Erinnern wir uns daran, dass die Arkustangensfunktion
nichts anderes als die Umkehrfunktion der Tangensfunktion ist. Mithilfe der folgenden Formeln können wir den Wert des Integrals verschiedener Funktionen berechnen
Wenn
eine ableitbare Funktion ist, dann gilt
Nachfolgend findest du eine Reihe von gelösten Aufgaben zu Integralen dieser Art.
Berechne den Wert des Integrals 
Um den Wert unseres Integrals zu finden, müssen wir nur
faktorisieren und die vorherigen Formeln verwenden,

Berechne den Wert des Integrals 
In diesem Fall beachten wir, dass, wenn
und wir außerdem mit
multiplizieren und dividieren, wir Folgendes erhalten:

Wir wenden unsere Formeln an und erhalten

Berechne den Wert des Integrals 
In diesem Fall stellen wir fest, dass, wenn
, gilt
und somit

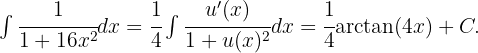
Berechne den Wert des Integrals 
In diesem Fall stellen wir fest, dass, wenn
, gilt
.
Wir müssen also mit/durch
multiplizieren und dividieren,

Wir wenden unsere Formeln an und erhalten

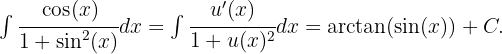
Berechne den Wert des Integrals 
In diesem Fall stellen wir fest, dass, wenn
, gilt
, und somit


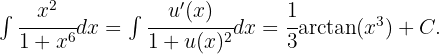
Berechne den Wert des Integrals 
In diesem Fall stellen wir fest, dass, wenn
, gilt 
und somit


Berechne den Wert des Integrals 
Wir wandeln den Nenner um, damit wir die Integralformel für den Arkustangens anwenden können. Wir wandeln den Nenner in ein quadratisches Binom um. 

Wir multiplizieren Zähler und Nenner mit
, um eine Eins im Nenner zu erhalten.
Innerhalb des Binoms zum Quadrat multiplizieren wir mit seiner Quadratwurzel aus
.


Wenn
, gilt
und somit

Mit KI zusammenfassen:
