Löse die folgenden Wahrscheinlichkeitsaufgaben:
Wie hoch ist die Wahrscheinlichkeit, dass beim werfen von zwei Münzen folgende Ergebnisse herauskommen:
A Zweimal Kopf
B Zweimal Zahl
C Einmal Kopf und einmal Zahl
Wie hoch ist die Wahrscheinlichkeit, dass beim Werfen von zwei Münzen folgende Ergebnisse herauskommen:
A Zweimal Kopf.

Da zwei Ereignisse auftreten können und diese unabhängig voneinander sind, multipliziert man die Wahrscheinlichkeit, dass die Münze "Kopf" anzeigt (1/2) mit der Wahrscheinlichkeit, dass die Münze "Zahl" anzeigt (ebenso 1/2).

B Zweimal Zahl.
Die Wahrscheinlichkeit, dass die Münze Zahl bzw. Kopf anzeigt liegt jeweils bei (1/2), wie auf dem Schema zu sehen ist. Beide Ereignisse sind voneinander unabhängig. Die Wahrscheinlichkeiten für beide Ereignisse werden daher miteinander multipliziert

C Einmal Kopf und einmal Zahl.
Die Wahrscheinlichkeit, einmal Kopf und einmal Zahl zu erhalten kann in zwei unterschiedlichen Szenarien passieren: 1. ein Wurf zeigt Kopf an und der zweite Wurf Zahl, 2. der erste Wurf zeigt Zahl an und der zweite Kopf. Man muss also zuerst die Wahrscheinlichkeit für diese beiden Szenarien ermitteln (1/2)(1/2) und diese anschließend miteinander summieren, um folgendes Ergebnis zu erhalten:

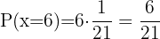
Wie hoch ist die Wahrscheinlichkeit, dass man beim klassischen Dominospiel beim Ziehen eines Dominosteins eine Punktzahl erhält, die größer als 9 oder ein Vielfaches von 4 ist?
Wie hoch ist die Wahrscheinlichkeit, dass man beim klassischen Dominospiel beim Ziehen eines Dominosteins eine Punktzahl erhält, die größer als 9 oder ein Vielfaches von 4 ist?
Fasse unter A alle Dominosteine zusammen, deren Gesamtpunktzahl höher als 9 ist. Unter B werden alle Dominosteine aufgelistet, deren Punktzahlen ein Vielfaches von 4 darstellen:


Man kann erkennen, dass der Dominostein (6,6) zu beiden Gruppen gehört, das heißt 
Daher müssen wir die Formel 
aufstellen, um die gesuchte Wahrscheinlichkeit zu erhalten.
Da es insgesamt 28 Dominosteine gibt, wir dieser Wert wie folgt eingesetzt:

Ein Würfel ist so gebaut, dass die Wahrscheinlichkeiten, die verschiedenen Würfelzahlen zu erhalten, so hoch ist wie die jeweilige Augenzahl. Wie wahrscheinlich ist es, beim ersten Wurf
A eine 6 zu würfeln
B eine ungerade Zahl zu würfeln
Ein Würfel ist so gebaut, dass die Wahrscheinlichkeiten, die verschiedenen Würfelzahlen zu erhalten, so hoch ist wie die jeweilige Augenzahl. Wie wahrscheinlich ist es, beim ersten Wurf
A eine 6 zu erhalten?
Da der Würfel gefälscht ist, entspricht die Wahrscheinlichkeit, eine bestimmte Augenzahl zu erhalten jeweils den Augen auf dem Würfel.
Zum Beispiel ist
proportional zu 6.
Wenn wir den Grad der Proportionalität mit p bezeichnen, ist
und so fortlaufend für alle Augenzahlen.
Wenn wir die Wahrscheinlichkeiten aller Augenzahlen miteinander multiplizieren, erhalten wir
P(x=1)+P(x=2)+P(x=3)+P(x=4)+P(x=5)+P(x=6)=1
Das heißt p+2p+3p+4p+5p+6p=1
Daraus folgt
, also ist die Wahrscheinlichkeit 
B Wie wahrscheinlich ist es, beim ersten Wurf eine ungerade Zahl zu erhalten?
In diesem Fall summiert man einfach die Wahrscheinlichkeiten der möglichen ungeraden Augenzahlen und teilt sie durch die Gesamtzahl aller Würfelaugen:

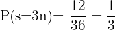
Beim Werfen von zwei Würfeln wird die Summe der erhaltenen Würfelaugen aufgeschrieben. Se pide:
A Wie hoch ist die Wahrscheinlichkeit, dass die Würfelsumme 7 ergibt?
B Wie hoch ist die Wahrscheinlichkeit, dass die Würfelsumme 7 ergibt?
C Wie hoch ist die Wahrscheinlichkeit, dass die Würfelsumme ein Vielfaches von 3 ist?
Beim Werfen von zwei Würfeln wird die Summe der erhaltenen Würfelaugen aufgeschrieben.
A Wie hoch ist die Wahrscheinlichkeit, dass die Würfelsumme 7 ergibt?
Liste alle Möglichen Würfelsummen auf, deren Summe 7 ist:

Man erhölt 6 mögliche Optionen. Da die Würfel insgesamt auf 36 verschiedene Arten fallen können, ist die gesuchte Wahtscheinlichkeit:

B Wie hoch ist die Wahrscheinlichkeit, dass die Würfelsumme gerade ist?
Die Augenpaare, deren Summe eine gerade Zahl bilden, sind:
(1,1)
(1,3), (2,2),(3,1)
(1,5),(2,4),(3,3),(4,2),(5,1)
(2,6),(3,5),(4,4),(5,3),(6,2)
(4,6),(5,5),(6,4)
(6,6)
Es gibt 18 Möglichkeiten, eine gerade Summe zu erhalten, daher ist die Wahrscheinlichkeit 
C Wie hoch ist die Wahrscheinlichkeit, dass die Würfelsumme ein Vielfaches von 3 ist?
Die folgenden Würfelsummen sind ein Vielfaches von 3:

Es gibt 12 Möglichkeiten, ein Vielfaches von 3 zu würfeln, das heißt, die gesuchte Wahrscheinlichkeit ist 
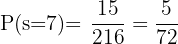
Es werden drei Würfel geworfen. Wir hoch ist die Wahrscheinlichkeit, dass
A alle Würfel 6 Augen anzeigen?
B die Würfelsumme 7 ergibt?
Es werden drei Würfel geworfen. Wie hoch ist die Wahrscheinlichkeit, dass
A alle Würfel 6 Augen anzeigen?
Es gibt nur eine Möglichkeit, drei 6en zu erhalten (6,6,6) und wenn man bedenkt, dass es
verschiedene mögliche Würfelergebnisse gibt, beträgt die gesuchte Wahrscheinlichkeit 
B Wie hoch ist die Wahrscheinlichkeit, dass die Würfelsumme 7 ergibt?
Die unterschiedlichen Würfelergebnisse, deren Augensumme 7 beträgt, sehen wie folgt aus:

Es gibt als 15 Möglichkeiten, die Augensumme von 7 zu erhalten, das heißt, die gesuchte Wahrscheinlichkeit beträgt:

Wie hoch ist die Wahrscheinlichkeit, dass man beim Werfen eines Würfels:
A eine gerade Zahl erhält?
B ein Vielfaches von drei erhält?
C eine Zahl, die größer als 4 ist, erhält?
Wie hoch ist die Wahrscheinlichkeit, dass man beim Werfen eines Würfels:
span class="sa">A eine gerade Zahl erhält?
Von den 6 möglichen Ergebnissen gibt es also 3 Möglichkeiten, eine gerade Zahl zu erhalten. Die Wahrscheinlichkeit beträgt also 
B ein Vielfaches von drei erhält?
Die Vielfachen von drei sind: 3 und 6. Es gibt also zwei Möglichkeiten, ein Vielfaches von 3 beim Würfeln zu erhalten. Die Wahrscheinlichkeit ist 
C eine Zahl, die größer als 4 ist, erhält?
Die Ergebnisse, die höher als 4 sind, sind 5 und 6. Daraus folgt die Wahrscheinlichkeit

Bei einem Gewinnspiel werden zwei Kugeln aus einer Trommel gezogen, die insgesamt vier Kugeln enthält: eine weiße, eine rote, eine grüne und eine schwarze Kugel. Beschreibe den Stichprobenraum für den Fall, dass:
A die erste Kugel wieder zurück in die Trommel geworfen wird, bevor die zweite gezogen wird.
B die erste Kugel nicht wieder zurück in die Trommel geworfen wird.
Bei einem Gewinnspiel werden zwei Kugeln aus einer Trommel gezogen, die insgesamt vier Kugeln enthält: eine weiße, eine rote, eine grüne und eine schwarze Kugel. Beschreibe den Stichprobenraum für den Fall, dass:
A die erste Kugel wieder zurück in die Trommel geworfen wird, bevor die zweite gezogen wird.
Die erste Kugel kann jede der vier Kugeln W, R, G, S sein. Sobald die erste Kugel gezogen und wieder in die Trommel zurückgeworfen wurde, kann wieder jede der vier Kugeln gezogen werden. D.h., wenn zum Beispiel beim ersten Mal die weiße Kugel (W) gezogen wurde, kann beim zweiten Ziehen als Ergebnis WW, WR, WG oder WS herauskommen. Und so entsprechend für alle Optionen. Unser Stichprobenraum sieht daher wie folgt aus:
E = {WW, WR, WG, WS, RW, RR, RG, RS, GW GR, GG, GS, SW, SR, SG, SS}
B die erste Kugel nicht wieder zurück in die Trommel geworfen wird.
Da die Kugel, die als erstes gezogen wurde, für den zweiten Zug nicht wieder in die Trommel zurückgeworfen wird, sieht der Stichprobenraum wie folgt aus: E = { WR, WG, WS, RW, RG, RS, GW, GR, GS, SW, SR, SG}
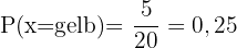
Eine Lostrommel enthält 8 rote, 5 gelbe und 7 grüne Kugeln. Wie hoch ist die Wahrscheinlichkeit, dass bei der ersten Auswahl die Kugel:
A rot ist
B grün ist
C gelb ist
D nicht rot ist
E nicht gelb ist
Eine Lostrommel enthält 8 rote, 5 gelbe und 7 grüne Kugeln. Wie hoch ist die Wahrscheinlichkeit, dass bei der ersten Auswahl die Kugel:
A rot ist:
Von 20 Kugeln insgesamt sind 8 rot. Die Wahrscheinlichkeit liegt also bei: 
B grün ist:
Da es 7 grüne Kugeln gibt, liegt die Wahrscheinlichkeit bei:
C gelb ist:
Da 5 der 20 Kugeln gelb sind, liegt die Wahrscheinlichkeit bei: 
D nicht rot ist:
Um die Wahrscheinlichkeit zu erhalten, dass die Kugel NICHT rot ist, können wir von der Gesamtzahl (1), die Wahrscheinlichkeit, dass man eine rote Kugel erhält, abziehen:

E nicht gelb ist:
Hier wird dieselbe Logik wie im vorherigen Beispiel angewandt:

Eine Lostrommel enthält drei rote und 7 weiße Kugeln. Es werden zwei beliebige Kugeln gezogen. Beschreibe den Stichprobenraum und die Wahrscheinlichkeit für den Fall, dass:
A zwei Kugeln gezogen werden, wobei sie entsprechend in der Lostrommel durch neue derselben Farbe ersetzt werden
B zwei Kugeln gezogen werden und nicht durch neue in der Lostrommel ersetzt werden.
Eine Lostrommel enthält drei rote und 7 weiße Kugeln. Es werden zwei beliebige Kugeln gezogen. Beschreibe den Stichprobenraum und die Wahrscheinlichkeit für den Fall, dass:
A zwei Kugeln gezogen werden, wobei sie entsprechend in der Lostrommel durch neue derselben Farbe ersetzt werden.
Zuerst wird der Stichprobenraum aufgestellt. Da es zwei Arten von Kugeln - Rote (R) und weiße (W) gibt, kann man beim ersten Ziehen eine von beiden erhalten. Da ihre Anzahl größer als 1 ist, hat man auch beim zweiten Ziehen die Möglichkeit, eine von beiden Farben zu ziehen (unabhängig davon, ob sie im Anschluss ersetzt werden oder nicht). Der Stichprobenraum ergibt sich daher wie folgt:

Beim Ziehen einer Kugel, die im Anschluss ersetzt wird, sind die Bedingungen genau dieselben, d.h. die Ereignisse sind voneinander unabhängig. Daher können wir folgende Formel für unabhängige Ereignisse anwenden:

Das Ergebnis vom ersten und zweiten Zug ist R.

Der erste Zug ergibt R, der zweite W

Der erste Zug ergibt W, der zweite R

Das Ergebnis vom ersten und zweiten Zug ist W.

B zwei Kugeln gezogen werden und nicht durch neue in der Lostrommel ersetzt werden.
Da es in diesem Fall keinen Ersatz gibt, wird das zweite Ergebnis durch das Ziehen der ersten Kugel verändert. Wenn man zum Beispiel beim ersten Ziehen eine rote Kugel erhalten hat, ist beim zweiten Ziehen eine rote Kugel weniger in der Lostrommel, d.h. nur noch 2 rote Kugeln und außerdem insgesamt eine Kugel weniger, daher sind die Ereignisse voneinander abhängig.
Sehen wir uns alle Optionen an:
Das Ergebnis vom ersten und zweiten Zug ist R.

Der erste Zug ergibt R, der zweite W

Der erste Zug ergibt W, der zweite R

Das Ergebnis vom ersten und zweiten Zug ist W.

Eine Kugel wird aus einer Lostrommel mit 4 roten, 5 weißen und 6 schwarzen Kugeln gezogen.
A Wie hoch ist die Wahrscheinlichkeit, dass die Kugel rot oder weiß ist?
B Wie hoch ist die Wahrscheinlichkeit, dass die Kugel nicht weiß ist?
Eine Kugel wird aus einer Lostrommel mit 4 roten, 5 weißen und 6 schwarzen Kugeln gezogen.
A Wie hoch ist die Wahrscheinlichkeit, dass die Kugel rot oder weiß ist?
B Wie hoch ist die Wahrscheinlichkeit, dass die Kugel nicht weiß ist?
Bei diesen Ereignissen gibt es keine voneinander abhängigen Elemente, d.h. von der Formel

bleiben nur noch

stehen. Daraus erfolgt die Wahrscheinlichkeit, dass die Kugel rot oder weiß ist:

Und die Wahrscheinlichkeit, dass die Kugel NICHT weiß ist:

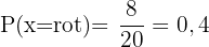
In einer Schulklasse sind 10 blonde und 20 brünette Schülerinnen, sowie fünf blonde und 10 brünette Schüler. An einem Schultag nehmen nur 44 SchülerInnen am Unterricht teil. Mit welcher Wahrscheinlichkeit ist der/die fehlende SchülerIn:
A männlich
B weiblich und brünett
C männlich oder weiblich
In einer Schulklasse sind 10 blonde und 20 brünette Schülerinnen, sowie fünf blonde und 10 brünette Schüler. An einem Schultag nehmen nur 44 SchülerInnen am Unterricht teil. Mit welcher Wahrscheinlichkeit ist der/die fehlende SchülerIn:
A männlich
In der folgenden Tabelle haben wir alle Informationen übersichtlich dargestellt:
| blond | brünett | ||
|---|---|---|---|
| männlich | 5 | 10 | 15 |
| weiblich | 10 | 20 | 30 |
| 15 | 30 | 45 |
Man kann daraus ablesen, dass es 15 Schüler und insgesamt 45 SchülerInnen gibt. Die Wahrscheinlichkeit, dass der fehlende Schüler männlich ist, liegt als bei 
B weiblich und brünett
Es gibt 20 brünette Schülerinnen, das heißt 
In diesem Fall ist die Wahrscheinlichkeit die Gesamtzahl, d.h.
Ein Briefumschlag enthält 20 Zettel. Auf acht von ihnen ist ein Auto abgebildet, die restlichen sind weiß. Wie hoch ist die Wahrscheinlichkeit, beim Ziehen eines Zettels zumindest einen zu erhalten, auf dem ein Auto abgebildet ist,
A wenn man einen Zettel zieht?
B wenn man zwei Zettel zieht?
C wenn man drei Zettel zieht?
Ein Briefumschlag enthält 20 Zettel. Auf acht von ihnen ist ein Auto (A) abgebildet, die restlichen sind weiß (W). Wie hoch ist die Wahrscheinlichkeit, beim Ziehen eines Zettels zumindest einen zu erhalten, auf dem ein Auto abgebildet ist,
A Wenn man einen Zettel zieht?
Da es 8 Zettel mit Auto gibt und insgesamt 20 Zettel, liegt die Wahrscheinlichkeit, einen Zettel mit Auto zu ziehen bei 
B Wenn man zwei Zettel zieht?
Beim Ziehen von zwei Zetteln kann man als Ergebnis WW, AW, WA oder AA erhalten. Man könnte die Wahrscheinlichkeit für AW, WA und AA errechnen und sie danach miteinander summieren, aber am praktischsten ist es, die Wahrscheinlichkeit für WW zu errechnen und das Ergebnis von 1 abzuziehen:

C Wenn man drei Zettel zieht?
Hier kann dieselbe Logik wie im vorherigen Beispiel angewandt werden: 
daher ist

Die SchülerInnen A und B besitzen eine Wahrscheinlichkeit von 1/2 und 1/5, eine Prüfung nicht zu bestehen. Die Wahrscheinlichkeit, dass sie beide die Prüfung nicht bestehen liegt bei 1/10. Ermittle, wie wahrscheinlich es ist, dass einer der beiden SchülerInnen die Prüfung nicht besteht.
Die SchülerInnen A und B besitzen eine Wahrscheinlichkeit von 1/2 und 1/5, eine Prüfung nicht zu bestehen. Die Wahrscheinlichkeit, dass sie beide die Prüfung nicht bestehen liegt bei 1/10. Ermittle, wie wahrscheinlich es ist, dass einer der beiden SchülerInnen die Prüfung nicht besteht.
Die beiden Ereignisse sind voneinander abhängig sind, ist die Wahrscheinlichkeit ungleich Null. Die Wahrscheinlichkeit wird auf folgende Art berechnet:

Zwei Brüder gehen zum Hobbyschießen. Der erste Trifft das Ziel im Durchschnitt bei zwei von fünf Schüssen, der zweite bei einem von 2 Schüssen. Wenn beide zum selben Zeitpunkt auf dasselbe Ziel schießen, mit welcher Wahrscheinlichkeit treffen sie es?
Zwei Brüder gehen zum Hobbyschießen. Der erste Trifft das Ziel im Durchschnitt bei zwei von fünf Schüssen, der zweite bei einem von 2 Schüssen. Wenn beide zum selben Zeitpunkt auf dasselbe Ziel schießen, mit welcher Wahrscheinlichkeit treffen sie es?
Die Wahrscheinlichkeit, dass der erste Bruder einen Treffer landet, liegt bei:

Die Wahrscheinlichkeit, dass der zweite Bruder einen Treffer landet, liegt bei:

Die Wahrscheinlichkeit, dass beide Brüder zum selben Zeitpunkt jeweils einen Treffer landen, liegt bei:

D.h. dass Bruder A oder Bruder B beim Schießen auf dasselbe Ziel zum selben Zeitpunkt das Ziel treffen, liegt bei:

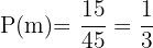
In einer Klasse sind 10 Männer und 20 Frauen. Die Hälfte der Männer und die Hälfte der Frauen haben braune Augen. Wie wahrscheinlich ist es, dass bei der Auswahl einer beliebigen Person nach Zufallsprinzip ein Mann mit braunen Augen ausgewählt wird?
In einer Klasse sind 10 Männer und 20 Frauen. Die Hälfte der Männer und die Hälfte der Frauen haben braune Augen. Wie wahrscheinlich ist es, dass bei der Auswahl einer beliebigen Person nach Zufallsprinzip ein Mann mit braunen Augen ausgewählt wird?
| Mann | Frau | Gesamt | |
|---|---|---|---|
| braune Augen | 5 | 10 | 15 |
| Personen/Geschlecht | 10 | 20 | 30 |
Hier muss man unterscheiden, dass es insgesamt 10 Männer gibt, insgesamt 15 Personen mit braunen Augen und insgesamt 5 Männer mit braunen Augen, um die Wahrscheinlichkeit zu berechnen:

wir berechnen

Die Wahrscheinlichkeit, dass ein Mann 20 Jahre alt wird, beträgt 1/4. Die Wahrscheinlichkeit, dass seine Frau 20 Jahre alt wird, beträgt 1/3. Wie hoch ist die Wahrscheinlichkeit, dass:
A beide Personen 20 Jahre alt werden?
B der Mann 20 Jahre alt wird, jedoch die Frau nicht.
C beide vor dem 21. Lebensjahr sterben?
Die Wahrscheinlichkeit, dass ein Mann 20 Jahre alt wird, beträgt 1/4. Die Wahrscheinlichkeit, dass seine Frau 20 Jahre alt wird, beträgt 1/3. Wie hoch ist die Wahrscheinlichkeit, dass:
A beide Personen 20 Jahre alt werden?
Die Ereignisse sind unabhängig voneinander zu betrachten, da die Lebenszeit des einen auf die des anderen keinen Einfluss hat. Man kann die Wahrscheinlichkeiten also auf folgende Art berechnen:

B der Mann 20 Jahre alt wird, jedoch die Frau nicht.
Hier handelt es sich wieder um unabhängige Ereignisse. Man kann also wieder gleich vorgehen und muss hierbei nur die Formel für ein NICHT eintretendes Ereignis anhängen:

es bleibt also:

C beide vor dem 21. Lebensjahr sterben?

Berechne, wie hoch die Wahrscheinlichkeit ist, genau zweimal Zahl zu erhalten, wenn man eine Münze viermal wirft.
Berechne, wie hoch die Wahrscheinlichkeit ist, genau zweimal Zahl zu erhalten, wenn man eine Münze viermal wirft.
Die möglichen Ergebnisse beim Werfen der Münze sind Kopf (K) oder Zahl (Z).
Ermitteln wir zuerst, auf welche Weise man zweimal Zahl (Z) erhalten kann, wenn man die Münze viermal wirft.
Bestimme, auf welche Art man von den vier möglichen Ergebnissen n=4 zwei gleiche (r=2) erhält. D.h. man berechnet die Gesamtzahl der Gruppen von vier möglichen Ergebnissen, die aus zwei gleichen Elementen bestehen.

wir erhalten 6 Ergebnisse. Veranschaulichend dargestellt sind das die 6 möglichen Ergebnisse:
ZZKK, ZKZK, ZKKZ, KZZK, KZKZ, KKZZ
die Gesamtzahl der Möglichkeiten, wie die Münzen fallen können, wenn man sie viermal wirft, um zweimal dieselbe Münze zu erhalten, berechnet sich wie folgt: 
Das heißt, die Wahrscheinlichkeit, zweimal Zahl beim viermaligen Werfen einer Münze zu erhalten ist

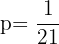
Eine Gruppe aus 10 Personen setzt sich auf eine Bank. Wie hoch ist die Wahrscheinlichkeit, dass sich zwei Personen nebeneinander setzen, die zuvor nach dem Zufallsprinzip ausgewählt wurden (ohne es selbst zu wissen)?
Eine Gruppe aus 10 Personen setzt sich auf eine Bank. Wie hoch ist die Wahrscheinlichkeit, dass sich zwei Personen nebeneinander setzen, die zuvor nach dem Zufallsprinzip ausgewählt wurden (ohne es selbst zu wissen)?
Um herauszufinden, wie viele verschiedene Möglichkeiten es gibt, dass sich 10 Personen auf 10 Plätze setzen, verwenden wir die Permutation

um jetzt zu ermitteln, auf wie viele Arten sich zwei vorab ausgewählte Personen nebeneinander setzen können, muss man bedenken, dass die beiden Personen einen von 9 möglichen Plätzen einnehmen, wenn sie nebeneinander sitzen: die Arten, wie sich 9 Personen auf 9 Plätze setzen können, sind:

da sich die beiden Personen auf zwei Arten nebeneinander setzen können (ab oder ba), ist die Gesamtzahl der möglichen Sitzarten für zwei vorab ausgewählte Personen auf 10 Plätzen gleich
was uns dazu führt, dass die Wahrscheinlichkeit, dass dies geschieht

ist.
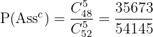
5 Karten werden aus einem Kartenspiel mit insgesamt 52 Karten gezogen. Wie hoch ist die Wahrscheinlichkeit,
A 4 Asse zu ziehen?
B 4 Asse und einen König zu ziehen?
C 3 5en und 2 Buben zu ziehen?
D 9, 10, Bube, Dame und König der Reihenfolge nach zu ziehen?
E 3 Karten einer Farbe und 2 einer anderen zu ziehen?
F mindestens 1 Ass zu ziehen?
5 Karten werden aus einem Kartenspiel mit insgesamt 52 Karten gezogen. Wie hoch ist die Wahrscheinlichkeit,
A 4 Asse zu ziehen?
Die Gesamtzahl der verschiedenen Arten, aus 52 möglichen Karten in 5er-Gruppen Karten zu ziehen, liegt bei

Nun bilden wir eine 4er-Gruppe für die vier Asse (die Reihenfolge ist dabei unwichtig). Wir erhalten die Formel
, um 4 von 5 Positionen zu besetzen. Auf der fünften Position kann jede beliebige der restlichen 48 Karten liegen 
D.h. die Arten, beim Ziehen von 5 Karten 4 Asse zu erhalten, sind
, daher ist die Wahrscheinlichkeit 
B 4 Asse und einen König zu ziehen?
Es gibt nur eine Möglichkeit, 4 Asse zu erhalten und vier, einen König zu erhalten. Man multipliziert die Möglichkeiten, vier Asse zu erhalten, mit der, einen König zu erhalten 

C 3 5en und 2 Buben zu ziehen?
Es gibt 4 5en und wir wollen 3 davon ziehen. Außerdem gibt es 4 Buben und wir wollen 2 davon ziehen, d.h.

D 9, 10, Bube, Dame und König der Reihenfolge nach zu ziehen?
Für jede Karte gibt es 4 Möglichkeiten, sie zu ziehen. Da wir insgesamt 5 ziehen, ergeben sich
Arten, die Straße der Reihenfolge nach zu ziehen:

E 3 Karten einer Farbe und 2 einer anderen zu ziehen?
Für die Möglichkeit, 3 der 13 Karten einer Farbe zu ziehen, rechnet man
und da es vier Farben gibt, steht
und da es 4 Farben gibt, steht für die Gesamtzahl der Möglichkeiten, drei Karten einer Farbe zu ziehen. Dieselbe Logik wenden wir für die beiden anderen Karten der zweiten Farbe an. Jetzt stehen uns jedoch nur noch 3 Farben zur Verfügung, das heißt

F mindestens 1 Ass zu ziehen?
Berechne zuerst die Wahrscheinlichkeit, KEIN Ass zu erhalten:

Die Wahrscheinlichkeit, dass man mindestens ein Ass zieht, ergibt sich aus der Subtraktion von 1:

Mit KI zusammenfassen:
