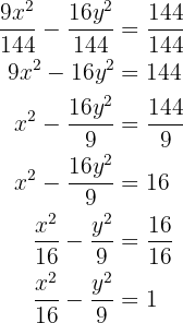
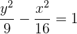
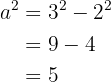
Bestimme die Scheitelpunkte, die Brennpunkte und die Exzentrizität der Hyperpel, die durch folgende Gleichung gegeben ist:

Zunächst müssen wir die Gleichung entsprechend umformen

Wir sehen sofort, dass
und somit
ist. Daraus können wir schließen, dass die Scheitelpunkte
und
sind.
Durch die Gleichung der Hyperbel wissen wir, dass
und somit
ist. Somit haben wir bereits
und
. Wir erhalten

Somit ergibt sich
. Die Brennpunkte sind
und
.
Schließlich ist die Exzentrizität gegeben durch


Gleichung der Hyperbel in 1. Hauptlage mit Nullpunkt als Mittelpunkt und vertikaler Hauptachse
In diesem Fall sehen wir uns die Hauptachse auf der y-Achse an.

Wir sehen uns die Elemente der in der Abbildung dargestellten Hyperbel und einige Eigenschaften an:
1 Der Mittelpunkt ist der Nullpunkt
. Der Mittelpunkt ist immer der Punkt in der Mitte der Scheitelpunkte, der wiederum mit dem Mittelpunkt der Brennpunkte übereinstimmt.
2 Scheitelpunkte: Die Scheitelpunkte sind gegeben durch die Punkte
und
. Jeder Scheitelpunkt hat denselben Abstand
zum Mittelpunkt.
3 Brennpunkte: Die Brennpunkte sind gegeben durch die Punkte
und
. Jeder Brennpunkt hat denselben Abstand
zum Mittelpunkt
4 Hauptachse: Die Verbindungsgerade zwischen den Scheitelpunkten, nämlich
. Ihr Wert (Länge) entspricht
. Diese Achse liegt auf der y-Achse.
5 Nebenachse: Die Verbindungsgerade zwischen den Punkten
und
, nämlich
. Ihr Wert (Länge) entspricht
. Diese Achse liegt auf der x-Achse.
6 Brennachse: Nebenachse: Die Verbindungsgerade zwischen den Brennpunkten, nämlich
. Ihr Wert (Länge) entspricht
.
7 Für die Konstanten
,
und
, die die Hyperbel vollständig definieren, gilt

8 Die Exzentrizität der Hyperbel ist gegeben durch

Jeder Punkt
auf der Hyperbel muss folgende Bedingungen erfüllen

Durch die Definition des euklidischen Abstands zwischen zwei Punkten wissen wir, dass Folgendes gilt:

Indem wir bestimmte Rechenoperationen durchführen, können wir die vorhergehende Gleichheit wie folgt darstellen

Diese letzte Gleichung ist als Gleichung der Hyperbel in 1. Hauptlage mit vertikaler Achse bekannt.
Übungsaufgaben
Nun sehen wir uns eine weitere Aufgaben an, um unser Wissen auf die Probe zu stellen.
Bestimme die Gleichung der Hyperbel mit dem Brennpunkt
, dem Scheitelpunkt
und dem Mittelpunkt
.
Da der Mittelpunkt der Nullpunkt
ist und
ein Brennpunkt ist, wissen wir, dass
ist. Außerdem wissen wir, dass beide Brennpunkte im Abstand
zum Mittelpunkt liegen. Deshalb ist der andere Brennpunkt
.
Analog zum Brennpunkt wissen wir, dass
ein Scheitelpunkt ist, weshalb
ist. Da beide Scheitelpunkte im Abstand
zum Mittelpunkt liegen, ist der andere Scheitelpunkt
.
Nun haben wir den Wert für
. Es gilt

Das heißt

und somit
. Wir haben bereits die Werte
und
, die wir für unsere Gleichung der Hyperbel in 1. Hauptlage haben. Diese ist


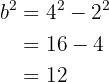
Bestimme die Gleichung der Hyperbel mit dem Mittelpunkt
, dem Brennpunkt
und der Nebenachse, die
entspricht.
Der Mittelpunkt ist der Nullpunkt
und ein Brennpunkt ist
. Es gilt daher
. Außerdem wissen wir, dass beide Brennpunkte im Abstand
zum Mittelpunkt liegen. Somit ist der andere Brennpunkt
.
Wir stellen nun fest, dass die Hauptachse auf der Verbindungsgeraden der Brennpunkte liegt. Dies bedeutet, dass die Hauptachse vertikal ist. Somit ist die Nebenachse vertikal. Außerdem wissen wir, dass die Nebenachse den Wert
hat. Es gilt

Nun bestimmen wir den Wert für
. Es gilt:

Das heißt

Somit ist
.
Nun wissen wir, dass die Scheitelpunkte sich im Abstand
zum Mittelpunkt befinden. Da die Hauptachse vertikal ist, wissen wir, dass die Scheitelpunkte durch
und
gegeben sind.
Wir haben bereits die Werte für
und
, die wir benötigen, um die Gleichung der Hyperbel in 1. Hauptlage zu erhalten. Diese ist

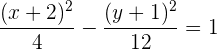
Gleichung der Hyperbel in 1. Hauptlage, deren Mittelpunkt nicht der Nullpunkt ist, mit horizontaler Hauptachse
In diesem Fall ist der Mittelpunkt der Hyperbel nicht der Nullpunkt. Ihre Hauptachse ist horizontal, parallel zur x-Achse.

Wir sehen uns die Elemente der in der Abbildung dargestellten Hyperbel und einige Eigenschaften an:
1 Der Mittelpunkt ist der Nullpunkt
. Der Mittelpunkt ist immer der Punkt in der Mitte der Scheitelpunkte, der wiederum mit dem Punkt in der Mitte der Brennpunkte übereinstimmt.
2 Scheitelpunkte: Die Scheitelpunkte sind durch die Punkte
und
gegeben. Jeder Scheitelpunkt hat denselben Abstand
zum Mittelpunkt.
3 Brennpunkte: Die Brennpunkte sind durch die Punkte
und
gegeben. Jeder Brennpunkt hat denselben Abstand
zum Mittelpunkt.
4 Hauptachse: Die Verbindungsgerade zwischen den Scheitelpunkten, nämlich
. Ihr Wert (Länge) entspricht
. Diese Achse ist parallel zur x-Achse.
5 Nebenachse: Die Verbindungsgerade zwischen den Punkten
und
, nämlich
. Ihr Wert (Länge) entspricht
. Diese Achse ist parallel zur y-Achse.
6 Brennachse: Nebenachse: Die Verbindungsgerade zwischen den Brennpunkten, nämlich
. Ihr Wert (Länge) entspricht
.
7 Für die Konstanten
,
und
, die die Hyperbel vollständig definieren, gilt

8 Die Exzentrizität der Hyperbel ist gegeben durch

Jeder Punkt
auf der Hyperbel muss Folgendes erfüllen

Durch die Definition des euklidischen Abstands zwischen zwei Punkten wissen wir, dass Folgendes gilt:

Indem wir bestimmte Rechenoperationen durchführen, können wir die vorhergehende Gleichheit wie folgt darstellen

Diese letzte Gleichung heißt Gleichung der Hyperbel in der 1. Hauptlage mit horizontaler Achse und mit einem anderen Mittelpunkt als dem Nullpunkt.
Übungsaufgaben
Wir sehen uns noch ein paar weitere Aufgaben an, um unser Wissen zu vertiefen
Bestimme die Gleichung der Hyperbel mit dem Brennpunkt
, dem Scheitelpunkt
und dem Mittelpunkt
.
Da der Mittelpunkt der Nullpunkt
ist und
ein Brennpunkt ist, wissen wir, dass

Außerdem wissen wir, dass beide Brennpunkte im Abstand
zum Mittelpunkt liegen. Deshalb ist der andere Brennpunkt
.
Analog zum Brennpunkt wissen wir, dass
ein Nullpunkt ist. Deshalb

Da beide Scheitelpunkte im Abstand
zum Mittelpunkt liegen, ist
der andere Scheitelpunkt.
Nun erhalten wir den Wert für
. Wir wissen, dass gilt

Das heißt

Somit ist
. Da wir bereits die Werte für
und
haben, die wir für unsere Gleichung der Hyperbel in 1. Hauptlage benötigen, lautet diese


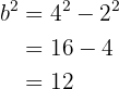
Bestimme die Gleichung der Hyperbel mit dem Mittelpunkt
, einem Abstand zum Brennpunkt von
und der horizontalen Hauptachse vom Wert
.
Da der Mittelpunkt der Nullpunkt
ist und die horizontale Hauptachse
entspricht, können wir somit unseren Wert für
bestimmen.

Unsere Scheitelpunkte sind also

und

Analog dazu wissen wir, dass die Brennachse ebenfalls horizontal ist (sie verläuft immer wie die Hauptachse, da die Hauptachse innerhalb der Brennachse liegt). Außerdem, da wir einen Wert von
haben, nutzen wir diesen, um
zu erhalten

Deshalb sind unsere Brennpunkte

und

Wir bestimmen nun den Wert für
. Wir wissen, dass Folgendes gilt.

Das heißt

Somit ist
. Da wir bereits die Werte für
und
haben, die wir für die Hyperbelgleichung benötigen, lautet diese

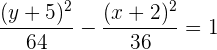
Gleichung der Hyperbel in 1. Hauptlage, deren Mittelpunkt nicht der Nullpunkt ist, mit vertikaler Hauptachse
In diesem Fall ist der Mittelpunkt der Hyperbel nicht der Nullpunkt und ihre Hauptachse ist vertikal, parallel zur y-Achse.

Wir sehen uns die Elemente der in der Abbildung dargestellten Hyperbel und einige Eigenschaften an:
1 Der Mittelpunkt ist der Nullpunkt
. Der Mittelpunkt ist immer der Punkt in der Mitte der Scheitelpunkte, der wiederum mit dem Mittelpunkt der Brennpunkte übereinstimmt.
2 Scheitelpunkte: Die Scheitelpunkte sind durch die Punkte
und
gegeben. Jeder Scheitelpunkt hat denselben Abstand
zum Mittelpunkt.
3 Brennpunkte: Die Brennpunkte sind durch die Punkte
und
gegeben. Jeder Brennpunkt hat denselben Abstand
zum Mittelpunkt.
4 Hauptachse: Die Verbindungsgerade zwischen den Scheitelpunkten, nämlich
. Ihr Wert (Länge) entspricht
. Diese Achse ist parallel zur y-Achse.
5 Nebenachse: Die Verbindungsgerade der Punkte
und
, nämlich
. Ihr Wert (Länge) entspricht
. Diese Achse ist parallel zur x-Achse.
6 Brennachse: Nebenachse: Die Verbindungsgerade zwischen den Brennpunkten, nämlich
. Ihr Wert (Länge) entspricht
.
7 Für die Konstanten
,
und
, die die Hyperbel vollständig definieren, gilt

8 Die Exzentrizität der Hyperbel ist gegeben durch

Für jeden Punkt
auf der Hyperbel muss gelten

Durch die Definition des euklidischen Abstands zwischen zwei Punkten wissen wir, dass

Indem wir bestimmte Rechenoperationen durchführen, können wir die vorhergehende Gleichheit wie folgt ausdrücken

Diese letzte Gleichung heißt Gleichung der Hyperbel in 1. Hauptlage mit vertikaler Achse und mit einem anderen Mittelpunkt als dem Nullpunkt.
Übungsaufgaben
Wir sehen uns noch ein paar weitere Aufgaben an, um unser Wissen praktisch anzuwenden
Bestimme die Gleichung der Hyperbel mit dem Brennpunkt
, dem Scheitelpunkt
und dem Mittelpunkt
.
Da der Mittelpunkt der Nullpunkt ist
ist und
ein Brennpunkt ist, wissen wir, dass

Außerdem wissen wir, dass beide Brennpunkte im Abstand
zum Mittelpunkt liegen. Somit ist der andere Brennpunkt
.
Analog zum Brennpunkt wissen wir, dass
ein Scheitelpunkt ist und deshalb

Da beide Scheitelpunkte im Abstand
zum Mittelpunkt liegen, ist der andere Scheitelpunkt
.
Wir erhalten nun den Wert für
. Es gilt:

Das heißt

Somit ist
. Da wir bereits die Werte für
und
haben, die wir benötigen, um unsere Gleichung der Hyperbel zu erhalten, lautet diese


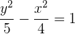
Bestimme die Gleichung der Hyperbel mit dem Mittelpunkt
, der Brennachse mit dem Wert
und der horizontalen Nebenachse mit dem Wert
.
Wir wissen, dass die Brennachse den Wert
hat. Somit erhalten wir den Wert für 

Deshalb sind die Brennpunkte
und
.
Nun wissen wir, dass die Nebenachse den Wert
hat, deshalb

Somit erhalten wir
, da

Das heißt

Somit ist
. Wir haben bereits die Werte für
und
, die wir benötigen, um unsere Gleichung der Hyperbel zu erhalten. Diese lautet

Mit KI zusammenfassen:








