Beantworte die folgenden Fragen und runde gegebenenfalls auf zwei Dezimalstellen:
1 Berechne die Wahrscheinlichkeit, dass beim Würfeln folgende Augenzahl fällt:
Eine ungerade Zahl
Dieses Feld ist erforderlich.

Ein Vielfaches von
Dieses Feld ist erforderlich.

Eine Zahl kleiner als
Dieses Feld ist erforderlich.
{P(<5)=\displaystyle\frac{4}{6}=0,67}[/latex]
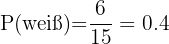
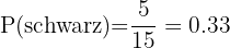
2 In einer Urne befinden sich
weiße Kugeln,
schwarze und
rote Kugeln. Wenn eine Kugel zufällig gezogen wird, berechne die Wahrscheinlichkeit, dass:
Die Kugel weiß ist.
Dieses Feld ist erforderlich.

Die Kugel schwarz ist
Dieses Feld ist erforderlich.

Die Kugel nicht rot ist.
Dieses Feld ist erforderlich.

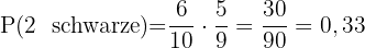
3 Aus einer Urne, die
weiße und
schwarze Kugeln enthält, werden
Kugeln nach dem Zufallsprinzip mit Zurücklegen entnommen. Berechne die Wahrscheinlichkeit, dass:
Beide Kugeln schwarz sind.
Dieses Feld ist erforderlich.

Eine Kugel ist weiß, die andere ist schwarz.
Dieses Feld ist erforderlich.

4 Aus einer Urne, die
weiße und
schwarze Kugeln enthält, werden zwei Kugeln nach dem Zufallsprinzip ohne Zurücklegen entnommen. Berechne die Wahrscheinlichkeit, dass:
Die beiden Kugeln sind schwarz
Dieses Feld ist erforderlich.

Eine Kugel ist weiß, die andere Kugel ist schwarz.
Dieses Feld ist erforderlich.

5 Zwei Würfel werden geworfen und die Summe der erzielten Punkte wird notiert. Berechne:
Die Wahrscheinlichkeit, dass die Summe
ist.
Dieses Feld ist erforderlich.

Die Wahrscheinlichkeit, dass die Summe
ist.
Dieses Feld ist erforderlich.

6Aus einem Kartenspiel mit
Karten werden gleichzeitig
Karten gezogen. Berechne die Wahrscheinlichkeit, dass:
Beide Karten zeigen Pik.
Dieses Feld ist erforderlich.

Mindestens einmal Pik.
Dieses Feld ist erforderlich.

Einmal Pik und einmal Herz.
Dieses Feld ist erforderlich.

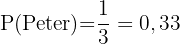
7Johannes und Peter gehen auf die Jagd, wobei wir wissen, dass Johannes
von
Schüssen trifft und Peter
von
Schüssen. Berechne die Wahrscheinlichkeit, dass:
Johannes trifft ein Tier.
Dieses Feld ist erforderlich.

Peter trifft ein Tier.
Dieses Feld ist erforderlich.

Beide treffen dasselbe Tier.
Dieses Feld ist erforderlich.

Mindestens einer von beiden trifft das Tier.
Dieses Feld ist erforderlich.
Die Wahrscheinlichkeit ist, dass entweder Johannes oder Peter trifft, abzüglich der Wahrscheinlichkeit, dass beide gleichzeitig treffen.

8 In einer Klasse gibt es
Schülerinnen mit Brille und
ohne Brille,
Schüler mit Brille und
Schüler ohne Brille. An einem Tag sind
Schüler*innen anwesend. Berechne die Wahrscheinlichkeit, dass der/die fehlende Schüler*in:
männlich
Dieses Feld ist erforderlich.

weiblich ohne Brille
Dieses Feld ist erforderlich.

männlich oder weiblich
Dieses Feld ist erforderlich.

Mit KI zusammenfassen:
