Die Hyperbel und ihre Elemente
Zunächst sollten wir ein wenig über die Hyperbel sprechen. Die Hyperbel ist der geometrische Ort der Punkte der Ebene, deren Abstandsdifferenz zu den Fixpunkten, den sogenannten Brennpunkten, im Betrag konstant ist.

In der Abbildung sehen wir, dass
für einen beliebigen Punkt
der Hyperbel.
Elemente der Hyperbel
1 Brennpunkte: Die Fixpunkte
und
.
2 Brennachse: Gerade, die durch die Brennpunkte verläuft.
3 Nebenachse: Mittelsenkrechte des Segments
.
4 Mittelpunkt: Schnittpunkt der Achsen.
5 Scheitelpunkte: Die Punkte
und
sind die Schnittpunkte der Hyperbel mit der Brennachse.
6 Ortsvektoren: Die Abschnitte zwischen einem Punkt auf der Hyperbel und den Brennpunkten
und
.
7 Brennstrecke: Abschnitt
mit der Länge
.
8 Hauptachse: Abschnitt
mit der Länge
.
9 Nebenachse: Abschnitt
mit der Länge
. Die Punkte
und
ergeben sich aus dem Schnittpunkt der Nebenachse mit dem Kreis, dessen Mittelpunkt einer der Scheitelpunkte ist und der den Radius
hat.
10Symmetrieachsen: Die Geraden, die die Haupt- oder Nebenachse enthalten.
11Asymptoten: Geraden der Gleichungen 
12Verhältnis zwischen den Halbachsen: 
Exzentrizität der Hyperbel
Die Exzentrizität ist ein Parameter, der die Öffnung der Hyperbel anzeigt. Diese Zahl ist im Fall von Hyperbeln immer größer als
.

Weitere Informationen zur Exzentrizität der Hyperbel findest du hier hier.
Gleichseitige Hyperbel
Hyperbeln, bei denen die Halbachsen gleich sind, nennt man gleichseitige Hyperbeln. Somit
.

In diesem Fall hat die Hyperbel (im Ursprung zentriert) die folgenden Elemente:
- Ihre Gleichung lautet:

- Ihre Asymptoten sind:
,
weshalb die Asymptoten die Winkelhalbierenden der Quadranten sind. - Ihre Exzentrizität ist gegeben durch:

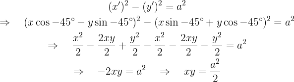
Gleichung der gleichseitigen Hyperbel mit Bezug auf ihre Asymptoten

Wenn wir nun von den Achsen
zu den Achsen übergehen wollen, die durch die Asymptoten der gleichseitigen Hyperbel bestimmt sind, dann genügt eine Drehung von
um den Koordinatenursprung.
Es sei daran erinnert, dass die Koordinaten eines Punktes
nach einer Drehung um einen Winkel
durch
gegeben sind, wobei
Die Gleichung der gleichseitigen Hyperbel nach einer Drehung um
lautet demnach
Das heißt
.

Wenn wir statt einer Drehung um
eine Drehung um
auf den Achsen vornehmen, liegt die Hyperbel im 2. und 4. Quadranten und ihre Gleichung lautet:

Übung zu einer gleichseitigen Hyperbel
Die Gleichung
stellt eine gleichseitige Hyperbel dar. Berechne ihre Scheitelpunkte und ihre Brennpunkte.
Da es sich um eine Hyperbel wie in
handelt, liegen die Koordinaten der Scheitelpunkte
auf der Winkelhalbierenden des 1. und 3. Quadranten, was bedeutet, dass die ersten und zweiten Koordinaten der Scheitelpunkte gleich sind. An den Scheitelpunkten gilt also
. Andererseits gilt aber auch, dass die Scheitelpunkte zum Graphen gehören, so dass
gelten muss. Nimmt man diese beiden letzten Bedingungen zusammen, so ergibt sich:
und daraus folgt
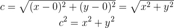
. Für die Brennpunkte beginnen wir mit der Berechnung von
und
. Da
der Abstand zwischen dem Ursprung und dem Scheitelpunkt ist, ergibt sich unter Verwendung der Formel für den Abstand zwischen zwei Punkten Folgendes:
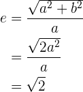
Es handelt sich um eine gleichseitige Hyperbel
und unter Verwendung der Beziehung zwischen den Halbachsen:
Nun befinden sich die Brennpunkte in einem Abstand
vom Ursprung. Deshalb: 

Außerdem liegen die Brennpunkte auch auf der Winkelhalbierenden des 1. und 3. Quadranten, so dass für
und
gilt, dass
. In Anbetracht des oben Gesagten:
daraus folgt

.
Mit KI zusammenfassen:








