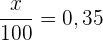
Ein Datensatz aus
Zahlen, dessen Mittelwert
ist, wird mit den Zahlen
und
addiert. Wie lautet der Mittelwert des neuen Datensatzes?
Der Mittelwert des Datensatzes aus
Zahlen ist

Somit

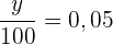
Der Mittelwert aus den
Zahlen ist

Das ist dasselbe wie

Ein Zahnarzt beobachtet, wie oft Karies bei jedem von
Kindern einer bestimmte Schule vorkommt. Die erhaltenen Informationen sind in der folgenden Tabelle dargestellt:
| Anzahl Karies | fi | ni |
|---|---|---|
| 0 | 25 | 0,25 |
| 1 | 20 | 0,20 |
| 2 | x | z |
| 3 | 15 | 0,15 |
| 4 | y | 0,05 |
- Vervollständige die Tabelle, indem du die Werte für
,
,
ermittelst. - Erstelle ein Kreisdiagramm.
- Berechne die durschnittliche Anzahl von Karies.
aTabelle
Die Summe der relativen Häufigkeiten muss
sein:



Die relative Häufigkeit eines Datenwerts ist gleich seiner absoluten Häufigkeit geteilt durch
. Dies ist die Summe der absoluten Häufigkeiten.




| Anzahl Karies (xi) | fi | ni | fi • ni |
|---|---|---|---|
| 0 | 25 | 0,25 | 0 |
| 1 | 20 | 0,20 | 20 |
| 2 | 35 | 0,35 | 70 |
| 3 | 15 | 0,15 | 45 |
| 4 | 5 | 0,05 | 20 |
| 100 | 155 |
bKreisdiagramm
Wir berechnen die Grade, die einer Einheit der absoluten Häufigkeit entsprechen

Wir berechnen die Grade, die jeder absoluten Häufigkeit entsprechen.






cArithmetisches Mittel

Wir haben einen Datensatz aus
Daten:

Ermittle den Median und die Quartile.
1 Wir ordnen die Daten
Als Erstes ordnen wir die Daten in aufsteigender Reihenfolge:

2 Median
Da wir eine gerade Anzahl von Daten haben, ist der Median der Mittelwert der zentralen Werte:

3 Quartile
Um das erste Quartil zu erhalten, dividieren wir die Anzahl der Daten durch 

Wir sehen uns an, wo die Werte
und
liegen und nehmen den Durchschnitt

Das zweite Quartil ist der Median

Um das dritte Quartil zu bestimmen, multiplizieren wir die Anzahl der Daten mit
und dividieren durch 

Wir sehen uns an, wo die Werte
und
liegen und nehmen den Durchschnitt

Ein Kinderarzt erstellt folgende Tabelle über das Alter von Kindern, in dem sie ihre ersten Schritte machen:
| Monate | Kinder |
|---|---|
| 9 | 1 |
| 10 | 4 |
| 11 | 9 |
| 12 | 16 |
| 13 | 11 |
| 14 | 8 |
| 15 | 1 |
- Zeichne die Normalverteilungskurve
- Berechne Modus, Median, Mittelwert und Varianz
1 Normalverteilungskurve

2 Tabelle vervollständigen
Wir vervollständigen die Tabelle mit folgenden Daten:
Kumulierte Häufigkeit
, um den Median zu berechnen.
Das Produkt aus der Variable und ihrer absoluten Häufigkeit
, um den Mittelwert zu berechnen.
Das Produkt aus der Variable zum Quadrat und ihrer absoluten Häufigkeit
, um die Varianz und die Standardabweichung zu berechnen.
| xi | fi | Fi | xi • fi | xi2 • fi |
|---|---|---|---|---|
| 9 | 1 | 1 | 9 | 81 |
| 10 | 4 | 5 | 40 | 400 |
| 11 | 9 | 14 | 99 | 1089 |
| 12 | 16 | 30 | 192 | 2304 |
| 13 | 11 | 41 | 143 | 1859 |
| 14 | 8 | 49 | 112 | 1568 |
| 15 | 1 | 50 | 15 | 225 |
| 50 | 610 | 7526 |
3
Der Modus ist der Wert mit der höchsten absoluten Häufigkeit
Betrachtet man die Spalte
, so entspricht die höchste absolute Häufigkeit
dem Wert 

4 Median
Um den Median zu berechnen, dividieren wir
durch
. Wir sehen, dass die Zelle
, in der sich
befindet,
entspricht


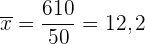
5 Arithmetisches Mittel
Wir berechnen das Ergebnis aus dem Produkt aus der Variablen und ihrer absoluten Häufigkeit
, die
ist, und dividieren sie durch 

6 Varianz
Wir berechnen das Ergebnis aus
, dividieren es durch
und subtrahieren vom Ergebnis das arithmetische Mittel zum Quadrat 

Vervollständige folgende statistische Tabelle mit den fehlenden Daten:
| xi | fi | Fi | ni |
|---|---|---|---|
| 1 | 4 | 0,08 | |
| 2 | 4 | ||
| 3 | 16 | 0,16 | |
| 4 | 7 | 0,14 | |
| 5 | 5 | 28 | |
| 6 | 38 | ||
| 7 | 7 | 45 | |
| 8 |
Berechne Mittelwert, Median und Modus dieser Verteilung.
1 Tabelle
-
-
Zeile 1
-
Die erste kumulierte Häufigkeit fällt mit der ersten absoluten Häufigkeit zusammen

Die erste kumulierte relative Häufigkeit
entspricht der ersten absoluten Häufigkeit
geteilt durch 


Somit ist
die Gesamtzahl der Daten
-
-
Zeile 2
-
Die zweite kumulierte Häufigkeit entspricht der vorhergehenden kumulierten Häufigkeit
plus die entsprechende absolute Häufigkeit

Die kumulierte relative Häufigkeit
entspricht der absoluten Häufigkeit
geteilt durch 

-
-
Zeile 3
-
Um die absolute Häufigkeit zu bestimmen, gibt es zwei Möglichkeiten
1. Mittels der kumulierten relativen Häufigkeit:


2. Die absolute Häufigkeit ist die Differenz aus
und 

-
-
Zeile 4
-
Die kumulierte Häufigkeit entspricht der vorhergehenden kumulierten Häufigkeit
plus die entsprechende absolute Häufigkeit 

-
-
Zeile 5
-
Die kumulierte relative Häufigkeit
entspricht der absoluten Häufigkeit
geteilt durch 

-
-
Zeile 6
-
Analog zu Zeile drei haben wir zwei Möglichkeiten
Die absolute Häufigkeit enspricht der kumulierten Häufigkeit
minus die vorhergehende kumulierte Häufigkeit
. Das heißt, der Differenz aus
und 

Die kumulierte relative Häufigkeit
entspricht der absoluten Häufigkeit
geteilt durch 

-
-
Zeile 7
-
Die kumulierte relative Häufigkeit
entspricht der absoluten Häufigkeit
geteilt durch 

-
-
Zeile 8
-
Die letzte kumulierte Häufigkeit entspricht 

Die absolute Häufigkeit entspricht der kumulierten Häufigkeit
minus die vorhergehende kumulierte Häufigkeit
. Das heißt, der Differenz aus
und 

Die kumulierte relative Häufigkeit
entspricht der absoluten Häufigkeit
geteilt durch 

2 Tabelle vervollständigen
Mit den erhaltenen Daten können wir die Tabelle vervollständigen. Außerdem ergänzen wir die Tabelle um die Spalte
des Produkts aus Variable und absoluter Häufigkeit, um den Mittelwert zu berechnen
| xi | fi | Fi | ni | xi • fi |
|---|---|---|---|---|
| 1 | 4 | 4 | 0,08 | 4 |
| 2 | 4 | 8 | 0,08 | 8 |
| 3 | 8 | 16 | 0,16 | 24 |
| 4 | 7 | 23 | 0,14 | 28 |
| 5 | 5 | 28 | 0,10 | 25 |
| 6 | 10 | 38 | 0,20 | 60 |
| 7 | 7 | 45 | 0,14 | 49 |
| 8 | 5 | 50 | 0,10 | 40 |
| 50 | 238 |
3 Arithmetisches Mittel
Wir berechnen die Summe aus Variable und absoluter Häufigkeit
, die
ist, und teilen sie durch 

4 Median
Um den Median zu berechnen, dividieren wir
durch
. Wir stellen fest, dass die Zelle
, in der sich
befindet,
entspricht


5 Modus
Der Modus ist der Wert mit der höchsten absoluten Häufigkeit
Die Spalte
zeigt, dass die höchste absolute Häufigkeit
der Zahl
entspricht

Sieh dir folgende Daten an:
. Aufgabe:
- Berechne Mittelwert und Varianz.
- Wenn wir alle oben genannten Daten mit 3 multiplizieren, wie lauten dann der neue Mittelwert und die neue Varianz?
a Mittelwert
Wir ordnen die Daten
.
Wir addieren die Werte und dividieren durch die Gesamtzahl der Daten.

2 Varianz
Wir nehmen den Durchschnitt der Zahlen zum Quadrat und subtrahieren den Mittelwert zum Quadrat.

Mit
multipliziert...
1 Mittelwert
Wenn wir alle Werte der Variablen mit
multiplizieren, wird das arithmetische Mittel mit
multipliziert

b Varianz
Wenn wir alle Werte der Variablen mit
multiplizieren, wird die Varianz mit
zum Quadrat multipliziert

Das Ergebnis, das man erhält, wenn zwei Würfel
Mal geworfen werden, ist in folgender Tabelle gegeben:
| Ergebnis | Male, die Würfel geworfen wurden |
|---|---|
| 2 | 3 |
| 3 | 8 |
| 4 | 9 |
| 5 | 11 |
| 6 | 20 |
| 7 | 19 |
| 8 | 16 |
| 9 | 13 |
| 10 | 11 |
| 11 | 6 |
| 12 | 4 |
- Berechne Mittelwert und Standardabweichung.
- Ermittle den Prozentsatz der Werte innerhalb des Intervalls
.
1 Tabelle vervollständigen
Wir vervollständigen die Tabelle mit:
Dem Produkt aus Variable und absoluter Häufigkeit
, um den Mittelwert zu berechnen.
Dem Produkt aus Variable zum Quadrat und absoluter Häufigkeit
, um die Standardabweichung zu berechnen.
| xi | fi | xi • fi | xi2 • fi |
|---|---|---|---|
| 2 | 3 | 6 | 12 |
| 3 | 8 | 24 | 72 |
| 4 | 9 | 36 | 144 |
| 5 | 11 | 55 | 275 |
| 6 | 20 | 120 | 720 |
| 7 | 19 | 133 | 931 |
| 8 | 16 | 128 | 1024 |
| 9 | 13 | 117 | 1053 |
| 10 | 11 | 110 | 1100 |
| 11 | 6 | 66 | 726 |
| 12 | 14 | 48 | 576 |
| 120 | 843 | 6633 |
2 Arithmetisches Mittel
Wir haben die Tabelle um die Spalte
erweitert, da wir die Summe
erhalten möchten. Diese dividieren wir dann durch
, um den Mittelwert zu erhalten

3 Standardabweichung
Wir haben die Tabelle um die Spalte
erweitert, da wir die Summe
erhalten möchten. Diese dividieren wir durch
und subtrahieren vom Ergebnis das arithmetische Mittel zum Quadrat
. Schließlich ziehen wir noch die Wurzel

4 Prozentsatz
Da wir die Standardabweichung kennen, können wir das genannte Intervall berechnen.


Die Werte innerhalb des Intervalls
sind diejenigen, die den Summen von
entsprechen. Wir addieren die absoluten Häufigkeiten.

Mittels der folgenden Verteilung bestimmen wir den Prozentsatz:

Die Körpergröße der Spieler einer Basketballmannschaft ist in der Tabelle angegeben:
| Größe | Anzahl der Spieler |
|---|---|
| [170, 175) | 1 |
| [175, 180) | 3 |
| [180, 185) | 4 |
| [185, 190) | 8 |
| [190, 195) | 5 |
| [195, 200) | 2 |
Berechne:
- Mittelwert.
- Median.
- Standardabweichung.
- Wie viele Spieler liegen über dem Mittelwert plus Standardabweichung?
1 Tabelle vervollständigen
Wir vervollständigen die Tabelle mit:
Der kumulierten Häufigkeit
, um den Median zu berechnen
Dem Produkt aus Variable und absoluter Häufigkeit
, um den Mittelwert zu berechnen
Dem Produkt aus Variable zum Quadrat und absoluter Häufigkeit
, um die Varianz und die Standardabweichung zu berechnen
| xi | fi | Fi | xi • fi | xi 2 • i | |
|---|---|---|---|---|---|
| [1.70, 1.75) | 1,725 | 1 | 1 | 1,725 | 2,976 |
| [1.75, 1.80) | 1,775 | 3 | 4 | 5,325 | 9,453 |
| [1.80, 1.85) | 1,825 | 4 | 8 | 7,300 | 13,324 |
| [1.85, 1.90) | 1,875 | 8 | 16 | 15 | 28,128 |
| [1.90, 1.95) | 1,925 | 5 | 21 | 9,625 | 8,53 |
| [1.95, 2.00) | 1,975 | 2 | 23 | 3,95 | 7,802 |
| 23 | 42,925 | 80,213 |
2 Mittelwert
Wir berechnen das Ergebnis aus Variable mal absolute Häufigkeit
, das
ist und teilen durch 

3 Median
Wir suchen das Intervall, in dem der Median liegt. Hierzu dividieren wir
durch
, da der Median der Zentralwert ist

Wir suchen in der Spalte der kumulierten Häufigkeiten
das Intervall, das
enthält

Wir wenden die Formel zur Berechnung des Medians für gruppierte Daten an und extrahieren folgende Daten:




Der Median ist

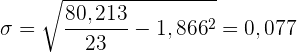
4 Standardabweichung
Wir berechnen das Ergebnis aus
, dividieren durch
und subtrahieren das arithmetische Mittel zum Quadrat
. Schließlich ziehen wir die Wurzel

Somit

Dieser Wert gehört zu einem Perzentil, das im vorletzten Intervall liegt.

Wir ermitteln folgendes Verhältnis:

Es gibt nur 3 Spieler, die über
liegen
Ein Würfel wird 200 Mal geworfen. Die Ergebnisse sind in der folgenden Tabelle dargestellt:
| 1 | 2 | 3 | 4 | 5 | 6 | |
|---|---|---|---|---|---|---|
| fi | a | 32 | 35 | 33 | b | 35 |
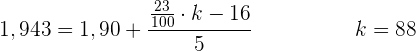
Bestimme
und
, wenn bekannt ist, dass der Durchschnittswert
ist.1 Vervollständige die Tabelle
Wir ermitteln das Ergebnis aus
und 
| xi | fi | xi • fi |
|---|---|---|
| 1 | a | a |
| 2 | 32 | 64 |
| 3 | 35 | 125 |
| 4 | 33 | 132 |
| 5 | b | 5b |
| 6 | 35 | 210 |
| 135+a+b | 511+a+5b |
2 Gleichungen aufstellen
Die Summe der absoluten Häufigkeiten enspricht 


Daraus können wir schließen, dass

Die Summe aus
geteilt durch
ist der Mittelwert


Daraus können wir schließen, dass

3 Wir lösen das Gleichungssystem
Schließlich


Wir sehen uns folgendes Histogramm an. Dieses stellt die Gewichtsverteilung unter
Gymnasiasten dar:

-
- Erstelle die Verteilungstabelle.
-
- Wenn Andreas
kg wiegt, wieviele Schüler wiegen weniger als er?
- Wenn Andreas
-
- Berechne den Modus.
-
- Bestimme den Median.
- Ab welchen Werten sind die
der schwersten Schüler einzuordnen?
1 Verteilungstabelle
| xi | fi | Fi | |
|---|---|---|---|
| [60,63) | 61,5 | 5 | 5 |
| [63, 66) | 64,5 | 18 | 23 |
| [66, 69) | 67,5 | 42 | 65 |
| [69, 72) | 70,5 | 27 | 92 |
| [72, 75) | 73,5 | 8 | 100 |
| 100 |
2 Schüler, die weniger als Andreas wiegen
Wir sehen, dass die ersten vier Intervalle die Schüler enthalten, die weniger wiegen als Andreas. Wir addieren die absoluten Häufigkeiten 

3 Modus
Als Erstes suchen wir das Intervall, in dem der Modus liegt. Also das Intervall mit der höchsten absoluten Häufigkeit 
Die Modalklasse ist: 
Wir wenden die Formel zur Berechnung des Modus für gruppierte Daten an und extrahieren folgende Daten:





Somit ist der Modus

4 Median
Wir suchen das Intervall, in dem der Median liegt. Dazu dividieren wir
durch
, da der Median der Zentralwert ist

Wir suchen in der Spalte der kumulierten Häufigkeiten
das Intervall, das
enthält

Wir wenden die Formel zur Berechnund des Medians für gruppierte Daten an und extrahieren folgende Daten:




Wir berechnen somit den Median

5 Drittes Quartil
Der Wert oberhalb dessen sich
der Schüler, die mehr wiegen, befinden, ist das dritte Quartil.
Wir suchen das Intervall, in dem sich das dritte Quartil befindet. Wir multiplizieren
mit
und dividieren durch 

Wir suchen in der Spalte der kumulierten Häufigkeiten
das Intervall, das
enthält
Die Klasse von
ist: 
Wir wenden die Formel zur Berechnung von Quartilen für gruppierte Daten an und extrahieren folgende Daten:




Somit ist das dritte Quartil

Berechne aus dieser Verteilung der kumulierten absoluten Häufigkeiten:
| Alter | Fi |
|---|---|
| [0,2) | 4 |
| [2,4) | 11 |
| [4,6) | 24 |
| [6,8) | 34 |
| [8,10) | 40 |
- Arithmetisches Mittel und Standardabweichung.
- Zwischen welchen Werten liegen die 10 mittleren Altersstufen?
- Stelle die Normalverteilungskurve von kumulierten absoluten Häufigkeiten dar.
1 Tabelle vervollständigen
Wir erweitern die Tabelle um eine Spalte mit den absoluten Häufigkeiten 
Die erste absolute Häufigkeit stimmt mit der ersten kumulierten Häufigkeit überein. Um die folgenden Häufigkeiten zu berechnen, müssen wir die vorherige absolute Häufigkeit von der folgenden absoluten Häufigkeit subtrahieren
| xi | fi | Fi | xi • fi | xi2 • fi | |
|---|---|---|---|---|---|
| [0,2) | 1 | 4 | 4 | 4 | 4 |
| [2,4) | 3 | 7 | 11 | 21 | 63 |
| [4,6) | 5 | 13 | 24 | 65 | 325 |
| [6,8) | 7 | 10 | 34 | 70 | 490 |
| [8,10) | 9 | 6 | 40 | 54 | 486 |
| 40 | 214 | 1368 |
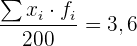
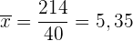
2 Mittelwert
Wir haben die Tabelle um die Spalte
erweitert, da wir das Ergebnis
ermitteln möchten. Dieses dividieren wir dann durch
, um den Mittelwert zu erhalten

3 Standardabweichung
Wir haben die Tabelle um die Spalte
erweitert, da wir das Ergebnis
ermitteln möchten. Dieses dividieren wir dann durch
und subtrahieren vom Ergebnis das arithmetische Mittel zum Quadrat
. Zum Schluss ziehen wir die Wurzel

4 Zentrales Alter
Sehen wir uns nun an, welchen Prozentsatz die
Altersstufen ausmachen

Die
Schüler repräsentieren die zentralen
der Verteilung.
Wir müssen
und
bestimmen.


Die
zentralen Altersstufen liegen im Intervall:
.
5 Normalverteilungskurve
Eine Person
ist
m groß und lebt in einer Stadt, in der die Durchschnittsgröße
m beträgt. Die Standardabweichung liegt bei
cm. Eine andere Person
ist
m groß und lebt in einer Stadt, in der die Durchschnittsgröße
m beträgt. Die Standardabweichung liegt bei
cm. Welche von den beiden Personen ist im Verhältnis größer als ihre Mitbürger*innen?
Wir ermitteln die Standardwerte dieser Personen in der entsprechenden Verteilung
Hierbei ist es wichtig, mit den gleichen Maßeinheiten zu arbeiten, da die Körpergröße hier in cm angegeben ist
Der Standardwert der ersten Person ist:

Der Standardwert der zweiten Person ist:

Wenn wir die Werte vergleichen, sehen wir, dass Person
größer im Vergleich zu ihren Mitbürger*innen ist, als Person
.
Ein Lehrer hat zwei Tests mit einer Gruppe von
Schülern durchgeführt und kam zu folgenden Ergebnissen: Für den ersten Test ist der Mittelwert
und die Standardabweichung
.
Für den zweiten Test ist der Mittelwert
und die Standardabweichung
.
Ein Schüler bekommt eine
im ersten Test und im zweiten eine
. In welchem der beiden Tests erhielt er in Bezug auf seine Gruppe eine bessere Punktzahl?
Wir ermitteln die Standardwerte des Schülers in den Verteilungen jedes Tests
Der Standardwert im ersten Test lautet:

Der Standardwert im zweiten Test lautet:

Wenn wir die Werte vergleichen, stellen wir fest, dass er im zweiten Test eine höhere Punktzahl erzielen konnte.
In
Sälen eines Kinos waren an einem bestimmten Tag
und
Personen anwesend.
-
- Berechne das Streuungsmaß der Anzahl der anwesenden Personen.
-
- Berechne den Variationskoeffizienten.
- Wenn am Tag der Vorstellung
Personen mehr in jedem Kinosaal anwesend wären, wie würde sich das auf das Streuungsmaß auswirken?
1 Standardabweichung
Wir bestimmen das arithmetische Mittel

Schließlich berechnen wir die Standardabweichung

2 Variationskoeffizient
Um den Variationskoeffizienten zu berechnen, müssen wir die Standardabweichung durch das arithmetische Mittel dividieren

3 Streuungsmaß mit 50 zusätzlichen Personen
Wenn in allen Kinosälen
Personen mehr anwesend sind, steigt das arithmetische Mittel auch um
Personen. Somit

Die Standardabweichung variiert nicht, da wir den Datensatz um die gleiche Menge erweitern.

Das relative Streuungsmaß ist geringer als im zweiten Fall.
Du bist auf der Suche nach Nachhilfe in Mathe? Setz dich mit uns Verbindung und wir helfen dir gerne weiter.
Mit KI zusammenfassen:
