Um ein Baumdiagramm zu erstellen, zeichnet man einen Ast für jedes mögliche Ergebnis des Zufallsexperiments ein und versieht diese mit der zugehörigen Wahrscheinlichkeit
Am Ende jedes Astes entsteht ein Knoten , an dem neue Äste entstehen können, je nach den Wahrscheinlichkeiten des nächsten Schrittes des Experiments.
Die Summe der Wahrscheinlichkeiten der Zweige um jeden Knoten muss immer 1 sein.
Ein Komitee nach Zufallsprinzip auswählen
In einer Schulklasse sind 6 Mädchen und 10 Jungen. Ein Komitee aus drei SchülerInnen wird nach Zufallsprinzip ausgewählt. Wie hoch ist die Wahrscheinlichkeit, dass:
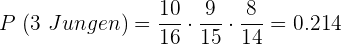
1 drei Jungen ausgewählt werden?
2genau zwei Jungen und ein Mädchen ausgewählt werden?
3genau zwei Mädchen und ein Junge ausgewählt werden?
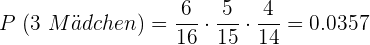
4Wie hoch ist die Wahrscheinlichkeit, dass drei Mädchen ausgewählt werden?
Lösung:
Erstelle das Diagramm und füge die möglichen Wahlergebnisse ein:
- Die Wahrscheinlichkeit, dass ein Junge gewählt wird beträgt
, dass ein Mädchen gewählt wird 
- Nach dem ersten Knoten sind im Bereich der Jungen die Wahrscheinlichkeit für Junge gleich
und für Mädchen gleich
. Im Bereich der Mädchen ist die Wahrscheinlichkeit für Junge gleich
und die für Mädchen gleich 
- Der dritte Pfad wird analog zum vorherigen erstellt

1 Wie hoch ist die Wahrscheinlichkeit, dass drei Jungen ausgewählt werden?
Die Ereignisse sind voneinander unabhängig.
2 Wie hoch ist die Wahrscheinlichkeit, dass genau zwei Mädchen und ein Junge ausgewählt werden?
Aus dem Baumdiagramm wird ersichtlich, dass 3 Äste nicht das Ergebnis liefern, das wir benötigen, sodass wir diese 3 Wahrscheinlichkeiten summieren müssen.
3Wie hoch ist die Wahrscheinlichkeit, dass genau zwei Mädchen und ein Junge ausgewählt werden?
4Wie hoch ist die Wahrscheinlichkeit, dass drei Mädchen ausgewählt werden?
Baumdiagramm zum Wurf von drei Münzen
Berechne die Wahrscheinlichkeit, beim dreimaligen Werfen einer Münze
mal Kopf zu erhalten:
Lösung:
Erstelle das Diagramm und füge die möglichen Ergebnisse ein:

Berechne die Wahrscheinlichkeit basierend auf dem Ergebnis für
mal Kopf:
Zusammengesetzte Experimente
Ein zusammengesetztes Experiment besteht aus zwei oder mehr einfachen Zufallsexperimenten.
Wenn wir zum Beispiel eine Münze oder einen Würfel werfen, sind das einfache Zufallsexperimente, aber wenn wir beim Experiment einen Würfel und danach eine Münze werfen, führen wir ein zusammengesetztes Zufallsexperiment durch.
Für zusammengesetzte Experimente bietet sich das Baumdiagramm besonders an, um sich eine Übersicht zu verschaffen.
Mit KI zusammenfassen:








