Konzept der Kombinationen mit Wiederholung
Kombinationen mit Wiederholung von m Elementen aus
in
sind die verschiedenen Gruppen, die aus n Elementen gebildet werden, sodass:
Nicht alle Elemente sind enthalten.
Die Reihenfolge spielt keine Rolle.
Die Elemente wiederholen sich.
Die Anzahl der Kombinationen mit Wiederholung wird mit
angegeben. Das Problem besteht nun darin, den Wert von
zu bestimmen, den wir mit der folgenden Formel berechnen können:
Die Zahl
wird auch durch das Symbol
dargestellt. Bei Verwendung dieser Notation wird diese Zahl als Binomialkoeffizient bezeichnet.
Beispiel für Kombinationen mit Wiederholung
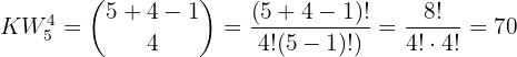
In einem Weinkeller gibt es fünf verschiedene Arten von Flaschen. Auf wie viele Arten kann man vier Flaschen auswählen?
Lösung:
Nicht alle Elemente sind enthalten. Es werden nur
gewählt.
Die Reihenfolge spielt keine Rolle. Es spielt keine Rolle, ob
Flaschen Rotwein und
Flaschen Weißwein oder
Flaschen Weißwein und
Flaschen Rotwein gewählt werde.
Die Elemente wiederholen sich. Es können mehrere Flaschen desselben Typs ausgewählt werden..
Mit KI zusammenfassen:








