Was sind Variationen ohne Wiederholung
Bei einer Variation ohne Wiederholung werden
aus
Objekten unter Beachtung der Reihenfolge ausgewählt, wobei jedes Objekt nur einmal ausgewählt werden kann und:
- Die Reihenfolge eine Rolle spielt.
- Sich die Elemente nicht wiederholen.
Variationen werden wie folgt angegeben:

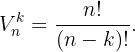
und die Formel zur Berechnung ist wie folgt gegeben

Wir können uns Variationen ohne Wiederholung so vorstellen, dass wir eine Menge mit
Objekten haben, daraus alle Teilmengen mit
Objekten bilden und diese Teilmengen dann auf alle möglichen Arten ordnen.
Beispiele:
- Berechne die durch
gegebenen Variationen.Für diesen Fall haben wir
,
und somit
.
Also
- Berechne die durch
gegebenen VariationenFür diesen Fall haben wir
,
und somit
.
Also
Außerdem können wir Variationen mithilfe von Fakultäten berechnen:
Wenn wir die vorherigen Beispiele mit Fakultäten lösen, erhalten wir für den ersten Fall
und für den zweiten Fall
Beobachtung: Wenn
, handelt es sich um Permutationen.
Beispiele für die Berechnung von Variationen
1 Berechne die Variationen von 6 Elementen, die jeweils zu dritt genommen werden.
Für diesen Fall haben wir
,
und
, deshalb
Nun berechnen wir mit den Fakultäten
2.Wie viele verschiedene dreistellige Zahlen lassen sich mit den folgenden Ziffern bilden?: 1, 2, 3, 4, 5?
Wir stellen fest, dass gemäß der Beschreibung des Beispiels die Merkmale von Variationen ohne Wiederholung erfüllt sind:
-
- Die Reihenfolge spielt eine Rolle. Die Zahlen sind
.
- Die Reihenfolge spielt eine Rolle. Die Zahlen sind
-
- Die Elemente wiederholen sich nicht. Die Angabe verlangt, dass die Zahlen unterschiedlich sind.
Für dieses Beispiel haben wir
,
und
, weshalb

Nun berechnen wir mithilfe von Fakultäten
3.Wie viele verschiedene dreistellige Zahlen lassen sich mit den folgenden Ziffern bilden?:
?
Wir müssen die Zahl in zwei Blöcke aufteilen:
Der erste Block einer Zahl kann nur aus einer 5-stelligen Zahl bestehen (
), da eine Zahl nicht mit 0 beginnt (außer bei Lotteriezahlen und anderen Sonderfällen, die wir hier nicht berücksichtigen). Also haben wir im ersten Block
und
. Wir berechnen also

Der zweite Block mit zwei Ziffern kann jede Ziffer von
bis
außer der ersten Ziffer (die wir im ersten Block verwendet haben) enthalten. Also haben wir für diesen Block
und
. Wir berechnen

Unser Endergebnis wäre also die Multiplikation unserer Blöcke:

4. An einem Literaturwettbewerb haben 10 Kandidat:innen mit ihren Romanen teilgenommen. Die Gewinnerliste besteht aus dem/der Gewinner:in, dem/der Zweitplatzierten und einem Trostpreis. Wie viele Gewinnerlisten können gebildet werden?
Wir stellen fest, dass gemäß der Beschreibung des Beispiels die Merkmale von Variationen ohne Wiederholung erfüllt sind. Además, para este ejemplo, tenemos que
,
und
, por lo tanto

Nun berechnen wir mit den Fakultäten
Mit KI zusammenfassen:








