Unter- und überbestimmte lineare Gleichungssysteme
Entscheide, ob die folgende Aussage richtig oder falsch ist:
Wenn man eine Gleichung aus einem unterbestimmten LGS löscht, ist das neue LGS äquivalent zum ursprünglichen.
Richtig
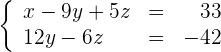
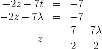
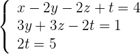
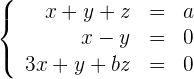
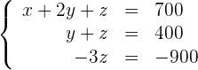
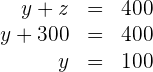
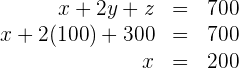
Gegeben sei das lineare Gleichungssystem

Schreibe das LGS in eine Matrix um. Ersetze die Zeilen
mit
und du erhältst

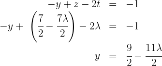
Ersetze die Zeile
mit
und du erhältst

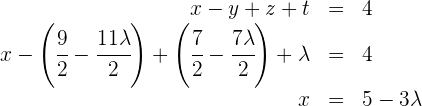
Das äquivalente LGS ist

Die Lösung des unterbestimmten LGS ist

Entscheide, ob die folgende Aussage richtig oder falsch ist:
Ein unterbestimmtes LGS wird auch homogenes LGS genannt.
Falsch
Ein homogenes LGS besitzt im Allgemeinen nur die triviale Lösung:
,
während ein unterbestimmtes LGS unendlich viele Lösungen besitzen kann.
Entscheide, ob die folgende Aussage richtig oder falsch ist:
Jedes unterbestimmte LGS mit widerspruchsfreien Lösungen enthält zwei gleiche Gleichungen.
Falsch
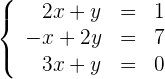
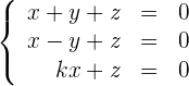
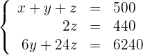
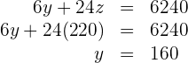
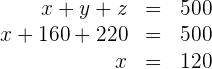
Das unterbestimmte LGS

ist widerspruchsfrei und enthält nur unterschiedliche Gleichungen. Die Lösung des unterbestimmten LGS ist

Entscheide, ob die folgende Aussage richtig oder falsch ist:
Aus einem überbestimmten LGS kann ein (nicht äquivalentes) unterbestimmtes LGS extrahiert werden, indem man Gleichungen entfernt.
Richtig
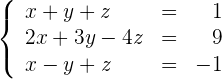
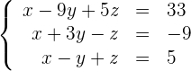
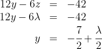
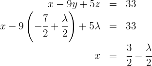
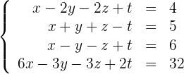
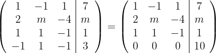
Gegeben sei das lineare Gleichungssystem

Schreibe das LGS in eine Matrix um. Ersetze die Zeilen
mit
und du erhältst

Die Lösung des überbestimmten LGS ist

Durch Eliminieren der zweiten Gleichung des ursprünglichen überbestimmten LGS erhält man das unterbestimmte LGS

mit der Lösung

Finde heraus, um was für eine Art von LGS es sich im Folgenden handelt und ermittle seine Lösung(en) (wenn vorhanden)

1
Schreibe das LGS in eine Matrix um. Ersetze die Zeilen
mit
und du erhältst

2
Ersetze die Zeile
mit
und du erhältst

Die Lösung des überbestimmten LGS ist

Finde heraus, um was für eine Art von LGS es sich im Folgenden handelt und ermittle seine Lösung(en) (wenn vorhanden)

1
Schreibe das LGS in eine Matrix um. Ersetze die Zeile
mit
und du erhältst

2
Definiere
und setze diesen Wert in die beiden Gleichungen ein

3
Die Lösung des unterbestimmten LGS ist

Löse das folgende Gleichungssystem:

1
Schreibe das LGS in eine Matrix um. Ersetze die Zeilen
mit
und du erhältst

2
Aus der vorhergehenden Matrix erhält man

3
Aus der dritten Gleichung ergibt sich

4
Setze den Wert von
in die zweite Gleichung ein und du erhältst

5
Setze die Werte von
in die erste Gleichung ein und du erhältst

6
Die Lösung des überbestimmten LGS ist

Löse das folgende Gleichungssystem:

1
Schreibe das LGS in eine Matrix um. Tausche die Zeilen
entsprechend mit
aus und du erhältst

Ersetze die Zeilen
mit
und du erhältst

Ersetze die Zeile
mit
und du erhältst

2
Aus der vorhergehenden Matrix erhält man

3
Setze den Wert von
in die zweite Gleichung ein und du erhältst

4
Setze die Werte von
in die erste Gleichung ein und du erhältst

5
Die Lösung des überbestimmten LGS ist

Löse das folgende Gleichungssystem:

1
Schreibe das LGS in eine Matrix um. Ersetze die Zeilen
mit
und du erhältst

Ersetze die Zeile
mit
und du erhältst

2
Aus der vorhergehenden Matrix erhält man

3
Definiere
und setze den Wert in die zweite Gleichung ein

4
Setze die Werte von
in die erste Gleichung ein und du erhältst

5
Die Lösung des unterbestimmten LGS ist

Löse das folgende Gleichungssystem

1
Schreibe das LGS in eine Matrix um. Ersetze die Zeilen
mit
und du erhältst

Ersetze die Zeilen
mit
und du erhältst

2
Aus der vorhergehenden Matrix erhält man

3
Definiere
und setze den Wert in die dritte Gleichung ein

4
Setze die Werte von
in die zweite Gleichung ein und du erhältst

5
Setze die Werte von
in die erste Gleichung ein und du erhältst

6
Die Lösung des unterbestimmten LGS ist

Löse das folgende Gleichungssystem

1
Schreibe das LGS in eine Matrix um. Ersetze die Zeilen
mit
und du erhältst

Ersetze die Zeilen
mit
und du erhältst

2
Die letzte Zeile der vorherigen Matrix ist ein Vielfaches der vorletzten, daher erhält man

3
Aus der dritten Gleichung ergibt sich
. Definiere
und setze den Wert in die zweite Gleichung ein

4
Setze die Werte von
in die erste Gleichung ein und du erhältst

5
Die Lösung des unterbestimmten LGS ist

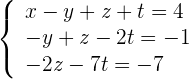
Löse das folgende Gleichungssystem:

1
Schreibe das LGS in eine Matrix um und tausche die Zeilen eins und zwei miteinander aus

Ersetze die Zeilen
mit
und du erhältst

Ersetze die Zeile
mit
und du erhältst

2
Man erhält ein äquivalentes Gleichungssystem

3
Definiere
und setze den Wert in die dritte Gleichung ein

4
Setze die Werte von
in die zweite Gleichung ein und du erhältst

5
Setze die Werte von
in die erste Gleichung ein und du erhältst

Löse das folgende Gleichungssystem:

1
Schreibe das LGS in eine Matrix um. Ersetze die Zeilen
mit
und du erhältst

Ersetze die Zeilen
mit
und du erhältst

Ersetze die Zeile
mit
und du erhältst

2
Aus der vorhergehenden Matrix lässt sich ablesen, dass das Gleichungssystem keine gültigen Lösungen besitzt.
Parameter bestimmen
Finde heraus, ob es einen Wert von
gibt, für den das Gleichungssystem Lösungen besitzt. Wenn es einen gibt, löse das Gleichungssystem für diesen Wert von
.

1
Schreibe das LGS in eine Matrix um. Ersetze die Zeilen
mit
und du erhältst

2
Die dritte Zeile zeigt, dass das LGS für
keine Lösungen vorliegen, da 
3
Für
ist das überbestimmte LGS gleichwertig mit

Die dritte Gleichung ergibt

Setze den Wert von
in die zweite Gleichung ein und du erhältst

Setze die Werte von
in die erste Gleichung ein und du erhältst

Parameter bestimmen
Finde heraus, ob es einen Wert von
gibt, für den das Gleichungssystem Lösungen besitzt. SWenn es einen gibt, löse das Gleichungssystem für diesen Wert von
.

1
Schreibe das LGS in eine Matrix um. Ersetze die Zeile
mit 

2
Die vierte Zeile zeigt, dass das LGS für keinen Wert von
Lösungen besitzt, da 
Parameter bestimmen
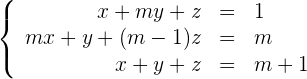
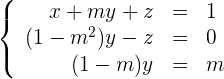
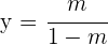
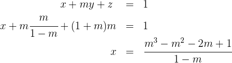
Bestimme die Lösung(en) des folgenden LGS für die Werte von 

1
Schreibe das LGS in eine Matrix um. Ersetze die Zeilen
mit
und du erhältst

2
Ersetze die Zeilen
mit
und du erhältst

3
Die dritte Zeile zeigt, dass das LGS für
unterbestimmt ist, da 
4
Für
besitzt das LGS keine Lösungen.
Parameter bestimmen
Bestimme die Lösung(en) des folgenden LGS für die Werte von
und 

1
Schreibe das LGS in eine Matrix um. Ersetze die Zeilen
mit
und du erhältst

2
Ersetze die Zeile
mit
und du erhältst

3
Die dritte Zeile zeigt:
für
und
, besitzt das LGS keine Lösungen
für
und
ist das LGS unterbestimmt;
für
ist das LGS für jeden Wert von
überbestimmt.
Parameter bestimmen
Bestimme, für welche Werte von
das folgende LGS unendlich viele Lösungen besitzt

1
Schreibe das LGS in eine Matrix um. Ersetze die Zeile
mit
und du erhältst

2
Ersetze die Zeile
mit
und du erhältst

3
Die dritte Zeile zeigt, dass das LGS für
unterbestimmt ist, d.h. unendlich viele Lösungen besitzt.
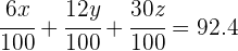
Der Besitzer eines Lokals hat Softdrinks, Bier und Wein im Wert von
€ (netto) eingekauft. Für den Wein hat er
€ weniger als für die Softdrinks und das Bier zusammen bezahlt. Berechne, wie viel er für jede Art von Getränk bezahlt hat und beachte dabei, dass die Mehrwertsteuer für die Softdrinks
, für das Bier
und für den Wein
beträgt, sodass sich eine Rechnung von insgesamt
€ inkl. Mehrwertsteuer ergibt.
1
Stelle anhand der Variablen
die Beträge für Softdrinks, Bier und Wein in € dar. Definiere die zugrundeliegenden Bedingungen anhand von Gleichungen
Der Besitzer eines Lokals hat Softdrinks, Bier und Wein im Wert von
€ (netto) eingekauft.

Für den Wein hat er
€ weniger als für die Softdrinks und das Bier zusammen bezahlt.

Beachte, dass die Mehrwertsteuer für die Softdrinks
, für das Bier
und für den Wein
beträgt, sodass sich eine Rechnung von insgesamt
€ inkl. Mehrwertsteuer ergibt. €

Multipliziere beide Seiten der Gleichung mit 

2
Man erhält das folgende Gleichungssystem

3
Schreibe die drei Gleichungen in eine Matrix um. Ersetze die Zeilen
mit
und du erhältst

4
Das überbestimmte LGS ist äquivalent zu

Die zweite Gleichung ergibt

Setze den Wert von
in die dritte Gleichung ein und du erhältst

Setze die Werte von
in die erste Gleichung ein und du erhältst

5
Die Lösungen sind
€,
€,
€.
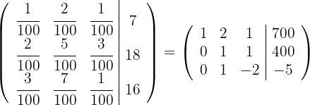
Ein Unternehmen besitzt drei Bergwerke mit Erzen unterschiedlicher Zusammensetzung:
| Nickel (%) | Kupfer (%) | Eisen (%) | |
|---|---|---|---|
| Bergwerk A | 1 | 2 | 3 |
| Bergwerk B | 2 | 5 | 7 |
| Bergwerk C | 1 | 3 | 1 |
Wei viele Tonnen werden aus jedem Bergwerk benötigt, um 7 Tonnen Nickel, 18 Tonnen Kupfer und 16 Tonnen Eisen zu erzeugen?
1
Stelle anhand der Variablen
die Anzahl der Tonnen der Minen A, B und C dar. Definiere die zugrundeliegenden Bedingungen anhand von Gleichungen:

2
Schreibe die drei Gleichungen in eine Matrix um. Ersetze die Zeilen
mit
und du erhältst

Ersetze die Zeile
mit
und du erhältst

3
Das überbestimmte LGS ist äquivalent zu

Die dritte Gleichung ergibt

Setze den Wert von
in die zweite Gleichung ein und du erhältst

Setze die Werte von
in die erste Gleichung ein und du erhältst

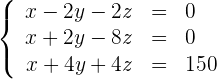
Ein Vater ist doppelt so alt wie das Alter seiner beiden Kinder zusammen. Vor wenigen Jahren (genauer gesagt vor so vielen Jahren, wie die Differenz des aktuellen Alters der beiden Kinder ergibt), war der Vater dreimal so alt wie seine beiden Kinder damals zum damaligen Zeitpunkt. Wenn so viele Jahre wie die Summe des aktuellen Alters der beiden Kinder vorbeigegangen sind, sind die drei Personen zusammen 150 Jahre alt. Wie alt war der Vater, als seine beiden Kinder geboren wurden?
1
Stelle anhand der Variablen
das aktuelle Alter des Vaters sowie des älteren und des jüngeren Kindes dar. Definiere die zugrundeliegenden Bedingungen anhand von Gleichungen
Ein Vater ist doppelt so alt wie das Alter seiner beiden Kinder zusammen.

Vor wenigen Jahren (genauer gesagt vor so vielen Jahren, wie die Differenz des aktuellen Alters der beiden Kinder ergibt), war der Vater dreimal so alt wie seine beiden Kinder damals zum damaligen Zeitpunkt.

Wenn so viele Jahre wie die Summe des aktuellen Alters der beiden Kinder vorbeigegangen sind, sind die drei Personen zusammen 150 Jahre alt.

2
Man erhält das folgende Gleichungssystem

3
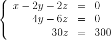
Schreibe die drei Gleichungen in eine Matrix um. Ersetze die Zeilen
mit
und du erhältst

Ersetze die Zeile
mit
und du erhältst

4
Das überbestimmte LGS ist äquivalent zu

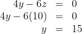
Die dritte Gleichung ergibt

Setze den Wert von
in die zweite Gleichung ein und du erhältst

Setze die Werte von
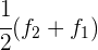
in die erste Gleichung ein und du erhältst

5
Der Vater war bei der Geburt seiner Kinder 35 und 40 Jahre alt.
Mit KI zusammenfassen:








